Sign in to use this feature.

Years

Between: -

Subjects

remove_circle_outline
remove_circle_outline
remove_circle_outline
remove_circle_outline
remove_circle_outline
remove_circle_outline
remove_circle_outline
remove_circle_outline
remove_circle_outline

Journals

remove_circle_outline
remove_circle_outline
remove_circle_outline
remove_circle_outline
remove_circle_outline
remove_circle_outline
remove_circle_outline
remove_circle_outline
remove_circle_outline
remove_circle_outline
remove_circle_outline
remove_circle_outline
remove_circle_outline
remove_circle_outline
remove_circle_outline
remove_circle_outline

Article Types

Countries / Regions

remove_circle_outline
remove_circle_outline
remove_circle_outline
remove_circle_outline
remove_circle_outline

Search Results (888)

Search Parameters:
Keywords = deep acting

Order results
Result details
Results per page
Select all
Export citation of selected articles as:
32 pages, 31110 KB  
Article
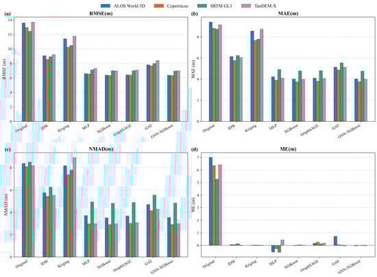
Explicit Features Versus Implicit Spatial Relations in Geomorphometry: A Comparative Analysis for DEM Error Correction in Complex Geomorphological Regions
by Shuyu Zhou, Mingli Xie, Nengpan Ju, Changyun Feng, Qinghua Lin and Zihao Shu
Sensors 2026, 26(6), 1995; https://doi.org/10.3390/s26061995 - 23 Mar 2026
Abstract
Global Digital Elevation Models (DEMs) exhibit systematic biases constrained by acquisition geometry and surface penetration. This study aims to evaluate whether the increasing complexity of geometric deep learning (e.g., Graph Neural Networks, GNNs) is justified by performance gains over established feature engineering paradigms [...] Read more.
Global Digital Elevation Models (DEMs) exhibit systematic biases constrained by acquisition geometry and surface penetration. This study aims to evaluate whether the increasing complexity of geometric deep learning (e.g., Graph Neural Networks, GNNs) is justified by performance gains over established feature engineering paradigms (e.g., XGBoost) under the constraints of sparse altimetry supervision. We established a rigorous comparative framework across four mainstream products—ALOS World 3D, Copernicus DEM, SRTM GL1, and TanDEM-X—using Sichuan Province, China, as a representative natural laboratory. Our results reveal a fundamental scale mismatch (where the ~485 m average spacing of sampled altimetry footprints dwarfs the local terrain resolution): despite their topological complexity, Hybrid GNN models fail to establish a statistically significant accuracy advantage over the systematically optimized XGBoost baseline, demonstrating RMSE parity. Mechanistically, we uncover a critical divergence in decision logic: XGBoost relies on a stable “Physics Skeleton” consistently dominated by deterministic features (terrain aspect and vegetation density), whereas GNNs exhibit severe “Attribution Stochasticity” (ρ  0.63–0.77). The GNN component acts as a residual-dependent latent feature learner rather than discovering universal topological laws. We conclude that for geospatial regression tasks relying on sparse supervision, “Physics Trumps Geometry.” A “Feature-First” paradigm that prioritizes robust, domain-knowledge-based physical descriptors outweighs the indeterminate complexity of “Black Box” architectures. This study underscores the imperative of prioritizing explanatory stability over marginal accuracy gains to foster trusted Geo-AI. Full article
(This article belongs to the Section Remote Sensors)
Show Figures

