Sign in to use this feature.

Years

Between: -

Subjects

remove_circle_outline
remove_circle_outline
remove_circle_outline
remove_circle_outline
remove_circle_outline
remove_circle_outline
remove_circle_outline
remove_circle_outline
remove_circle_outline

Journals

remove_circle_outline
remove_circle_outline
remove_circle_outline
remove_circle_outline
remove_circle_outline
remove_circle_outline
remove_circle_outline
remove_circle_outline
remove_circle_outline
remove_circle_outline
remove_circle_outline
remove_circle_outline
remove_circle_outline

Article Types

Countries / Regions

remove_circle_outline
remove_circle_outline
remove_circle_outline
remove_circle_outline
remove_circle_outline

Search Results (862)

Search Parameters:
Keywords = digital image correlation analysis

Order results
Result details
Results per page
Select all
Export citation of selected articles as:
20 pages, 20579 KB  
Article
A Deep Learning Approach for High-Throughput Multi-Tissue Cell Segmentation and Phenotypic Analysis in Chinese Cabbage Leaf Cross-Sections
by Zhiming Zhang, Jun Zhang, Tianyi Ren, Minggeng Liu and Lei Sun
Agronomy 2026, 16(6), 612; https://doi.org/10.3390/agronomy16060612 - 13 Mar 2026
Abstract
Quantitative analysis of leaf cell microstructure is crucial for deciphering agronomic traits in Chinese cabbage, including photosynthetic efficiency, stress tolerance, and yield potential. Traditional manual observation methods are inefficient and highly subjective, failing to meet the demands of large-scale breeding for high-throughput, reproducible [...] Read more.
Quantitative analysis of leaf cell microstructure is crucial for deciphering agronomic traits in Chinese cabbage, including photosynthetic efficiency, stress tolerance, and yield potential. Traditional manual observation methods are inefficient and highly subjective, failing to meet the demands of large-scale breeding for high-throughput, reproducible microscopic phenotyping. To transition breeding practices from experience-driven to data-driven, there is an urgent need to establish automated, standardized systems for acquiring cell-scale phenotypes. Therefore, this study proposes an automated instance segmentation and phenotyping analysis framework for multi-tissue cells in Chinese cabbage leaf cross-sections. This framework systematically optimizes Mask R-CNN by introducing an attention mechanism to enhance cellular feature responses in complex backgrounds. It employs weighted multi-scale feature fusion to process densely distributed small-scale cells and integrates a refined boundary optimization module to improve recognition accuracy in adherent and blurred regions. On a microscopic image dataset spanning multiple varieties, this method achieves high-precision predictions in instance segmentation tasks. Based on the predicted cell masks, an interactive phenotyping analysis tool was further developed to automatically extract standardized single-cell morphological parameters, including area, perimeter, and Feret’s diameter. The measured parameters exhibit high consistency with manual annotations (correlation coefficients (r) all exceed 0.97). This framework enables high-throughput, standardized phenotypic analysis at the cellular level of leaf cross-sections, providing a reliable method for the digital and automated interpretation of crop microscopic traits. This technical solution not only supports the systematic integration of microscopic phenotypes in Chinese cabbage breeding but also offers a scalable solution for cellular-scale phenotypic research in other crops. Full article
(This article belongs to the Special Issue AI, Sensors and Robotics for Smart Agriculture)
Show Figures

