Sign in to use this feature.

Years

Between: -

Subjects

remove_circle_outline
remove_circle_outline
remove_circle_outline
remove_circle_outline
remove_circle_outline
remove_circle_outline
remove_circle_outline
remove_circle_outline

Journals

Article Types

Countries / Regions

Search Results (15)

Search Parameters:
Keywords = debris interception

Order results
Result details
Results per page
Select all
Export citation of selected articles as:
17 pages, 6612 KB  
Article
Seasonal Macroplastic Distribution and Composition: Insights from Safety Nets for Coastal Management in Recreational Waters of Zhanjiang Bay, China
by Chairunnisa Br Sembiring, Peng Zhang, Jintian Xu, Sheng Ke and Jibiao Zhang
Oceans 2025, 6(4), 64; https://doi.org/10.3390/oceans6040064 - 9 Oct 2025
Viewed by 38
Abstract
Macroplastic pollution is a growing environmental concern, threatening the marine environment. Despite growing awareness of marine plastic pollution, few studies have assessed the effectiveness of in situ technologies such as safety nets for macroplastic interception. This study aims to evaluate the effectiveness of [...] Read more.
Macroplastic pollution is a growing environmental concern, threatening the marine environment. Despite growing awareness of marine plastic pollution, few studies have assessed the effectiveness of in situ technologies such as safety nets for macroplastic interception. This study aims to evaluate the effectiveness of safety net (SN) systems in intercepting macroplastic debris in the different zones of recreational Yugang Park Beach (YPB), Zhanjiang Bay, China. Safety nets were installed at stations representing different hydrodynamic conditions, and macroplastic debris (2.5–80 cm) was collected and analyzed for size, color, and shape characteristics. Two survey comparisons revealed a higher debris density in the winter survey (1.8 ± 0.3 items m2) than in the summer survey (1.5 ± 0.3 items m2). Most debris fell within the 10–40 cm range, with transparent low-density polyethylene plastic bags being the dominant type, particularly in the winter survey (80.7%). Statistical analysis indicated that plastic size was likely related to net retention characteristics, while tidal influences accounted for a major portion of spatial variability in debris accumulation. These findings suggest that SN systems are effective tools for macroplastic interception and could inform evidence-based coastal management strategies to reduce plastic pollution in similar coastal environments. Full article
Show Figures

Figure 1

38 pages, 19489 KB  
Article
Dynamic Space Debris Removal via Deep Feature Extraction and Trajectory Prediction in Robotic Systems
by Zhuyan Zhang, Deli Zhang and Barmak Honarvar Shakibaei Asli
Robotics 2025, 14(9), 118; https://doi.org/10.3390/robotics14090118 - 28 Aug 2025
Viewed by 671
Abstract
This work introduces a comprehensive vision-based framework for autonomous space debris removal using robotic manipulators. A real-time debris detection module is built upon the YOLOv8 architecture, ensuring reliable target localization under varying illumination and occlusion conditions. Following detection, object motion states are estimated [...] Read more.
This work introduces a comprehensive vision-based framework for autonomous space debris removal using robotic manipulators. A real-time debris detection module is built upon the YOLOv8 architecture, ensuring reliable target localization under varying illumination and occlusion conditions. Following detection, object motion states are estimated through a calibrated binocular vision system coupled with a physics-based collision model. Smooth interception trajectories are generated via a particle swarm optimization strategy integrated with a 5–5–5 polynomial interpolation scheme, enabling continuous and time-optimal end-effector motions. To anticipate future arm movements, a Transformer-based sequence predictor is enhanced by replacing conventional multilayer perceptrons with Kolmogorov–Arnold networks (KANs), improving both parameter efficiency and interpretability. In practice, the Transformer+KAN model compensates the manipulator’s trajectory planner to adapt to more complex scenarios. Each component is then evaluated separately in simulation, demonstrating stable tracking performance, precise trajectory execution, and robust motion prediction for intelligent on-orbit servicing. Full article
(This article belongs to the Section AI in Robotics)
Show Figures