Figure 1

30 pages, 7581 KB  
Article
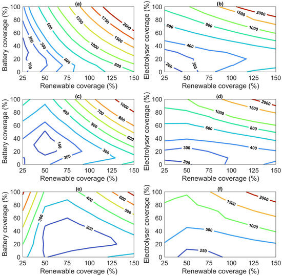
Fuel Switching Strategies for Decarbonising the Glass Industry Using Renewable Energy and Hydrogen-Based Solutions
by Lorenzo Miserocchi and Alessandro Franco
Energies 2026, 19(6), 1529; https://doi.org/10.3390/en19061529 - 19 Mar 2026
Abstract
This study addresses the decarbonisation of the glass industry from an integrated energy system perspective, analysing the role of renewable electricity, furnace electrification, and hydrogen in meeting the high and continuous thermal demands of glass melting. While direct electrification represents the most energy-efficient [...] Read more.
This study addresses the decarbonisation of the glass industry from an integrated energy system perspective, analysing the role of renewable electricity, furnace electrification, and hydrogen in meeting the high and continuous thermal demands of glass melting. While direct electrification represents the most energy-efficient option, its implementation is challenged by the intermittent nature and limited operating hours of renewable generation, scale constraints, and technological limitations in replacing fossil-based processes, highlighting a potential complementary role for hydrogen. A general methodological framework is first developed and then applied to a representative oxyfuel glass furnace using mixed-integer linear programming (MILP) optimisation that minimises melting costs while accounting for variable solar and wind generation, battery storage, and hydrogen production and storage. The results show that high levels of furnace electrification combined with wind-dominated renewable supply yield the lowest decarbonisation costs, which can become negative at moderate decarbonisation levels. Under the current solar–wind capacity expansion mix, the integration of battery and hydrogen storage extends achievable emission reductions from around 50% to 80%, with hydrogen acting as a complementary solution to electrification. Sensitivity analysis of energy and carbon prices, as well as technology investment costs, identifies the economic conditions in which storage-based solutions become cost-effective, highlighting the strategic role of hydrogen under conditions of low electricity prices and high fuel prices. The findings demonstrate viable pathways for deep decarbonisation of the glass sector and provide a transferable methodological framework for optimal renewable energy integration in other hard-to-abate industrial sectors facing similar constraints. Full article
Show Figures

Figure 1

52 pages, 2837 KB  
Review
Technological Bottlenecks in Fuels for Maritime Decarbonization
by Renata Costa
J. Mar. Sci. Eng. 2026, 14(6), 570; https://doi.org/10.3390/jmse14060570 - 19 Mar 2026
Abstract
Maritime decarbonization has shifted from a long-term aspiration to an engineering and systems-integrated problem under near-term compliance pressure. International regulatory bodies, governments, and a wide array of private-sector coalitions will tighten greenhouse-gas fuel-emission standards from 2028, translating climate targets into enforceable cost signals [...] Read more.
Maritime decarbonization has shifted from a long-term aspiration to an engineering and systems-integrated problem under near-term compliance pressure. International regulatory bodies, governments, and a wide array of private-sector coalitions will tighten greenhouse-gas fuel-emission standards from 2028, translating climate targets into enforceable cost signals and accelerating interest in alternative-fuel and retrofit pathways. This review synthesizes the state of the art (SoA) of maritime decarbonization by mapping where technological bottlenecks concentrate along the well-to-wake (WtW) value chain for the main candidate pathways: biofuels, LNG/bio-LNG, hydrogen, ammonia, e-methanol, and electrification, and by benchmarking them side-by-side using a unified framework designed to compare their realizable well-to-wake GHG-reduction potential under maritime operating constraints. Building on that comparative lens, this work aims to connect pathway readiness to the near-term market and regulatory reality, while the alternative-fuel-capable fleet is projected to expand rapidly, creating a structural capability vs. supply gap, in which, for example, ship readiness can outpace low-GHG fuel availability and bunkering rollout. The merged evidence indicates that near-term abatement will be dominated by scalable drop-in biofuels, whereas deep-sea options (ammonia/hydrogen and e-fuels) remain gated by upstream low-GHG production, port infrastructure, and safety/regulatory maturation. Nevertheless, mid-term deployment of low-GHG fuels can act as a system “relief valve”, reducing infrastructure lock-in and accelerating emissions reductions while zero-carbon fuel supply chains scale up. Full article
Show Figures

