Sign in to use this feature.

Years

Between: -

Subjects

remove_circle_outline
remove_circle_outline
remove_circle_outline
remove_circle_outline
remove_circle_outline
remove_circle_outline

Journals

Article Types

Countries / Regions

Search Results (3)

Search Parameters:
Keywords = cumulative classification score matrix

Order results
Result details
Results per page
Select all
Export citation of selected articles as:
16 pages, 1300 KB  
Article
Multi-Class Segmentation and Classification of Intestinal Organoids: YOLO Stand-Alone vs. Hybrid Machine Learning Pipelines
by Luana Conte, Giorgio De Nunzio, Giuseppe Raso and Donato Cascio
Appl. Sci. 2025, 15(21), 11311; https://doi.org/10.3390/app152111311 - 22 Oct 2025
Cited by 3 | Viewed by 1157
Abstract
Background: The automated analysis of intestinal organoids in microscopy images are essential for high-throughput morphological studies, enabling precision and scalability. Traditional manual analysis is time-consuming and subject to observer bias, whereas Machine Learning (ML) approaches have recently demonstrated superior performance. Purpose: [...] Read more.
Background: The automated analysis of intestinal organoids in microscopy images are essential for high-throughput morphological studies, enabling precision and scalability. Traditional manual analysis is time-consuming and subject to observer bias, whereas Machine Learning (ML) approaches have recently demonstrated superior performance. Purpose: This study aims to evaluate YOLO (You Only Look Once) for organoid segmentation and classification, comparing its standalone performance with a hybrid pipeline that integrates DL-based feature extraction and ML classifiers. Methods: The dataset, consisting of 840 light microscopy images and over 23,000 annotated intestinal organoids, was divided into training (756 images) and validation (84 images) sets. Organoids were categorized into four morphological classes: cystic non-budding organoids (Org0), early organoids (Org1), late organoids (Org3), and Spheroids (Sph). YOLO version 10 (YOLOv10) was trained as a segmenter-classifier for the detection and classification of organoids. Performance metrics for YOLOv10 as a standalone model included Average Precision (AP), mean AP at 50% overlap (mAP50), and confusion matrix evaluated on the validation set. In the hybrid pipeline, trained YOLOv10 segmented bounding boxes, and features extracted from these regions using YOLOv10 and ResNet50 were classified with ML algorithms, including Logistic Regression, Naive Bayes, K-Nearest Neighbors (KNN), Random Forest, eXtreme Gradient Boosting (XGBoost), and Multi-Layer Perceptrons (MLP). The performance of these classifiers was assessed using the Receiver Operating Characteristic (ROC) curve and its corresponding Area Under the Curve (AUC), precision, F1 score, and confusion matrix metrics. Principal Component Analysis (PCA) was applied to reduce feature dimensionality while retaining 95% of cumulative variance. To optimize the classification results, an ensemble approach based on AUC-weighted probability fusion was implemented to combine predictions across classifiers. Results: YOLOv10 as a standalone model achieved an overall mAP50 of 0.845, with high AP across all four classes (range 0.797–0.901). In the hybrid pipeline, features extracted with ResNet50 outperformed those extracted with YOLO, with multiple classifiers achieving AUC scores ranging from 0.71 to 0.98 on the validation set. Among all classifiers, Logistic Regression emerged as the best-performing model, achieving the highest AUC scores across multiple classes (range 0.93–0.98). Feature selection using PCA did not improve classification performance. The AUC-weighted ensemble method further enhanced performance, leveraging the strengths of multiple classifiers to optimize prediction, as demonstrated by improved ROC-AUC scores across all organoid classes (range 0.92–0.98). Conclusions: This study demonstrates the effectiveness of YOLOv10 as a standalone model and the robustness of hybrid pipelines combining ResNet50 feature extraction and ML classifiers. Logistic Regression emerged as the best-performing classifier, achieving the highest ROC-AUC across multiple classes. This approach ensures reproducible, automated, and precise morphological analysis, with significant potential for high-throughput organoid studies and live imaging applications. Full article
Show Figures