Figure 1

20 pages, 5129 KB  
Article
Deep Learning-Based Drone Defense System for Autonomous Detection and Mitigation of Balloon-Borne Threats
by Joosung Kim and Inwhee Joe
Electronics 2025, 14(8), 1553; https://doi.org/10.3390/electronics14081553 - 11 Apr 2025
Viewed by 2900
Abstract
In recent years, balloon-borne threats carrying hazardous or explosive materials have emerged as a novel form of asymmetric terrorism, posing serious challenges to public safety. In response to this evolving threat, this study presents an AI-driven autonomous drone defense system capable of real-time [...] Read more.
In recent years, balloon-borne threats carrying hazardous or explosive materials have emerged as a novel form of asymmetric terrorism, posing serious challenges to public safety. In response to this evolving threat, this study presents an AI-driven autonomous drone defense system capable of real-time detection, tracking, and neutralization of airborne hazards. The proposed framework integrates state-of-the-art deep learning models, including YOLO (You Only Look Once) for fast and accurate object detection, and convolutional neural networks (CNNs) for X-ray image analysis, enabling precise identification of hazardous payloads. This multi-stage system ensures safe interception and retrieval while minimizing the risk of secondary damage from debris dispersion. Moreover, a robust data collection and storage architecture supports continuous model improvement, ensuring scalability and adaptability for future counter-terrorism operations. As balloon-based threats represent a new and unconventional security risk, this research offers a practical and deployable solution. Beyond immediate applicability, the system also provides a foundational platform for the development of next-generation autonomous security infrastructures in both civilian and defense contexts. Full article
Show Figures

Figure 1

10 pages, 4383 KB  
Proceeding Paper
Landscape Aesthetics of Check Dams Based on Scenic Beauty Estimation Method and Artificial Intelligence Technology
by Hong-Ming Weng, Szu-Hsien Peng, Chun-Yi Wu and Min-Chih Liang
Eng. Proc. 2025, 91(1), 3; https://doi.org/10.3390/engproc2025091003 - 9 Apr 2025
Viewed by 545
Abstract
Check dams play a pivotal role in soil and water conservation engineering as they mitigate debris flow and decelerate the slope of the river channel by intercepting sediments, thereby preventing disasters. However, as ecological conservation and landscape integration have become significant, functions, safety, [...] Read more.
Check dams play a pivotal role in soil and water conservation engineering as they mitigate debris flow and decelerate the slope of the river channel by intercepting sediments, thereby preventing disasters. However, as ecological conservation and landscape integration have become significant, functions, safety, harmony, and aesthetics with the surroundings must be considered in the design of check dams. In this study, a questionnaire survey was conducted based on scenic beauty estimation (SBE) and image segmentation using artificial intelligence to evaluate the landscape quality of soil and water conservation projects. Data were collected from the photos which were segmented into vegetation, structure, sky, land, and water. The proportion of each segment was calculated to explore the relationship with the scenic beauty of the landscapes. Regions with prevalent vegetation and water received favorable evaluations, whereas areas with a higher proportion of land were less preferred. Even when vegetation was present in high quantities, an unorganized arrangement was less desirable. Identified key factors influencing the scenic beauty of the landscape can be considered in the design of soil and water conservation engineering projects. Full article
Show Figures