Figure 1

24 pages, 5391 KB  
Article
How Can Crowd Perception Methodologies Be Employed to Understand the Locality Characteristics of Small Towns Within the Jiangnan Water Network? From the Perspective of Urban–Rural–Wildland Integration
by Lin Zhang, Yankai Miao and Bianchi Alessandro
Buildings 2026, 16(6), 1214; https://doi.org/10.3390/buildings16061214 - 19 Mar 2026
Abstract
Serving as a link between cities and villages, small towns play a crucial role in reducing the disparity between urban and rural areas. The spaces of small towns in Southern Jiangsu Province not only showcase the landscape style of production–living–ecological but also embody [...] Read more.
Serving as a link between cities and villages, small towns play a crucial role in reducing the disparity between urban and rural areas. The spaces of small towns in Southern Jiangsu Province not only showcase the landscape style of production–living–ecological but also embody local cultural characteristics, acting as a unique “container” for preserving the memory of Jiangnan water towns. However, during the urbanization process, these spaces often fail to respect the principles of landscape locality, instead favoring standardization and efficient designs that overlook human perspectives on landscape perception and understanding. This results in the “homogenization” and “heterogenization” of Jiangnan small towns landscape spaces. As county urbanization shifts toward improving human environments, human-scale spatial perception has become key to localized planning. By combining street view photos with deep learning, the ‘2bulu’ dataset supports large-scale analysis of crowd perception and precise detection of spatial and landscape features. This study investigated the proportions of landscape elements in the small towns’ town–rural–wilderness of Wujiang District that play a direct role in shaping people’s perceived visual identity and sense of cultural resonance, assessed the spatial distribution of perceived landscape locality scores, and revealed the positive or negative correlations between the proportions of visual landscape elements and the sense of place. This study analyzed perceived landscape locality in Wujiang small towns based on crowd perception, exploring which town–rural–wilderness landscape elements are perceived as having local character, and highlighted the importance of preserving locality through integrated town–rural–wilderness landscape elements. The findings offer insights for quantitative measuring landscape locality perception and support planning of appropriate local landscapes in Jiangnan small towns. Full article
Show Figures

Figure 1

24 pages, 29496 KB  
Article
Terrestrial Heat Flow and Crustal Thermal Structure of the Tazhong Uplift, Tarim Basin, Northwest China
by Chunlong Yang, Ming Cheng, Yurun Rui, Jin Su, Ke Zhang, Qing Zhao, Baoyi Chen, Yunzhan Li and Yuyang Liu
Processes 2026, 14(6), 980; https://doi.org/10.3390/pr14060980 - 19 Mar 2026
Abstract
Geothermal field characteristics fundamentally control hydrocarbon generation, phase evolution, and preservation, and are particularly critical in deep to ultra-deep hydrocarbon exploration. The Tazhong Uplift is a key area for deep to ultra-deep hydrocarbon exploration in the Tarim Basin; however, its deep thermal regime [...] Read more.
Geothermal field characteristics fundamentally control hydrocarbon generation, phase evolution, and preservation, and are particularly critical in deep to ultra-deep hydrocarbon exploration. The Tazhong Uplift is a key area for deep to ultra-deep hydrocarbon exploration in the Tarim Basin; however, its deep thermal regime and controlling factors remain inadequately characterized. This study aims to accurately characterize the geothermal field and crustal thermal structure of the Tazhong Uplift to provide thermal constraints for ultra-deep exploration. We systematically compiled system steady-state temperature data from 24 wells, bottom-hole temperature (BHT) data from 51 wells, and rock thermal property measurements. Using the one-dimensional steady-state heat conduction equation, present-day geothermal gradients at 0–5000 m depths and terrestrial heat flow were calculated, and formation temperatures were predicted at deep horizons (6000–10,000 m). Results show geothermal gradients at 0–5000 m of 18.5–26.7 °C/km (average 23.06 °C/km) and heat flow of 39.3–59.8 mW/m2 (average 48.1 mW/m2), both significantly higher than basin averages. The distribution of the geothermal field is jointly controlled by basement structure and rock thermophysical properties. Basement highs typically exhibit elevated geothermal gradients and high heat flow. The dual-layer structure of “upper clastic rocks (low thermal conductivity, high heat production) + lower carbonate rocks (high thermal conductivity, low heat production)” results in a vertical differentiation characterized by a “high-upper, low-lower” geothermal gradient. Notably, the thick Upper Ordovician mudstone acts as a regional “thermal blanket”, significantly reducing geothermal parameters in the northern slope area. Crustal thermal structure analysis indicates a “cold mantle” signature of cratonic basins, with a thermal lithosphere thickness of ~134–145 km and a Moho temperature of ~581 °C. These findings reveal that despite the ultra-deep burial (>8000 m), the “cold” thermal background and the thermal regulation of the overlying diverse lithologies maintain formation temperatures within a range favorable for liquid hydrocarbon preservation, significantly expanding the depth limit for oil exploration in the Tarim Basin. Full article
Show Figures