Figure 1

13 pages, 1641 KB  
Article
Ki-67 Proliferation Index in Pulmonary Neuroendocrine Neoplasms: Interobserver Agreement Among Pathologists and Comparison of Two Artificial Intelligence-Based Image Analysis Systems
by Gizem Teoman, Zeynep Turkmen Usta, Zeynep Sagnak Yilmaz and Safak Ersoz
Biomedicines 2026, 14(3), 627; https://doi.org/10.3390/biomedicines14030627 - 11 Mar 2026
Viewed by 52
Abstract
Background/Objectives: Although Ki-67 is not formally incorporated into the grading system of pulmonary neuroendocrine neoplasms (PNENs), it is widely used as an adjunct marker to reflect proliferative activity and support diagnostic stratification. Manual Ki-67 assessment is subject to interobserver variability and methodological limitations. [...] Read more.
Background/Objectives: Although Ki-67 is not formally incorporated into the grading system of pulmonary neuroendocrine neoplasms (PNENs), it is widely used as an adjunct marker to reflect proliferative activity and support diagnostic stratification. Manual Ki-67 assessment is subject to interobserver variability and methodological limitations. This study aimed to evaluate the reliability and performance of two artificial intelligence (AI)-based image analysis systems in Ki-67 index assessment and to compare their results with expert pathologist evaluation in pulmonary neuroendocrine tumors. Methods: A total of 63 pulmonary neuroendocrine neoplasm cases, including typical carcinoid (n = 29), atypical carcinoid (n = 13), and large cell neuroendocrine carcinoma (n = 21), were retrospectively analyzed. Ki-67 proliferation indices were independently assessed by four pathologists within predefined hotspot regions, counting approximately 2000 tumor cells per case. The same regions were analyzed using two AI-based image analysis systems (Roche uPath Ki-67 and Virasoft Virasight Ki-67). Interobserver agreement among pathologists was evaluated using the intraclass correlation coefficient (ICC), and concordance between manual and AI-based assessments was assessed using Spearman’s correlation and linear regression analyses. To account for potential scanner/platform effects, slides were digitized using two different whole-slide scanners (VENTANA DP® 600 and Leica Aperio AT2), and color normalization and quality control procedures were applied prior to AI-based analysis. For clinical interpretability, Ki-67 indices were stratified into categorical groups based on tumor subtype-specific thresholds (0–<10%: low, 10–25%: intermediate, >25%: high), and agreement between manual and AI-based categorical scoring was evaluated using Cohen’s kappa coefficient. Results: Among the 63 pulmonary neuroendocrine neoplasm cases, Ki-67 proliferation indices varied across tumor subtypes, with typical carcinoids showing low, atypical carcinoids intermediate, and large cell neuroendocrine carcinomas high proliferative activity. Interobserver agreement among four pathologists was excellent (ICC = 0.998, 95% CI: 0.996–0.998). Strong correlations were observed between manual Ki-67 assessments and AI-derived indices, with Spearman correlation coefficients of 0.961 (95% CI: 0.918–0.982) for Roche AI and 0.904 (95% CI: 0.821–0.949) for Virasoft AI, and 0.926 (95% CI: 0.842–0.968) between the two AI systems. Bland–Altman analyses demonstrated minimal mean differences and most cases within the 95% limits of agreement, indicating high concordance without systematic bias. Categorical agreement analysis, using subtype-specific Ki-67 thresholds (0–<10%: low; 10–25%: intermediate; >25%: high), showed excellent concordance between manual and AI-based scoring (Cohen’s kappa 0.877 for Roche AI and 0.827 for Virasoft AI; p < 0.001), confirming the clinical interpretability and reproducibility of AI-based Ki-67 assessment. Conclusions: AI-based Ki-67 index assessment shows strong concordance with expert pathologist evaluation and reflects biologically relevant differences among pulmonary neuroendocrine neoplasm subtypes. These results suggest that AI-assisted Ki-67 analysis may serve as a reproducible and objective adjunct to routine diagnostic practice in pulmonary neuroendocrine tumors. Full article
Show Figures

Figure 1

25 pages, 9221 KB  
Article
Research on Building Recognition in Ethnic Minority Villages Based on Multi-Feature Fusion
by Xiaoqiong Sun, Jiafang Yang, Wei Li, Ting Luo and Dongdong Xie
Buildings 2026, 16(6), 1099; https://doi.org/10.3390/buildings16061099 - 10 Mar 2026
Viewed by 66
Abstract
As a unique cultural heritage of Chinese ethnic minorities, Dong architecture provides rich historical and cultural information. Rapid and accurate extraction of ethnic building information from remote sensing images in complex terrain and high-density settlement environments is highly important for the protection of [...] Read more.
As a unique cultural heritage of Chinese ethnic minorities, Dong architecture provides rich historical and cultural information. Rapid and accurate extraction of ethnic building information from remote sensing images in complex terrain and high-density settlement environments is highly important for the protection of architectural heritage and the management of rural space. Huanggang Dong Village in Liping County, Guizhou Province, China, is taken as a case study. This paper develops a multifeature fusion machine learning framework for the automatic recognition of Dong ethnic architecture based on centimeter-level visible images captured by UAV. First, the vegetation index, HSI color features and texture features based on the gray level co-occurrence matrix are extracted from the UAV visible light orthophoto image. Through the random forest feature importance ranking and correlation test, six key features, namely, the VDVI, HSI-S, HSI-I, mean, variance and contrast, are selected to construct a multifeature space. This step constitutes the feature construction stage of the proposed methodology and provides the basis for subsequent classification. Second, on the basis of a support vector machine (SVM) and random forest (RF), classification models are constructed. The effects of different feature combinations and different algorithms on classification accuracy are systematically compared, and the results are evaluated in terms of overall accuracy (OA), the kappa coefficient, user accuracy (UA) and producer accuracy (PA). This second part highlights the classification phase of the methodology, which tests the feature space using different algorithms and evaluates the performance of the models. The experimental data fully show that under the condition of a single feature, the SVM model dominated by texture features performs best, with an OA of 85.33% and a kappa of 0.799; under the condition of multifeature fusion, the RF algorithm has a stronger ability to integrate multisource features. The accuracy of building category recognition based on the total feature and dimensionality reduction feature space is particularly prominent. The total feature and overall accuracy reach 89.00%, and the kappa coefficient is 0.850. The UA and PA reached 89.66% and 94.55%, respectively. Through in-depth comparative analysis, the vegetation index–color–texture multifeature fusion and machine learning classification framework based on UAV visible light images can achieve high-precision extraction of Dong architecture without relying on high-cost sensors. It can effectively alleviate the confusion between water bodies and shadows and between dark roofs and vegetation and effectively separate traditional Dong architecture from roads, vegetation and other elements. It provides a low-cost and feasible way for digital archiving, dynamic monitoring and protection management of the traditional village architectural heritage of ethnic minorities. Full article
(This article belongs to the Section Architectural Design, Urban Science, and Real Estate)
Show Figures