Figure 1

24 pages, 59583 KB  
Article
Proposed Solution for Stony Debris-Flow Control Works in Two Headwater Basins with Morphological Changes
by Mauro Boreggio, Matteo Barbini, Martino Bernard, Massimo Degetto and Carlo Gregoretti
GeoHazards 2024, 5(4), 1346-1369; https://doi.org/10.3390/geohazards5040064 - 18 Dec 2024
Cited by 1 | Viewed by 1156
Abstract
Stony debris flows originating from the two basins of Jaron di Sacomedan and Jaron dei Ross pose a significant threat to the inhabited area of Chiapuzza (Dolomites, Northeastern Italian Alps) and the national road SS 51. In the upper part of the Jaron [...] Read more.
Stony debris flows originating from the two basins of Jaron di Sacomedan and Jaron dei Ross pose a significant threat to the inhabited area of Chiapuzza (Dolomites, Northeastern Italian Alps) and the national road SS 51. In the upper part of the Jaron dei Ross basin, a large scree at the foot of a rocky amphitheater undergoes morphological changes due to frequent rockfalls. Previous mitigation efforts have proven inadequate, and after identifying the causes of their failure, new control measures are being planned. These works aim to direct debris flows towards a deposition area capable of intercepting flows from both the Jaron dei Ross and Jaron di Sacomedan basins. Essentially, the upper works in the Jaron dei Ross basin divert debris flows away from the populated area and channel them to a location where the sediment volume transported by debris flows from both basins can be stored. This solution is designed to protect both the Chiapuzza community and the SS51 national road. Full article
Show Figures

Figure 1

19 pages, 3723 KB  
Article
Orbital Pursuit–Evasion–Defense Linear-Quadratic Differential Game
by Zhen-Yu Li
Aerospace 2024, 11(6), 443; https://doi.org/10.3390/aerospace11060443 - 30 May 2024
Cited by 9 | Viewed by 2255
Abstract
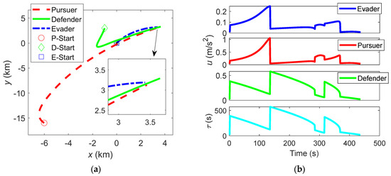
To find superior guidance strategies for preventing possible interception threats from space debris, out-of-control satellites, etc., this paper investigates an orbital pursuit–evasion–defense game problem with three players called the pursuer, the evader, and the defender, respectively. In this game, the pursuer aims to [...] Read more.
To find superior guidance strategies for preventing possible interception threats from space debris, out-of-control satellites, etc., this paper investigates an orbital pursuit–evasion–defense game problem with three players called the pursuer, the evader, and the defender, respectively. In this game, the pursuer aims to intercept the evader, while the evader tries to escape the pursuer. A defender accompanying the evader can protect the evader by actively intercepting the pursuer. For such a game, a linear-quadratic duration-adaptive (LQDA) strategy is first proposed as a basic strategy for the three players. Later, an advanced pursuit strategy is designed for the pursuer to evade the defender when they are chasing the evader. Meanwhile, a cooperative evasion–defense strategy is proposed for the evader and the defender to build their cooperation. Simulations determined that the proposed LQDA strategy has higher interception accuracy than the classic LQ strategy. Meanwhile, the proposed two-sided pursuit strategy can improve the interception performance of the pursuer against a non-cooperative defender. But if the evader and defender employ the proposed cooperation strategy, the pursuer’s interception will be much more difficult. Full article
Show Figures