Figure 1

21 pages, 2592 KB  
Article
Measurement and Numerical Modelling of Swim Bladder Resonance Properties of Recently Euthanised Brown Trout (Salmo trutta)
by William Luocheng Wu, Philip Ericsson, Paul Kemp and Paul Robert White
Fishes 2026, 11(3), 169; https://doi.org/10.3390/fishes11030169 - 15 Mar 2026
Viewed by 134
Abstract
Swim bladders in some teleost fish can act as gas-filled cavities that oscillate under acoustic pressure and transfer the sound energy to the inner ears. Quantifying the resonance frequency and damping of these oscillations is useful for linking swim bladder mechanics to hearing-related [...] Read more.
Swim bladders in some teleost fish can act as gas-filled cavities that oscillate under acoustic pressure and transfer the sound energy to the inner ears. Quantifying the resonance frequency and damping of these oscillations is useful for linking swim bladder mechanics to hearing-related and behavioural questions, but many established direct-measure approaches have relied on open-water deployments and careful avoidance of boundary reflections, making experiments logistically demanding and difficult to reproduce (e.g., requiring deep-water sites, careful control of surface/boundary reflections, and complex deployment geometries). This study presents a compact laboratory methodology for estimating swim bladder resonance properties using a closed, fully water-filled, stainless-steel impedance tube. Broadband pseudorandom excitation is applied via an end-plate shaker, and the acoustic response of the system is recorded using wall-mounted hydrophones. Resonance peaks are identified using power spectral estimates of recorded signals, allowing resonance frequency and quality factor to be extracted from the peak location and −3 dB bandwidth. The approach is first established using inflated latex balloons as surrogate encapsulated gas cavities, providing a controlled benchmark for repeatability and interpretation. It is then applied to recently euthanised brown trout (Salmo trutta), where clear resonance features attributable to the swim bladder are observed and show systematic variation with body size. A coupled finite element model reproduces the principal resonance behaviour under the experimental loading and supports interpretation of the measured peaks as swim bladder resonance. The results provide a validated foundation for subsequent non-invasive measurements on live, free-swimming fish, as well as for future applications where swim bladder condition may be relevant to management or conservation. Full article
Show Figures

Graphical abstract

19 pages, 6662 KB  
Article
Natural H2 Emanations in the Rio de la Plata Craton, First Data
by Isabelle Moretti, Alain Prinzhofer and Vincent Roche
Geosciences 2026, 16(3), 120; https://doi.org/10.3390/geosciences16030120 - 14 Mar 2026
Viewed by 200
Abstract
This study presents the first comprehensive soil gas survey across southern Uruguay’s H2 prospective terranes. A pre-field trip selection was done on the basement rock nature, as well as vegetation anomalies in subcircular depressions and fault presence. The Neoproterozoic terrane, north of [...] Read more.
This study presents the first comprehensive soil gas survey across southern Uruguay’s H2 prospective terranes. A pre-field trip selection was done on the basement rock nature, as well as vegetation anomalies in subcircular depressions and fault presence. The Neoproterozoic terrane, north of Punta del Este, and the Archean Rio de la Plata Craton, north of Montevideo, as well as along the suture zones between the two, were targeted. Our findings reveal substantial H2 concentrations, significantly outperforming many established basins worldwide. The suture zones act as critical migration conduits for H2 coming from a deeper structural level. Slightly abnormal helium signatures confirm an active, deep-sourced fluid system, particularly within the Sierra Ballena and Cordillera shear zones. The Archean Rio de la Plata Craton appears promising but has only been partially sampled and warrants further investigation. These results underscore the high potential of Uruguay as a new frontier for natural hydrogen exploration. Full article
Show Figures

Figure 1

30 pages, 1414 KB  
Article
Graph-Attention Constrained DRL for Joint Task Offloading and Resource Allocation in UAV-Assisted Internet of Vehicles
by Peiying Zhang, Xiangguo Zheng, Konstantin Igorevich Kostromitin, Wei Zhang, Huiling Shi and Lizhuang Tan
Drones 2026, 10(3), 201; https://doi.org/10.3390/drones10030201 - 13 Mar 2026
Viewed by 236
Abstract
Unmanned aerial vehicles (UAVs) acting as mobile aerial edge platforms can deliver on-demand communication and computing for the Internet of Vehicles (IoV) via flexible deployment and line-of-sight (LoS) links, improving reliability and reducing latency. However, high vehicle mobility, time-varying channels, and limited onboard [...] Read more.
Unmanned aerial vehicles (UAVs) acting as mobile aerial edge platforms can deliver on-demand communication and computing for the Internet of Vehicles (IoV) via flexible deployment and line-of-sight (LoS) links, improving reliability and reducing latency. However, high vehicle mobility, time-varying channels, and limited onboard energy make task offloading and resource coordination challenging. This paper studies joint task offloading and resource allocation in a UAV-assisted IoV system, where the UAV selects its hovering position from discrete candidate sites each time slot and splits vehicular tasks between the UAV and a roadside unit (RSU) to relieve backhaul congestion and enhance edge resource utilization. Considering vehicle mobility, multi-stage queue dynamics, and UAV energy consumption for communication, computation, and movement, the online optimization of position selection, task splitting, and bandwidth allocation is formulated as a constrained Markov decision process (CMDP). The goal is to maximize the number of tasks completed within the latency deadlines while satisfying the UAV energy budget. To solve this CMDP, we propose a graph-attention-based constrained twin delayed deep deterministic policy gradient (GAT-CTD3) algorithm. A graph attention network captures spatial correlations and resource competition among active vehicles, while a Lagrangian TD3 framework enforces long-term energy constraints and improves learning stability via twin critics, delayed policy updates, and target smoothing. The simulation results demonstrate that it outperforms the comparative scheme in terms of task completion rate, delay, and energy consumption per completed task, and exhibits strong robustness in situations with dense traffic. Full article
Show Figures