Figure 1

14 pages, 399 KB  
Article
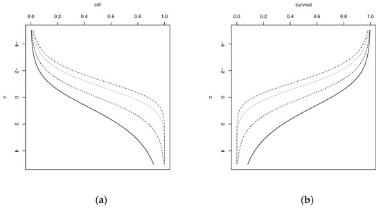
Dichotomous Proportional Hazard Regression Model: A Case Study on Students’ Dropout
by Guillermo Martínez-Flórez, Roger Tovar-Falón and Carlos Barrera-Causil
Mathematics 2024, 12(14), 2170; https://doi.org/10.3390/math12142170 - 11 Jul 2024
Cited by 1 | Viewed by 1103
Abstract
In problems involving binary classification, researchers often encounter data suitable for modeling dichotomous responses. These scenarios include medical diagnostics, where outcomes are classified as “disease” or “no disease”, and credit scoring in finance, determining whether a loan applicant is “high risk” or “low [...] Read more.
In problems involving binary classification, researchers often encounter data suitable for modeling dichotomous responses. These scenarios include medical diagnostics, where outcomes are classified as “disease” or “no disease”, and credit scoring in finance, determining whether a loan applicant is “high risk” or “low risk”. Dichotomous response models are also useful in many other areas for estimating binary responses. The logistic regression model is one option for modeling dichotomous responses; however, other statistical models may be required to improve the quality of fits. In this paper, a new regression model is proposed for cases where the response variable is dichotomous. This novel, non-linear model is derived from the cumulative distribution function of the proportional hazard distribution, and is suitable for modeling binary responses. Statistical inference is performed using a classical approach with the maximum likelihood method for the proposed model. Additionally, it is demonstrated that the introduced model has a non-singular information matrix. The results of a simulation study, along with an application to student dropout data, show the great potential of the proposed model in practical and everyday situations. Full article
Show Figures

Figure 1

26 pages, 8077 KB  
Article
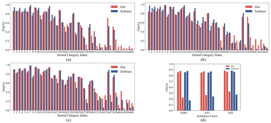
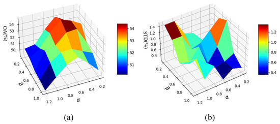
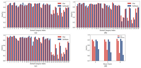
Dynamic Loss Reweighting Method Based on Cumulative Classification Scores for Long-Tailed Remote Sensing Image Classification
by Jiahang Liu, Ruilei Feng, Peng Chen, Xiaozhen Wang and Yue Ni
Remote Sens. 2023, 15(2), 394; https://doi.org/10.3390/rs15020394 - 9 Jan 2023
Cited by 22 | Viewed by 4579
Abstract
Convolutional neural networks have been widely used in remote sensing classification and achieved quite good results. Most of these methods are based on datasets with relatively balanced samples, but such ideal datasets are rare in applications. Long-tailed datasets are very common in practice, [...] Read more.
Convolutional neural networks have been widely used in remote sensing classification and achieved quite good results. Most of these methods are based on datasets with relatively balanced samples, but such ideal datasets are rare in applications. Long-tailed datasets are very common in practice, and the number of samples among categories in most datasets is often severely uneven and leads to bad results, especially in the category with a small sample number. To address this problem, a novel remote sensing image classification method based on loss reweighting for long-tailed data is proposed in this paper to improve the classification accuracy of samples from the tail categories. Firstly, abandoning the general weighting approach, the cumulative classification scores are proposed to construct category weights instead of the number of samples from each category. The cumulative classification score can effectively combine the number of samples and the difficulty of classification. Then, the imbalanced information of samples from each category contained in the relationships between the rows and columns of the cumulative classification score matrix is effectively extracted and used to construct the required classification weights for samples from different categories. Finally, the traditional cross-entropy loss function is improved and combined with the category weights generated in the previous step to construct a new loss reweighting mechanism for long-tailed data. Extensive experiments with different balance ratios are conducted on several public datasets, such as HistAerial, SIRI-WHU, NWPU-RESISC45, PatternNet, and AID, to verify the effectiveness of the proposed method. Compared with other similar methods, our method achieved higher classification accuracy and stronger robustness. Full article
(This article belongs to the Section AI Remote Sensing)
Show Figures

Figure 1

Back to TopTop