Figure 1

18 pages, 2888 KB  
Article
Assessing RGB Color Reliability via Simultaneous Comparison with Hyperspectral Data on Pantone® Fabrics
by Cindy Lorena Gómez-Heredia, Jose David Ardila-Useda, Andrés Felipe Cerón-Molina, Jhonny Osorio-Gallego and Jorge Andrés Ramírez-Rincón
J. Imaging 2026, 12(3), 116; https://doi.org/10.3390/jimaging12030116 - 10 Mar 2026
Viewed by 188
Abstract
Accurate color property measurements are critical for advancing artificial vision in real-time industrial applications. RGB imaging remains highly applicable and widely used due to its practicality, accessibility, and high spatial resolution. However, significant uncertainties in extracting chromatic information highlight the need to define [...] Read more.
Accurate color property measurements are critical for advancing artificial vision in real-time industrial applications. RGB imaging remains highly applicable and widely used due to its practicality, accessibility, and high spatial resolution. However, significant uncertainties in extracting chromatic information highlight the need to define when conventional digital images can reliably provide accurate color data. This work simultaneously compares six chromatic properties across 700 Pantone® TCX fabric samples, using optical data acquired simultaneously from both hyperspectral (HSI) and digital (RGB) cameras. The results indicate that the accurate interpretation of optical information from RGB (sRGB and REC2020) images is significantly influenced by lightness (L*) values. Samples with bright and unsaturated colors (L*> 50) reach ratio-to-performance-deviation (RPD) values above 2.5 for four properties (L*, a*, b* hab), indicating a good correlation between HSI and RGB information. Absolute color difference comparisons (Ea) between HSI and RGB images yield values exceeding 5.5 units for red-yellow-green samples and up to 9.0 units for blue and purple tones. In contrast, relative color differences (Er) comparisons show a significant decrease, with values falling below 3.0 for all lightness values, indicating the practical equivalence of both methodologies according to the Two One-Sided Test (TOST) statistical analysis. These results confirm that RGB imagery achieves reliable color consistency when evaluated against a practical reference. Full article
Show Figures

Graphical abstract

18 pages, 4935 KB  
Article
Forensic Analysis for Source Camera Identification from EXIF Metadata
by Pengpeng Yang, Chen Zhou, Daniele Baracchi, Dasara Shullani, Yaobin Zou and Alessandro Piva
J. Imaging 2026, 12(3), 110; https://doi.org/10.3390/jimaging12030110 - 4 Mar 2026
Viewed by 218
Abstract
Source camera identification on smartphones constitutes a fundamental task in multimedia forensics, providing essential support for applications such as image copyright protection, illegal content tracking, and digital evidence verification. Numerous techniques have been developed for this task over the past decades. Among existing [...] Read more.
Source camera identification on smartphones constitutes a fundamental task in multimedia forensics, providing essential support for applications such as image copyright protection, illegal content tracking, and digital evidence verification. Numerous techniques have been developed for this task over the past decades. Among existing approaches, Photo-Response Non-Uniformity (PRNU) has been widely recognized as a reliable device-specific fingerprint and has demonstrated remarkable performance in real-world applications. Nevertheless, the rapid advancement of computational photography technologies has introduced significant challenges: modern devices often exhibit anomalous behaviors under PRNU-based analysis. For instance, images captured by different devices may exhibit unexpected correlations, while images captured by the same device can vary substantially in their PRNU patterns. Current approaches are incapable of automatically exploring the underlying causes of these anomalous behaviors. To address this limitation, we propose a simple yet effective forensic analysis framework leveraging Exchangeable Image File Format (EXIF) metadata. Specifically, we represent EXIF metadata as type-aware word embeddings to preserve contextual information across tags. This design enables visual interpretation of the model’s decision-making process and provides complementary insights for identifying the anomalous behaviors observed in modern devices. Extensive experiments conducted on three public benchmark datasets demonstrate that the proposed method not only achieves state-of-the-art performance for source camera identification but also provides valuable insights into anomalous device behaviors. Full article
(This article belongs to the Section Biometrics, Forensics, and Security)
Show Figures