Figure 1

21 pages, 4680 KB  
Article
Hierarchical Thermocline-Aware Navigation for Underwater Gliders via Multi-Objective Path Planning and Reinforcement Learning
by Zizhao Song, Mingsong Bao and Tingting Guo
J. Mar. Sci. Eng. 2026, 14(5), 498; https://doi.org/10.3390/jmse14050498 - 6 Mar 2026
Viewed by 306
Abstract
Navigation planning and execution for underwater gliders operating in thermocline-affected environments is challenging due to the coupled influence of energy constraints, spatially distributed environmental disturbances, and limited control authority. Spatially varying thermocline structures act as structured environmental disturbances that degrade motion efficiency and [...] Read more.
Navigation planning and execution for underwater gliders operating in thermocline-affected environments is challenging due to the coupled influence of energy constraints, spatially distributed environmental disturbances, and limited control authority. Spatially varying thermocline structures act as structured environmental disturbances that degrade motion efficiency and tracking accuracy, and therefore must be explicitly considered in both path planning and control design. This paper proposes a hierarchical control-oriented decision framework for underwater glider navigation in thermocline regions. At the planning layer, a thermocline-aware multi-objective optimization problem is formulated to regulate the trade-off between navigation efficiency and cumulative environmental disturbance, characterized by total path length and cumulative thermocline exposure, respectively. A multi-objective artificial bee colony (MOABC) algorithm is employed to generate a set of Pareto-optimal reference trajectories that explicitly reveal this trade-off. At the execution layer, pitch angle regulation is formulated as a stochastic tracking control problem under environmental uncertainty. A Markov Decision Process (MDP) is constructed to model the coupled effects of pitch control on energy consumption and trajectory deviation, and a deep deterministic policy gradient (DDPG) algorithm is adopted to synthesize a feedback control policy for adaptive pitch regulation during path execution. Simulation results demonstrate that the proposed framework effectively reduces cumulative thermocline exposure and overall energy consumption while maintaining improved trajectory consistency compared with representative benchmark methods. These results indicate that integrating multi-objective planning with learning-based control provides an effective control-oriented solution for constrained underwater glider navigation in thermally stratified environments. Full article
(This article belongs to the Section Ocean Engineering)
Show Figures

Figure 1

18 pages, 3004 KB  
Article
Protecting Elephants Through Science and Dance: A Powerful Environmental Education Approach
by Ana Raquel de Sales, Kate Elizabeth Evans and Mário J. Pereira
Wild 2026, 3(1), 12; https://doi.org/10.3390/wild3010012 - 5 Mar 2026
Viewed by 287
Abstract
The world is experiencing incredible biodiversity loss, including the decline of iconic species, such as elephants. The species faces an uncertain future due to habitat loss, human-elephant conflict, poaching and climate change, reminding us of the urgency of acting on a local and [...] Read more.
The world is experiencing incredible biodiversity loss, including the decline of iconic species, such as elephants. The species faces an uncertain future due to habitat loss, human-elephant conflict, poaching and climate change, reminding us of the urgency of acting on a local and global scale. Art has historically been a powerful medium for expressing ideas and emotions, fostering deep connections for people. Therefore, this paper explores the impact of the sharing of scientific content through dance on conservation values in young people. Understanding conservation needs and analyzing what drives people to gain an emotional affinity towards the environment has shown the potential to support and innovate traditional education. The work presented here uses a dance piece, performed through a choreographic process with dance students, to educate an audience about the importance and behavior of the African savannah elephant and the threats to its survival. Our findings indicated differences between the level of knowledge and opinion of the audience throughout the different phases of the methodology explored here, revealing that dance (and artistic) education can provide knowledge and stimulate more empathy for species conservation. Full article
Show Figures