Figure 1

13 pages, 4283 KB  
Article
Study on the Prevention and Control of Downhole Debris Flows Based on Disaster Chain Theory
by Xiangdong Niu, Kepeng Hou and Huafen Sun
Water 2023, 15(13), 2367; https://doi.org/10.3390/w15132367 - 27 Jun 2023
Cited by 10 | Viewed by 2080
Abstract
The occurrence of downhole debris flows in caving mines has burst, concealment, and destruction characteristics. This study aimed to investigate accurate prevention and control measures for downhole debris flows. The research background was a downhole debris flow in the Plan copper mine. The [...] Read more.
The occurrence of downhole debris flows in caving mines has burst, concealment, and destruction characteristics. This study aimed to investigate accurate prevention and control measures for downhole debris flows. The research background was a downhole debris flow in the Plan copper mine. The disaster chain theory was applied to study prevention and control methods for downhole debris flows. Using a model of source generation, chain breaking, and disaster reduction, we proposed accurate prevention and control measures for downhole debris flow disasters, which prevent and control the downhole debris flows at the source. The results showed that the disaster chain type of downhole debris flow disasters is the compound periodic cycle chain, which has the characteristics of the branch basin chain and the periodic cycle chain. Based on the chain-effect nature of disasters caused by downhole debris flows, active and passive prevention and control methods for downhole debris flow disasters were proposed. The active prevention and control measures for chain breaking and disaster reduction involve isolating the generation conditions from the source, inducing a downhole debris flow disaster. This prevention and control method is difficult to implement during the actual production process. The idea of disaster reduction through passive defensive chain breaking is based on the fact that if the three essential types of conditions for the downhole debris flow formation are not present at the same time, then a disaster accident of a downhole debris flow can be effectively prevented and controlled. Accordingly, the following measures are proposed for preventing and controlling downhole debris flows: (1) reinforcement measures applied to the slope body of the landslide material source in the collapse pit; (2) adopting comprehensive flood control measures such as locking, intercepting, dispersing, draining, and blocking under hydraulic conditions; (3) blocking the formation of the channel by adjusting the ore drawing conditions; (4) addressing the inducing factors by blasting with a small amount of explosive. According to the disaster chain theory, prevention, and control methods for downhole debris flow in caving mines were investigated in this study, which not only broadens the research of the debris flows but also fills the gap in the systematic research on downhole debris flows. Full article
(This article belongs to the Special Issue Effects of Groundwater and Surface Water on the Natural Geo-Hazards)
Show Figures

Figure 1

16 pages, 2583 KB  
Article
Control and Interception Characteristics of the Debris-Flow Flexible Net Barrier Based on Orthogonal Design
by Zhen Xiong, Xiao-Qing Chen and Jian-Gang Chen
Water 2023, 15(10), 1809; https://doi.org/10.3390/w15101809 - 9 May 2023
Viewed by 2504
Abstract
As a debris-flow control and mitigation countermeasure, flexible net barriers can effectively mitigate debris flows. The control and interception characteristics of flexible net barrier play an important role in engineering design. Many influencing factors exist in debris-flow flexible net barrier control and interception [...] Read more.
As a debris-flow control and mitigation countermeasure, flexible net barriers can effectively mitigate debris flows. The control and interception characteristics of flexible net barrier play an important role in engineering design. Many influencing factors exist in debris-flow flexible net barrier control and interception processes. In order to explore the most important factors, a flume-based experimental study was carried out by selecting the four main factors, i.e., the flume slope, debris flow bulk density, net barrier interval and relative volume. The purpose of the study is to analyze the influencing degree of the four factors. Moreover, the debris-flow interception ratio, blocking ratio, velocity reduction ratio and bulk density attenuation ratio are taken as the evaluation index. Based on the theory of orthogonal experimental design, the experiment results were analyzed in detail by range analysis and variance analysis. The research results indicated the following: in regard to the interception ratio, blocking ratio, and velocity reduction ratio, the net barrier interval exerted the most notable impact, followed by the bulk density. In regard to the bulk density attenuation ratio, the flume slope and bulk density were the first and second most important influencing factors, respectively. The form of interception ratio with maximum value was as follows: the flume slope was 9°, the net barrier interval was 18 mm, the bulk density was 21 kN/m3 and the relative volume was 2/3. The form of blocking ratio with minimum value was as follows: the flume slope was 6°, the net barrier interval was 50 mm, the bulk density was 12 kN/m3 and the relative volume was 1/2. The form of velocity reduction ratio with maximum value was as follows: the flume slope was 12°, the net barrier interval was 18 mm, the bulk density was 17 kN/m3 and the relative volume was 1. The form of bulk density attenuation ratio with maximum value was as follows: the flume slope was 12°, the net barrier interval was 30 mm, the bulk density was 17 kN/m3 and the relative volume was 1/3. Full article
(This article belongs to the Section Water Erosion and Sediment Transport)
Show Figures