Figure 1

17 pages, 26160 KB  
Article
New Insight into Mechanical, Microstructural and Failure Features of Lap-Fillet Autogenous Laser-Welded Similar and Dissimilar Joints of Ultra-Thin Steel Sheets
by Mihaela Iordachescu, Patricia Santos, Andrés Valiente, Maricely de Abreu and Elena Scutelnicu
J. Manuf. Mater. Process. 2026, 10(3), 89; https://doi.org/10.3390/jmmp10030089 - 2 Mar 2026
Viewed by 265
Abstract
This research work addresses the mechanical and metallurgical characterisation, as well as the failure features, of two types of lap-fillet autogenous laser-welded joints made of ultra-thin sheets by applying an appropriate welding technology for producing sound welds and flawless joints. Both welded samples, [...] Read more.
This research work addresses the mechanical and metallurgical characterisation, as well as the failure features, of two types of lap-fillet autogenous laser-welded joints made of ultra-thin sheets by applying an appropriate welding technology for producing sound welds and flawless joints. Both welded samples, one made only of stainless steel (SS-SS) sheets, and the other made of stainless steel and carbon steel (SS-CS) plates, were subjected to tensile–shear loads that are representative of the in-service conditions. The experimental research was focused on determining, by the digital image correlation (VIC-2D) method, the strain field and the rotation angle of the welded joints that were developed during loading tests of the welded specimens. Comparing to the classical testing method applied to study the joint overall mechanical properties, the novelty of this research consists of local mechanical behaviour assessment of relevant zones from similar and dissimilar welded joints, by using the innovative technique VIC-2D. Based on the analysis of the experimental results, it was found that the maximum rotation angle is 2.5 times higher in the SS-SS similar welded joint, in comparison with the SS-CS dissimilar welded joint. Despite this finding, the SS-CS specimen failed in the CS base material, far from the weld, with the failure phenomenon being preceded by the material yielding and necking. This failure mode is consistent with the detected strength mismatch of the SS-CS joint, with respect to the CS base material. In contrast, the quasi-ductile fracture of the SS-SS welded joint occurred by plastic exhaustion at the boundary between the narrow Heat-Affected Zone (HAZ) of SS and the Fuzion Zone (FZ). These outcomes are consistent with the hardness profile, microstructural heterogeneities found in the lap-fillet welded joints, and the load versus elongation curves that are determined and discussed in this paper. This research provides new insight and original information on the materials’ response to the autogenous laser welding, which will contribute to improving the knowledge on the ultra-thin lap-fillet welded similar and dissimilar steels. Full article
(This article belongs to the Special Issue Advances in Dissimilar Metal Joining and Welding, 2nd Edition)
Show Figures

Figure 1

14 pages, 2034 KB  
Article
Digital Image Correlation Analysis of Implant Angulation, Splinting, and Length on Peri-Implant Strain: An In Vitro Study
by Muralidharan Priyanka, Baltha Shreya, V. Manju, M. P. Hariprasad and Prathap Ananth
Prosthesis 2026, 8(3), 24; https://doi.org/10.3390/prosthesis8030024 - 1 Mar 2026
Viewed by 165
Abstract
Background/Objectives: Dental implants are an established modality for oral rehabilitation, but their biomechanical success depends on controlling peri-implant strain, which is influenced by implant angulation, splinting, and length. This in vitro study evaluated the effects of these variables on strain and displacement [...] Read more.
Background/Objectives: Dental implants are an established modality for oral rehabilitation, but their biomechanical success depends on controlling peri-implant strain, which is influenced by implant angulation, splinting, and length. This in vitro study evaluated the effects of these variables on strain and displacement under axial and oblique loading using digital image correlation (DIC). Methods: Three CBCT-derived mandibular models were 3D-printed and restored with screw-retained full-metal crowns. Group 1 compared parallel vs. angulated implants; Group 2 assessed splinted vs. non-splinted restorations; and Group 3 compared short (4.2 × 6.25 mm) vs. long (4.2 × 13 mm) implants. All specimens were loaded to 500 N at 0°, 15°, and 30° using a universal testing machine. Strain and displacement were analyzed with Istra 4D software and statistically evaluated using ANOVA and independent t-tests (α = 0.05). Results: Parallel implants exhibited progressively higher strain with load angle, peaking at 30° (p < 0.01), while angulated implants recorded their highest strain at 0° (p = 0.008), indicating better adaptation to oblique forces. Splinted restorations significantly reduced strain at 0° and 30° (p = 0.023) and lowered displacement across all inclinations (p = 0.0001). Short implants consistently produced greater strain and displacement than long implants (p < 0.02). Conclusions: Angulated implants mitigated strain under off-axis loading compared to parallel configurations. Splinting decreased strain and displacement, while longer implants consistently improved biomechanical performance. Optimal selection of implant orientation, splinting, and length may minimize peri-implant strain under functional loads. Findings are limited to in vitro conditions with static loading and a single implant system. Full article
Show Figures