Figure 1

17 pages, 547 KB  
Communication
Ionic Liquid Biospheres
by Sara Seager, William Bains, Iaroslav Iakubivskyi, Rachana Agrawal, John Jenkins, Pranav Shinde and Janusz J. Petkowski
Life 2026, 16(3), 408; https://doi.org/10.3390/life16030408 - 3 Mar 2026
Viewed by 421
Abstract
Liquid is a fundamental requirement for life as we understand it, but whether that liquid has to be water is not known. We propose the hypothesis that ionic liquids (ILs) and deep eutectic solvents (DES) constitute a class of non-aqueous planetary liquids capable [...] Read more.
Liquid is a fundamental requirement for life as we understand it, but whether that liquid has to be water is not known. We propose the hypothesis that ionic liquids (ILs) and deep eutectic solvents (DES) constitute a class of non-aqueous planetary liquids capable of persisting on a wide range of bodies where stable liquid water cannot exist. This hypothesis is motivated by key physical properties of ILs and DES. Many exhibit vapor pressures orders of magnitude lower than that of water and remain liquid across exceptionally wide temperature ranges, from cryogenic to well above terrestrial temperatures. These properties permit stable liquids to exist where liquid water would rapidly evaporate or freeze and outside of bulk phases as persistent microscale reservoirs—such as thin films and pore-filling droplets. In other words, ILs and DES can persist in environments without requiring oceans, thick atmospheres, or narrowly regulated climate conditions. We further hypothesize that ILs and DES could act as solvents for non-Earth-like life, based on their polar nature and the demonstrated stability and functionality of proteins and other biomolecules in ionic liquids. More speculatively, our hypothesis extends to the idea that ILs and DES could enable prebiotic chemistry by providing long-lived, protective liquid environments for complex organic molecules on bodies such as comets and asteroids, where liquid water is absent. Additionally, based on the occurrence of DES-like mixtures as protective intracellular liquids in desiccation-tolerant plants, we propose that ILs and DES might be solvents that life elsewhere purposefully evolves. We review protein and other biomolecule studies in ILs and DES and outline planetary environments in which ILs and DES might occur by discussing available anions and cations. We present strategies to advance the IL/DES solvent hypothesis using laboratory studies, computational chemistry, planetary missions, analysis of existing spectroscopic datasets, and modeling of liquid microniches and chemical survival on small bodies. Full article
(This article belongs to the Section Astrobiology)
Show Figures

Figure 1

23 pages, 3580 KB  
Article
Explainable Deep Learning and PHREEQC-Constrained Assessment of Genesis and Health Risks of Deep High-Fluoride Groundwater: A Case Study of Hengshui City, North China Plain
by Xiaofang Wu, Yi Liu, Haisheng Li, Fuying Zhang, Xibo Gao and Jiyi Jiang
Water 2026, 18(5), 600; https://doi.org/10.3390/w18050600 - 1 Mar 2026
Viewed by 250
Abstract
Fluoride (F) contamination in deep groundwater threatens drinking water security, yet its enrichment is commonly governed by coupled nonlinear hydrogeochemical feedbacks that are difficult to resolve with linear diagnostics alone. Here, we integrate an explainable deep learning framework (HydroAttentionNet + SHAP) [...] Read more.
Fluoride (F) contamination in deep groundwater threatens drinking water security, yet its enrichment is commonly governed by coupled nonlinear hydrogeochemical feedbacks that are difficult to resolve with linear diagnostics alone. Here, we integrate an explainable deep learning framework (HydroAttentionNet + SHAP) with thermodynamic and mass-conservative inverse modeling (PHREEQC) to quantitatively link data-driven thresholds to mineral water processes in a multi-aquifer system. Using 258 deep-well samples, we delineate a robust evolution pathway from background to ultra-high-fluoride (Ultra-High F, ≥1.5 mg/L) waters. HydroAttentionNet achieves strong predictive skill (R2 = 0.77) and reveals a clear mechanistic tipping behavior: alkalinity (HCO3/CO32−) is the primary trigger for F activation, while progressive Na+ enrichment and Ca2+ depletion act as amplifiers by suppressing a(Ca2+) and weakening fluorite precipitation capacity. PHREEQC simulations confirm a coupled “salinization–decalcification–fluoridation” loop in which (i) evaporite dissolution elevates ionic strength (salt effect) and supplies Na+ to promote Na–Ca exchange, and (ii) carbonate re-equilibration drives calcite precipitation as an efficient Ca sink, offsetting ~45.8% of Ca2+ inputs; together, these processes maintain fluorite undersaturation and sustain net fluorite dissolution, contributing 56.6% of newly added dissolved F in evolved end-members. Monte Carlo health risk assessment (10,000 iterations) indicates substantial intergenerational inequity: 67.9% of children exceed the non-carcinogenic risk threshold (HQ > 1), compared with 29.3% of adults. Sensitivity analysis identifies source-water fluoride concentration as the dominant driver (Spearman r = 0.93), implying that supply-side interventions (defluoridation, well-screen optimization, and blending with low-F sources) are substantially more effective than behavioral measures. Full article
Show Figures