Figure 1

14 pages, 1483 KB  
Article
Sediment Source Fingerprinting and Its Control Strategies of the Lakes in Jiuzhaigou World Natural Heritage Site
by Xiaoxue Shen, Ruili Li, Jie Du, Xianchenghao Jiang and Guoyu Qiu
Water 2022, 14(23), 3954; https://doi.org/10.3390/w14233954 - 5 Dec 2022
Cited by 2 | Viewed by 2691
Abstract
Reliable quantitative information regarding sediment sources is essential for target mitigation, particularly in settings with a large number of loose provenances caused by earth disasters. The lakes in the Jiuzhaigou World Natural Heritage Site (WNHS) are facing serious environmental problems of silting and [...] Read more.
Reliable quantitative information regarding sediment sources is essential for target mitigation, particularly in settings with a large number of loose provenances caused by earth disasters. The lakes in the Jiuzhaigou World Natural Heritage Site (WNHS) are facing serious environmental problems of silting and swamping, which threaten the sustainability of the area, especially after the earthquake on 8 August 2017 (the “8.8 earthquake”). Therefore, a field investigation was conducted after the “8.8 earthquake” (June 2020), and the Arrow Bamboo and Rhino Lakes, which were affected by the earthquakes to different degrees, were selected as the research objects. Based on the data of 27 environmental indicators from 31 surface sediment and soil samples in and around the lakes, the spatial distribution characteristics of the lake sediment sources were quantified using composite fingerprint recognition technology. Furthermore, a high protection standard of a WHNS and a process treatment scheme for reducing the siltation of the Jiuzhaigou lakes were proposed. The results showed that the contribution ratio of loose matter sources entering the lake on the road-side of the Arrow Bamboo and Rhino Lakes (16.5% and 21.8%, respectively) was lower than that on the forest-side (83.5% and 78.2%, respectively), indicating that physical barriers such as roads can effectively reduce the sediment input, while the lake forest side contributes a large number of loose matter sources, which has not attracted attention in the past and requires protection. High protection standards for the Jiuzhaigou WHNS are suggested. Accordingly, the entire control scheme of Jiuzhaigou lake sediment reduction including “monitoring–control–interception–buffer–cleaning” is provided. Source erosion monitoring is the first step in blocking the sediment source. Vegetation restoration and surface coverage should be conducted in areas where water and soil losses have occurred. Necessary engineering measures should be implemented to intercept loose material sources at points where geological disasters occur frequently. A buffer zone should be established between the lake and the mountain to intercept the sediment. Sediment caused by geological disasters with low interference must also be cleaned from the lake. The level of nutrients in the lake must be controlled by the regular cleaning of plant debris from the lake and lakeside. Full article
(This article belongs to the Section Water Erosion and Sediment Transport)
Show Figures