Figure 1

19 pages, 5217 KB  
Article
Experimental Characterization and Numerical Optimization of 3D-Printed PA6-CF External Fixator Rings
by Ion Badea, Tudor-George Alexandru, Diana Popescu and Florin Baciu
J. Manuf. Mater. Process. 2026, 10(3), 85; https://doi.org/10.3390/jmmp10030085 - 27 Feb 2026
Viewed by 273
Abstract
This research investigated the feasibility of 3D-printed external fixator (EF) rings made from carbon fiber reinforced polyamide 6 (PA6-CF) as an alternative to the conventional metallic counterpart. The study integrated tensile testing with digital image correlation (DIC) in as-printed and cold plasma-sterilized conditions, [...] Read more.
This research investigated the feasibility of 3D-printed external fixator (EF) rings made from carbon fiber reinforced polyamide 6 (PA6-CF) as an alternative to the conventional metallic counterpart. The study integrated tensile testing with digital image correlation (DIC) in as-printed and cold plasma-sterilized conditions, finite-element analysis (FEA) under wire loading, topology optimization for material and energy reduction, and evaluation of printability limits for large PA6-CF rings. The average Young’s modulus was 4.76 GPa and the maximum tensile strength was 60.5 MPa for as-printed samples, decreasing by 6.4% and 10.4% after sterilization, respectively. Using these properties as model inputs, FEA predicted safety factors larger than 1.42 for all configurations under 1000 N wire pretension, while topology optimization targeted up to 50% mass reduction without compromising ring stiffness. The study also revealed challenges in the printability of PA6-CF for large and thin components, including dimensional contraction, significant warping and moisture-induced defects, requiring an experienced 3D printer operator. Full article
Show Figures

Figure 1

22 pages, 10652 KB  
Article
Digital Image-Based Rapid Determination and Analysis of Grain Size Distribution of Concrete Aggregates and Rock Fills
by Muhammet Karabulut, Tugba Palabas and Dragan Marinkovic
Buildings 2026, 16(5), 912; https://doi.org/10.3390/buildings16050912 - 25 Feb 2026
Viewed by 258
Abstract
Digital image-based determination of aggregate and rock gradation has been only limitedly addressed in the existing literature despite its considerable potential to transform conventional material characterization practices in civil engineering. Rapid and accurate estimation of aggregate and rock particle size distributions using advanced [...] Read more.
Digital image-based determination of aggregate and rock gradation has been only limitedly addressed in the existing literature despite its considerable potential to transform conventional material characterization practices in civil engineering. Rapid and accurate estimation of aggregate and rock particle size distributions using advanced image-based analytical methods can significantly improve efficiency, consistency, and scalability in design, construction, and quality control processes, particularly in large-scale structural and geotechnical engineering projects where traditional sieve analysis is time-consuming, labor-intensive, and difficult to apply under field conditions. In this study, an image-based methodology is proposed to rapidly detect aggregate particles and determine their size-based proportions within a pile by employing image enhancement, segmentation, and boundary detection algorithms. The results obtained from digital image processing are comparatively evaluated against experimental sieve analysis data, demonstrating a strong correlation between the two approaches. Low RMSE values achieved for larger aggregate sizes, such as 25.4 mm and 19 mm, indicate high detection accuracy, while the relatively higher yet acceptable RMSE values obtained for smaller particles, including 12.7 mm and 9.5 mm, confirm that the method maintains practical sensitivity across different size ranges. By analyzing samples collected from various aggregate and rock piles, the study further demonstrates the originality, robustness, and effectiveness of the proposed approach in evaluating heterogeneous material groups. Overall, the findings highlight that digital image-based determination offers a fast, reproducible, and non-destructive alternative to traditional sieve analysis, making it particularly valuable for reinforced concrete aggregate assessment and port fill rock characterization in large-scale structural and geotechnical engineering applications. Full article
Show Figures