Figure 1

50 pages, 13200 KB  
Article
Sand–Steel Interface Performance Using Fibre Reinforcement: Experimental and Physics-Guided Artificial Intelligence Prediction
by Rayed Almasoudi, Abolfazl Baghbani and Hossam Abuel-Naga
Sustainability 2026, 18(5), 2368; https://doi.org/10.3390/su18052368 - 28 Feb 2026
Viewed by 241
Abstract
Soil–steel interface shear governs load transfer and long-term serviceability in piles, retaining systems, and buried infrastructure; yet the large-displacement interface mechanics of fibre-reinforced sands remain poorly resolved, limiting sustainable design. This study couples large-displacement ring-shear testing with physics-guided hybrid AI to quantify and [...] Read more.
Soil–steel interface shear governs load transfer and long-term serviceability in piles, retaining systems, and buried infrastructure; yet the large-displacement interface mechanics of fibre-reinforced sands remain poorly resolved, limiting sustainable design. This study couples large-displacement ring-shear testing with physics-guided hybrid AI to quantify and predict the peak and residual resistance of sand–polypropylene fibre mixtures sliding on smooth and rough steel. Two quartz sands with contrasting particle morphology were tested under 25–200 kPa normal stress and 0–1.0% fibre content, producing a design-oriented database that captures post-peak evolution and residual states. The experiments reveal a strongly nonlinear reinforcement law: an optimum fibre range enhances dilation, stabilises the shear band, suppresses post-peak softening, and increases residual strength, whereas excessive fibres disrupt the granular skeleton and reduce mobilisation efficiency. Roughness and confinement act as amplifiers, intensifying fibre-driven dilation and asperity interlock. To translate mechanisms into prediction, three strategies were benchmarked: a deep neural network (DNN), the Physics-Guided Neural Additive Model (PG-NAM++), and the physics-anchored Residual-DNN that learns only the correction to a mechanical baseline. Residual-DNN achieved the tightest agreement and the highest physical consistency for both peak and residual strength, enabling robust parameter selection with reduced uncertainty and overdesign. The combined experimental–AI framework advances the United Nations Sustainable Development Goals (SDGs) by supporting SDG 9 through resilient, innovation-led infrastructure design and contributing to SDG 12 by enabling optimised (rather than maximal) use and reuse of reinforcement materials within circular ground-improvement practice. Full article
Show Figures