Figure 1

28 pages, 41965 KB  
Article
Comparison of Three Mixed-Effects Models for Mass Movement Susceptibility Mapping Based on Incomplete Inventory in China
by Yifei He and Yaonan Zhang
Remote Sens. 2022, 14(23), 6068; https://doi.org/10.3390/rs14236068 - 30 Nov 2022
Cited by 2 | Viewed by 3379
Abstract
Generating an unbiased inventory of mass movements is challenging, particularly in a large region such as China. However, due to the enormous threat to human life and property caused by the increasing number of mass movements, it is imperative to develop a reliable [...] Read more.
Generating an unbiased inventory of mass movements is challenging, particularly in a large region such as China. However, due to the enormous threat to human life and property caused by the increasing number of mass movements, it is imperative to develop a reliable nationwide mass movement susceptibility model to identify mass movement-prone regions and formulate appropriate disaster prevention strategies. In recent years, the mixed-effects models have shown their unique advantages in dealing with the biased mass movement inventory, yet there are no relevant studies to compare different mixed-effects models. This research compared three mixed-effects models to explore the most plausible and robust susceptibility mapping model, considering the inherently heterogeneously complete mass movement information. Based on a preliminary data analysis, eight critical factors influencing mass movements were selected as basis predictors: the slope, aspect, profile curvature, plan curvature, road density, river density, soil moisture, and lithology. Two additional factors, namely, the land use and geological environment division, representing the inventory bias were selected as random intercepts. Subsequently, three mixed-effects models—Statistical-based generalized linear mixed-effects model (GLMM), generalized additive mixed-effects model (GAMM), and machine learning-based tree-boosted mixed-effects model (TBMM)—were adopted. These models were used to evaluate the susceptibility of three distinct types of mass movements (i.e., 28,814 debris flows, 54,586 rockfalls and 108,432 landslides), respectively. The results were compared both from quantitative and qualitative perspectives. The results showed that TBMM performed best in all three cases with AUROCs (Area Under the Receiver Operating Characteristic curve) of cross-validation, spatial cross-validation, and predictions on simulated highly biased inventory, all exceeding 0.8. In addition, the spatial prediction patterns of TBMM were more in line with the natural geomorphological underlying process, indicating that TBMM can better reduce the impact of inventory bias than GLMM and GAMM. Finally, factor contribution analysis showed the key role of topographic factors in predicting the occurrence of mass movements, followed by road density and soil moisture. This study contributes to assessing China’s overall mass movement susceptibility situation and assisting policymakers in master planning for risk mitigation. Further, it demonstrates the tremendous potential of TBMM for mass movement susceptibility assessment, despite inherent biases in the inventory. Full article
Show Figures

Graphical abstract

14 pages, 4924 KB  
Article
Model Experiment Exploration of the Kinetic Dissipation Effect on the Slit Dam with Baffles Tilted in the Downstream Direction
by Yingguang Fang, Hao Liu, Lingfeng Guo and Xiaolong Li
Water 2022, 14(18), 2772; https://doi.org/10.3390/w14182772 - 6 Sep 2022
Cited by 2 | Viewed by 2227
Abstract
Slit dams can eliminate the risk of particle overload accumulation, which can be safer in controlling debris flow compared with a completely closed dam. In attempting to better use the energy dissipation effect of particle collision and reduce the impact of the dam [...] Read more.
Slit dams can eliminate the risk of particle overload accumulation, which can be safer in controlling debris flow compared with a completely closed dam. In attempting to better use the energy dissipation effect of particle collision and reduce the impact of the dam body, referring to the traditional slit dam, this paper proposed one with tilted baffles in the downstream direction. Discrete element simulation and several flume model experiments were carried out herein to verify the advantages and explore the applicable conditions of this tilted baffle slit dam, in which the particle trapping efficiency and the change law of impact force of the tilted baffles under the conditions of different inclined angles, opening sizes, and particle sizes were studied. The results show that: 1. when the inclination angle is 30° ≤ θ ≤ 45°, the tilted baffles can dissipate more particle kinetic energy than the transverse baffles; 2. the maximum impact force and trapping efficiency of the tilted baffles decrease with the increase in the width diameter ratio b/d, with the opening width b of the slit to the particle diameter d; 3. with the given particle size of 6 mm ≤ d ≤ 14 mm, the range that the tilted baffles can effectively intercept the particles flowing down is 0 ≤ b/d ≤ 4, and it reaches the ideal interception state near 1 ≤ b/d ≤ 2, where, relatively, the impact force is weak, and the interception efficiency is high. Full article
(This article belongs to the Section Hydraulics and Hydrodynamics)
Show Figures