Figure 1

16 pages, 1359 KB  
Article
Differential HER2 Expression Across Feline Nasal Carcinoma and Its Relationship with Proliferation and p53 Status
by Maral Anjomanibenisi, Ginevra Martinoli, Michele Olei, Barbara Bacci and Barbara Brunetti
Vet. Sci. 2026, 13(3), 212; https://doi.org/10.3390/vetsci13030212 - 25 Feb 2026
Viewed by 361
Abstract
Feline nasal carcinomas are rare but clinically aggressive neoplasms. This study characterizes their histopathological features and evaluates HER2, p53, Ki-67, and PCNA expression using immunohistochemistry and digital image analysis, aiming to provide a comprehensive biological characterization with potential prognostic and therapeutic implications. Tumors [...] Read more.
Feline nasal carcinomas are rare but clinically aggressive neoplasms. This study characterizes their histopathological features and evaluates HER2, p53, Ki-67, and PCNA expression using immunohistochemistry and digital image analysis, aiming to provide a comprehensive biological characterization with potential prognostic and therapeutic implications. Tumors were classified into adenocarcinomas (AC) and non-adenocarcinomas (non-AC). Among the 23 cases examined, adenocarcinoma was the most common subtype (17 cases). HER2 was scored as 3+ in 7 cases, 2+ in 8 cases, 1+ in 5 cases, and 3 cases were scored 0. A statistically significant association was found between histological type and HER2 expression (Fisher’s exact test, p = 0.02), with a higher prevalence of HER2 positivity in adenocarcinomas. Evaluation of p53 expression according to histological grouping showed a trend toward significance (p = 0.0593), with p53 positivity observed exclusively in non-AC. The Ki-67 index had a median of 4.4 (min 0.5, max 21.06), and the PCNA index had a median of 82.26 (min 19.55, max 100). No significant associations were identified between the Ki-67 labeling index and HER2 expression, histotype, and the inflammatory infiltrate. Finally, Pearson correlation analysis revealed no significant correlation between Ki-67 and PCNA indices (p = 0.32). The overexpression of HER2 lays the groundwork for the possible use of anti-HER2 targeted drugs in this tumor type, particularly in adenocarcinomas. These findings provide baseline immunohistochemical data for feline nasal carcinomas and highlight HER2 as a relevant biomarker for future diagnostic and therapeutic research. Full article
(This article belongs to the Special Issue Recent Developments in Small Animal Oncology)
Show Figures

Figure 1

15 pages, 4021 KB  
Article
Reevaluating Fracture Forming Limits in Bulk Forming Under Non-Monotonic Strain Loading Paths
by Rui F. V. Sampaio, João P. M. Pragana, Guilherme P. Joaquim, Ivo M. F. Bragança, Carlos M. A. Silva and Paulo A. F. Martins
J. Manuf. Mater. Process. 2026, 10(2), 66; https://doi.org/10.3390/jmmp10020066 - 17 Feb 2026
Viewed by 266
Abstract
This paper examines the applicability of the fracture forming limits (FFLs) derived from conventional monotonic upset compression tests for assessing the formability of non-monotonic strain loading paths. The work uses a simple test specimen subjected to various non-monotonic deformation histories, and combines experimental [...] Read more.
This paper examines the applicability of the fracture forming limits (FFLs) derived from conventional monotonic upset compression tests for assessing the formability of non-monotonic strain loading paths. The work uses a simple test specimen subjected to various non-monotonic deformation histories, and combines experimental force measurements, digital image correlation, finite element analysis, and scanning electron microscopy (SEM) to characterize strain loading paths and crack opening mechanisms under varying testing parameters. Results demonstrate that non-monotonic strain loading paths can result in fracture strains that differ from those obtained through conventional monotonic bulk formability tests in the effective strain versus stress triaxiality space, depending on the considerations made in the transition between different loading stages. Consequently, reliance on monotonic test data may lead to inaccurate predictions of cracking in multi-stage industrial bulk forming processes. Full article
Show Figures