Figure 1

13 pages, 1958 KB  
Article
Functional Prediction of AT5G35460 Reveals Its Regulatory Role in Reproductive Development and Lipid Remodeling in Arabidopsis thaliana
by Muhammad Asif Shabbir, Mustansar Mubeen, Muhammad Umer, Aqleem Abbas, Amjad Ali, Sarmad Ali Qureshi, Muhammad Junaid Rao, Yasir Iftikhar, Esmael M. Alyami and Ahmed Ezzat Ahmed
Membranes 2026, 16(3), 88; https://doi.org/10.3390/membranes16030088 - 28 Feb 2026
Viewed by 311
Abstract
Membrane lipid remodeling plays a pivotal role in regulating plant growth, reproductive development, and adaptive responses to environmental stress. However, several lipid-modifying enzymes remain uncharacterized in Arabidopsis thaliana. Here, we provide the first comprehensive in silico functional characterization of the unannotated gene [...] Read more.
Membrane lipid remodeling plays a pivotal role in regulating plant growth, reproductive development, and adaptive responses to environmental stress. However, several lipid-modifying enzymes remain uncharacterized in Arabidopsis thaliana. Here, we provide the first comprehensive in silico functional characterization of the unannotated gene AT5G35460, integrating domain architecture, AlphaFold-supported structural validation, and phylogenetic, expression, and regulatory analyses. Domain architecture and conserved DUF2838 signatures, together with transmembrane topology and validation using AlphaFold-predicted structural data, support its identity as a glycerophosphocholine acyltransferase (GPCAT1). Phylogenetic reconstruction showed that GPCAT1 clustered closely with its orthologs of major angiosperms, suggesting deep evolutionary preservation. Expression profiling revealed over a tenfold higher transcript abundance in mature pollen, detected 6–8 times more than during leaf senescence, indicating strong developmental control. Co-expression network analysis revealed links to the lipid metabolism genes (CDS2, LACS8, and SBH1) as well as factors involved in response to stress, indicating that AT5G35460 may act at the level of phosphatidylcholine remodeling, membrane resistance and stress response. Analysis of the promoter sequences showed AACTAAA, ABRE and G-box elements (pollen-specific, ABA-responsive and stress-inducible motif respectively), suggesting appropriate transcriptional regulation consistent with its expression profile. As a whole, the findings revealed that AT5G35460 is an unexplored membrane-localized acyltransferase involved in lipid maintenance during reproductive development and environmental responses. This study serves as a basis for subsequent functional characterization and identifies AT5G35460 as a potential target for modifying pollen viability, senescence kinetics and stress tolerance in plants. Full article
Show Figures

Figure 1

40 pages, 18498 KB  
Article
Genetic Mechanism of Calcareous Interbeds in Shoreface Reservoirs and Implications for Hydrocarbon Accumulation: A Case Study of the Donghe Sandstone Reservoir in Hade Oilfield, Tarim Basin
by Rui Xie, Xiaoyun Lin, Shan Jiang, Kaiyu Wang, Jian Liu and Yijing Lu
Minerals 2026, 16(3), 259; https://doi.org/10.3390/min16030259 - 28 Feb 2026
Viewed by 234
Abstract
Calcareous interbeds are widely developed in marine clastic sequences, where laterally continuous, tight calcareous interbeds act as critical controls on the formation of lithologic traps and the distribution of oil. However, the genetic mechanisms and development models of these interbeds, particularly under deep-burial [...] Read more.
Calcareous interbeds are widely developed in marine clastic sequences, where laterally continuous, tight calcareous interbeds act as critical controls on the formation of lithologic traps and the distribution of oil. However, the genetic mechanisms and development models of these interbeds, particularly under deep-burial conditions subject to complex fluid interactions, remain poorly understood. Using the Donghe Sandstone in the Hade Oilfield (Tarim Basin) as a case study, this paper investigates the genetic evolution of calcareous interbeds via an integrated approach combining core observation, thin-section petrography, scanning electron microscopy (SEM), stable isotope analysis, fluid inclusion microthermometry, and heavy fraction analysis. The results indicate that: (1) The carbonate cements within the interbeds are compositionally complex, dominated by calcite but characterized by a diagnostic assemblage of anhydrite, ferroan calcite, and ankerite. (2) During the depositional to shallow burial stages, seawater evaporation and meteoric freshwater influx led to the supersaturation of calcium-rich pore waters near the surface. This facilitated the precipitation of early cement assemblages, which are predominantly of freshwater origin and consist mainly of non-ferroan calcite nodules, dolomite, and anhydrite. (3) During the deep burial stage, the injection of high-salinity brines and organic acid decarboxylation triggered Thermochemical Sulfate Reduction (TSR). This process caused the extensive consumption of the pre-existing anhydrite and the formation of authigenic pyrite, followed by the tight occlusion of remaining porosity through the precipitation of late-stage ferroan calcite and ankerite. (4) In the broad slope setting, these tight calcareous interbeds constitute effective flow barriers, resulting in a stepped distribution of the oil–water contact. Within the reservoir compartments segmented by these interbeds, crude oil maturity exhibits a distinct inversion (i.e., higher maturity below the interbeds and lower maturity above), confirming the critical sealing capacity of the interbeds during hydrocarbon accumulation. Ultimately, this study establishes a genetic model coupling calcareous interbed development with deep-burial fluid alteration, providing new geological insights for predicting subtle traps in marine sandstone reservoirs. Full article
(This article belongs to the Special Issue Advances in Carbonate Sedimentology: From Deposition to Diagenesis)
Show Figures

Figure 1

Back to TopTop