Figure 1

18 pages, 6021 KB  
Article
A Case Study on the Energy Capacity of a Flexible Rockfall Barrier in Resisting Landslide Debris
by Lei Zhao, Lijun Zhang, Zhixiang Yu, Xin Qi, Hu Xu and Yifan Zhang
Forests 2022, 13(9), 1384; https://doi.org/10.3390/f13091384 - 30 Aug 2022
Cited by 6 | Viewed by 2891
Abstract
Landslides frequently occur in forest areas with a steep hillside, especially when severely disturbed by human activities. After sustained heavy rainfall, a landslide occurred near the Tianwan tunnel entrance of the Chongqing-Huaihua railway in China. Fortunately, the landslide debris was successfully intercepted by [...] Read more.
Landslides frequently occur in forest areas with a steep hillside, especially when severely disturbed by human activities. After sustained heavy rainfall, a landslide occurred near the Tianwan tunnel entrance of the Chongqing-Huaihua railway in China. Fortunately, the landslide debris was successfully intercepted by a flexible barrier originally installed to stop rockfalls, which is, to date, the first publicly reported case of landslide debris having been successfully intercepted by a flexible barrier without any damage, in mainland of China. A field investigation was first conducted, and then a back analysis of the landslide mobility and the interaction between the landslide and the flexible barrier was carried out. The back analysis showed that the impact energy was three-times larger than the rated energy capacity of the flexible barrier. It also showed that the elongation of the brake rings and the deflection of the flexible barrier from the numerical simulation was comparable to that from the field measurements. The fact that these brake rings were not elongated to their limit indicated that the capacity of the flexible barrier still had a surplus. Finally, to investigate the maximum energy capacity of a flexible rockfall barrier in resisting landslide debris, parametric analyses of a flexible barrier impacted by landslide debris with different impact energies and velocities were carried out using a coupled ALE-FEM modeling technique. The results showed that the flexible barrier dissipated less than 40% of the total energy of the landslide debris. With an increase of impact energy, the energy dissipation ratio of the flexible barrier decreased linearly. The maximum energy capacity of a flexible rockfall barrier in resisting landslide debris is four-times that of resisting a rockfall. Full article
(This article belongs to the Special Issue Landslides in Forests around the World: Causes and Mitigation)
Show Figures

Figure 1

20 pages, 2382 KB  
Review
Riparian Buffers as a Critical Landscape Feature: Insights for Riverscape Conservation and Policy Renovations
by Michael P. Graziano, Amanda K. Deguire and Thilina D. Surasinghe
Diversity 2022, 14(3), 172; https://doi.org/10.3390/d14030172 - 27 Feb 2022
Cited by 95 | Viewed by 17595
Abstract
Riparian zones are critical for functional integrity of riverscapes and conservation of riverscape biodiversity. The synergism of intermediate flood-induced disturbances, moist microclimates, constant nutrient influx, high productivity, and resource heterogeneity make riparian zones disproportionately rich in biodiversity. Riparian vegetation intercepts surface-runoff, filters pollutants, [...] Read more.
Riparian zones are critical for functional integrity of riverscapes and conservation of riverscape biodiversity. The synergism of intermediate flood-induced disturbances, moist microclimates, constant nutrient influx, high productivity, and resource heterogeneity make riparian zones disproportionately rich in biodiversity. Riparian vegetation intercepts surface-runoff, filters pollutants, and supplies woody debris as well as coarse particulate organic matter (e.g., leaf litter) to the stream channel. Riparian zones provide critical habitat and climatic refugia for wildlife. Numerous conservation applications have been implemented for riparian-buffer conservation. Although fixed-width buffers have been widely applied as a conservation measure, the effectiveness of these fixed buffer widths is debatable. As an alternative to fixed-width buffers, we suggest adoption of variable buffer widths, which include multiple tiers that vary in habitat structure and ecological function, with each tier subjected to variable management interventions and land-use restrictions. The riparian-buffer design we proposed can be delineated throughout the watershed, harmonizes with the riverscape concept, thus, a prudent approach to preserve biodiversity and ecosystem functions at variable spatial extents. We posit remodeling existing conservation policies to include riparian buffers into a broader conservation framework as a keystone structure of the riverscape. Watershed-scale riparian conservation is compatible with landscape-scale conservation of fluvial systems, freshwater protected-area networks, and aligns with enhancing environmental resilience to global change. Sustainable multiple-use strategies can be retrofitted into watershed-scale buffer reservations and may harmonize socio-economic goals with those of biodiversity conservation. Full article
(This article belongs to the Special Issue 2021 Feature Papers by Diversity’s Editorial Board Members)
Show Figures