Figure 1

10 pages, 1548 KB  
Article
Differential Fungal Susceptibility of Aspergillus oryzae to Aomori Hiba Heartwood and Sapwood
by Tsuyoshi Yoda
Sensors 2026, 26(4), 1191; https://doi.org/10.3390/s26041191 - 12 Feb 2026
Viewed by 185
Abstract
The antifungal properties of wood are often attributed to extractives that differ between heartwood and sapwood; however, quantitative evaluation methods remain limited. In this study, we investigated differences in fungal susceptibility between heartwood and sapwood of Aomori Hiba (Thujopsis dolabrata var. hondae [...] Read more.
The antifungal properties of wood are often attributed to extractives that differ between heartwood and sapwood; however, quantitative evaluation methods remain limited. In this study, we investigated differences in fungal susceptibility between heartwood and sapwood of Aomori Hiba (Thujopsis dolabrata var. hondae) using solvent extraction, fungal growth inhibition assays, and digital image analysis. Heartwood and sapwood were distinguished based on anatomical characteristics and color, and extractives were obtained using ethanol as the solvent. Antifungal activity was evaluated against Aspergillus oryzae by monitoring fungal growth on culture media. Quantitative image analysis was applied to grayscale images to assess fungal growth inhibition, enabling objective comparison between samples. The results demonstrated that heartwood extracts consistently exhibited stronger fungal growth inhibition than sapwood extracts, which correlated with higher extractive contents. Image-derived metrics effectively captured differences in fungal growth that were not readily discernible by visual inspection alone. These findings demonstrate that digital image analysis can be effectively integrated with fungal susceptibility assays and extractive measurements to provide a practical framework for preliminary screening of antifungal potential in wood-derived materials. Full article
(This article belongs to the Special Issue Use of Sensors and Chemical Analysis for Food Safety and Quality)
Show Figures

Figure 1

18 pages, 1899 KB  
Article
Analysis of Dento-Facial Parameters in the Young Population Using Digital Methods
by Sonja Milosavljević, Milica Jovanović, Žaklina Rajković, Vladan Radisavljević, Tanja Šapić, Anđela Milojević Šamanović, Raša Mladenović, Vladan Đorđević, Milan Miljković, Danka Pajović, Jelena Todić and Marko Milosavljević
Diagnostics 2026, 16(3), 453; https://doi.org/10.3390/diagnostics16030453 - 1 Feb 2026
Viewed by 473
Abstract
Background/Objectives: Facial and intraoral parameters are important guidelines in prosthetic planning and rehabilitation. This study aimed to analyze and determine the relationship between facial parameters and measurements on the upper anterior teeth using digital photography of the participants. Methods: This cross-sectional observational study [...] Read more.
Background/Objectives: Facial and intraoral parameters are important guidelines in prosthetic planning and rehabilitation. This study aimed to analyze and determine the relationship between facial parameters and measurements on the upper anterior teeth using digital photography of the participants. Methods: This cross-sectional observational study included 82 student participants. Digital images (front facial and dental view) were taken of each participant, and then standardized images were used to measure facial and dental parameters. Results: The width of the maxillary anterior teeth and facial parameters were greater in males than in females, except for the medial canthus of the eye, which was slightly larger in females. A significant positive correlation was found between all facial parameters and the widths of the central and lateral incisors, as well as their combined sum. The strongest correlation was observed between the lateral canthus of the eye and the total width of the maxillary anterior teeth (r = 0.546; p < 0.001). In regression analysis, it was shown that the bizygomatic width had a statistically significant contribution to the prediction of the central incisor width (p = 0.045). It was also shown that the intraoral parameters, such as the height of the interdental papilla and interpapillary angle, are shape-dependent. Interincisal angles between the central incisors in all participants are significantly lower (p < 0.05) than the angles between incisal edges in other anterior teeth. Conclusions: Facial parameters cannot be used independently to predict dental parameters; nevertheless, when integrated with basic esthetic principles, they provide complementary information relevant to analytical procedures in restorative and prosthetic dentistry. Full article
(This article belongs to the Section Medical Imaging and Theranostics)
Show Figures