Figure 1

14 pages, 4896 KB  
Article
Non-Contact Optical Detection of Foreign Materials Adhered to Color Filter and Thin-Film Transistor
by Fu-Ming Tzu, Shih-Hsien Hsu and Jung-Shun Chen
Micromachines 2022, 13(1), 101; https://doi.org/10.3390/mi13010101 - 8 Jan 2022
Cited by 3 | Viewed by 2588
Abstract
This paper describes the non-contact optical detection of debris material that adheres to the substrates of color filters (CFs) and thin-film transistors (TFTs) by area charge-coupled devices (CCDs) and laser sensors. One of the optical detections is a side-view illumination by an area [...] Read more.
This paper describes the non-contact optical detection of debris material that adheres to the substrates of color filters (CFs) and thin-film transistors (TFTs) by area charge-coupled devices (CCDs) and laser sensors. One of the optical detections is a side-view illumination by an area CCD that emits a coherency light to detect debris on the CF. In contrast to the height of the debris material, the image is acquired by transforming the geometric shape from a square to a circle. As a result, the side-view illumination from the area CCD identified the height of the debris adhered to the black matrix (BM) as well as the red, green, and blue of a CF with 95, 97, 98, and 99% accuracy compared to the golden sample. The uncertainty analysis was at 5% for the BM, 3% for the red, 2% for the green, and 1% for the blue. The other optical detection, a laser optical interception with a horizontal alignment, inspected the material foreign to the TFT. At the same time, laser sensors intercepted the debris on the TFT at a voltage of 3.5 V, which the five sets of laser optics make scanning the sample. Consequently, the scanning rate reached over 98% accuracy, and the uncertainty analysis was within 5%. Thus, both non-contact optical methods can detect debris at a 50 μm height or lower. The experiment presents a successful design for the efficient prevention of a valuable component malfunction. Full article
(This article belongs to the Special Issue Recent Advances in Thin Film Electronic Devices)
Show Figures

Figure 1

16 pages, 2487 KB  
Article
Quantifying the Economic Effects of Biogas Installations for Organic Waste from Agro-Industrial Sector
by Gabriel Cucui, Constantin Aurelian Ionescu, Ioana Raluca Goldbach, Mihaela Denisa Coman and Elena Liliana Moiceanu Marin
Sustainability 2018, 10(7), 2582; https://doi.org/10.3390/su10072582 - 23 Jul 2018
Cited by 23 | Viewed by 5856
Abstract
The evolution of the world economy, the continuous growth of human needs and industrial and technological development have led to an increased demand for energy and consumption of fossil fuels. Since fossil resources are limited, there is an urgent need for the evolution [...] Read more.
The evolution of the world economy, the continuous growth of human needs and industrial and technological development have led to an increased demand for energy and consumption of fossil fuels. Since fossil resources are limited, there is an urgent need for the evolution of current economies to achieve sustainable development (SD), supported predominantly by waste management, renewable energy production, limiting non-renewable resource consumption, sustainable development, etc. In this research, the management of waste (chicken debris and debris from meat processing/slaughter) resulting from the chicken slaughtering activities using biogas installations (BI) is shown to be a viable alternative that places the economic entity at intercept if waste recycling and the production of electricity, heat and digestate. The purpose of this research was to quantify the economic impact generated using BI, which processes organic wastes resulted from the processing flow of the meat chicken slaughterhouse. Full article
Show Figures

Figure 1

Back to TopTop