Figure 1

17 pages, 6219 KB  
Article
Mechanical Properties of Granite Residual Soil Reinforced by Permeable Water-Reactive Polyurethane
by Shuzhong Tan, Jinyong Li, Dingfeng Cao, Tao Xiao and Jiajia Zheng
Polymers 2026, 18(3), 381; https://doi.org/10.3390/polym18030381 - 30 Jan 2026
Viewed by 495
Abstract
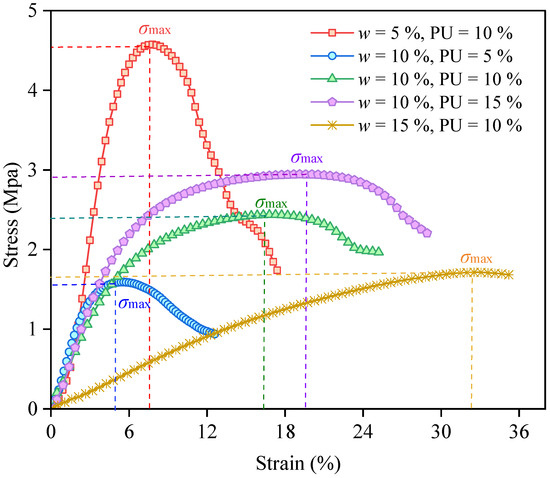
Granite residual soil (GRS) is highly susceptible to water-induced softening, posing significant risks of slope instability and collapse. Conventional impermeable grouting often exacerbates these hazards by blocking groundwater drainage. This study investigates the efficacy of a permeable water-reactive polyurethane (PWPU) in stabilizing GRS, [...] Read more.
Granite residual soil (GRS) is highly susceptible to water-induced softening, posing significant risks of slope instability and collapse. Conventional impermeable grouting often exacerbates these hazards by blocking groundwater drainage. This study investigates the efficacy of a permeable water-reactive polyurethane (PWPU) in stabilizing GRS, aiming to resolve the conflict between mechanical reinforcement and hydraulic conductivity. Uniaxial compression tests were conducted on specimens with varying initial water contents (5%, 10%, and 15%) and PWPU contents (5%, 10%, and 15%). To reveal the multi-scale failure mechanism, synchronous acoustic emission (AE) monitoring and digital image correlation (DIC) were employed, complemented by scanning electron microscopy (SEM) for microstructural characterization. Results indicate that PWPU treatment significantly enhances soil ductility, shifting the failure mode from brittle fracturing to strain-hardening, particularly at higher moisture levels where failure strains exceeded 30%. This enhancement is attributed to the formation of a flexible polymer network that acts as a micro-reinforcement system to restrict particle sliding and dissipate strain energy. An optimal PWPU content of 10% yielded a maximum compressive strength of 4.5 MPa, while failure strain increased linearly with polymer dosage. SEM analysis confirmed the formation of a porous, reticulated polymer network that effectively bonds soil particles while preserving permeability. The synchronous monitoring quantitatively bridged the gap between internal micro-crack evolution and macroscopic strain localization, with AE analysis revealing that tensile cracking accounted for 79.17% to 96.35% of the total failure events. Full article
(This article belongs to the Section Polymer Processing and Engineering)
Show Figures

Figure 1

19 pages, 4485 KB  
Article
Research on In Situ Stress Measurement Based on the Combined Method of DIC and Drilling Stress Relief
by Lingting Ye, Liping Chen, Peng Zhao, Ruichuan Zhao and Yixiang Zhou
Buildings 2026, 16(3), 543; https://doi.org/10.3390/buildings16030543 - 28 Jan 2026
Viewed by 254
Abstract
Existing structural stress is an important parameter for evaluating the current state of a structure. In order to improve the accuracy of in situ stress measurement in the field, this paper proposes an in situ stress measurement method for existing structures, which combines [...] Read more.
Existing structural stress is an important parameter for evaluating the current state of a structure. In order to improve the accuracy of in situ stress measurement in the field, this paper proposes an in situ stress measurement method for existing structures, which combines Digital Image Correlation (DIC) technology with the drilling stress relief method. The method utilizes DIC technology to monitor the local displacement or strain caused by stress release from the drilled hole in real time, and further inverts the in situ stress state of the structure based on this data. First, the principle and specific implementation process of the method are introduced. Then, finite element simulations are used to analyze the influence of factors such as size effects, drill hole diameter, drill hole depth, and initial stress magnitude on the measurement results. Finally, experimental validation of the method’s effectiveness is conducted. The results show that the in situ stress measurement method based on the combination of DIC and stress relief has good application effects and prospects in the stress analysis of existing structures. The accuracy and effectiveness of the method are influenced by factors such as specimen size, drill hole diameter, drill hole depth, and stress magnitude. In practical engineering, a comprehensive evaluation should be made, considering the precision of DIC testing and the magnitude of in situ stress, to select appropriate drilling parameters and measurement ranges. During the subsequent stress inversion process, a size calibration factors is applied to adjust the theoretical results, significantly improving the method’s applicability under finite size conditions, and achieving good results. This research provides important references for the stress testing and evaluation of existing structures with finite sizes. Full article
(This article belongs to the Section Building Structures)
Show Figures

Figure 1

Back to TopTop