Sign in to use this feature.

Years

Between: -

Subjects

remove_circle_outline
remove_circle_outline
remove_circle_outline
remove_circle_outline
remove_circle_outline
remove_circle_outline

Journals

Article Types

Countries / Regions

Search Results (7)

Search Parameters:
Keywords = cryogenic spills

Order results
Result details
Results per page
Select all
Export citation of selected articles as:
21 pages, 497 KB  
Review
Digital Twins for Cryogenic Hydrogen Safety: Integrating Computational Fluid Dynamics and Machine Learning
by Konstantina Vogiatzaki, Giovanni Tretola and Laurie Cesmat
Hydrogen 2025, 6(4), 110; https://doi.org/10.3390/hydrogen6040110 - 1 Dec 2025
Viewed by 766
Abstract
The global transition toward low-carbon energy and transportation systems positions hydrogen as a key clean and versatile energy carrier. However, ensuring the safe handling and storage of hydrogen—particularly in its liquid form LH2)—remains a critical challenge to large-scale deployment. Accidental releases [...] Read more.
The global transition toward low-carbon energy and transportation systems positions hydrogen as a key clean and versatile energy carrier. However, ensuring the safe handling and storage of hydrogen—particularly in its liquid form LH2)—remains a critical challenge to large-scale deployment. Accidental releases of LH2 can lead to rapid dispersion, cryogenic hazards, and increased risks of ignition or detonation due to hydrogen’s low ignition energy and wide flammability limits. This review synthesizes recent advances in the understanding and modelling of LH2 safety scenarios, emphasizing the complementary roles of Computational Fluid Dynamics (CFD) and Machine Learning (ML). The paper first outlines the fundamental physical processes governing cryogenic hydrogen leaks, spills, and jet releases, followed by an overview of current storage and sensing technologies. Special consideration is given to safety implications arising from the differences between open and enclosed environments and the fact that existent sensing technologies present deficiencies at low temperatures. CFD-based studies are reviewed to illustrate how these methods capture complex flow and dispersion dynamics under diverse operational and environmental conditions, supported by a summary of existing experimental investigations used for model validation. The emerging role of ML is then examined, focusing on its integration with CFD simulations and sensor networks for predictive risk assessment, real-time leak detection, and the development of digital twins. Finally, integrated CFD–ML-sensor systems are discussed as a pathway toward a physics-informed, data-driven framework for advancing hydrogen safety and reliability. Full article
Show Figures

Figure 1

22 pages, 6790 KB  
Article
Thermal Characteristics of Epoxy Fire-Retardant Coatings under Different Fire Regimes
by Marina Gravit, Daria Shabunina and Nikita Shcheglov
Fire 2023, 6(11), 420; https://doi.org/10.3390/fire6110420 - 2 Nov 2023
Cited by 4 | Viewed by 4256
Abstract
Different systems of fire protection coatings are used to protect the metal structures of stories and trestles at oil and gas facilities from low (when filling cryogenic liquids) and high temperatures (in case of the possible development of a hydrocarbon fire regime). This [...] Read more.
Different systems of fire protection coatings are used to protect the metal structures of stories and trestles at oil and gas facilities from low (when filling cryogenic liquids) and high temperatures (in case of the possible development of a hydrocarbon fire regime). This paper presents the results of experiments of fireproof coatings on an epoxy binder after the simulation of a liquefied hydrocarbons spill and subsequent development of a hydrocarbon fire regime at the object of protection and exposure of structures to a standard fire regime. According to the experimental results, the temperatures on the samples at the end of the cryogenic exposure were determined and the time from the beginning of the thermal exposure to the limit state of the samples at a hydrocarbon and standard temperature fire regime was determined. As a result, temperature–time curves in the hydrocarbon and standard fire regimes were obtained, showing good convergence with the simulation results. The solution of the inverse task of heat conduction using finite element modeling made it possible to determine the thermophysical properties of the formed foam coke at the end of the fire tests of steel structures with intumescent coatings. It was determined that an average of 12 mm of intumescent coating thickness is required to achieve a fire protection efficiency of 120 min and for the expected impact of the hydrocarbon fire regime, the coating consumption should be increased by 1.5–2 times compared to the coating consumption for the standard regime. Full article
Show Figures

Figure 1

17 pages, 6423 KB  
Article
Experimental and Numerical Predictions of Cryogenic Leakages in Welded Steel Plates
by Dong Hyuk Kang, Le Trong Dai, Ki-Beom Park, Young-Hwan Choi, Jeong-Hyeon Kim, Seul-Kee Kim and Jae-Myung Lee
Appl. Sci. 2023, 13(5), 3132; https://doi.org/10.3390/app13053132 - 28 Feb 2023
Cited by 2 | Viewed by 2825
Abstract
This study presented experimental and numerical research to investigate the effect of cryogenic leakage on a plate structure of AH36-grade steel containing welded joints. To simulate the cryogenic leakage conditions, the welded plate was exposed to a temperature of −196 °C by supplying [...] Read more.
This study presented experimental and numerical research to investigate the effect of cryogenic leakage on a plate structure of AH36-grade steel containing welded joints. To simulate the cryogenic leakage conditions, the welded plate was exposed to a temperature of −196 °C by supplying liquid nitrogen (LN2) to the center of the steel plate. The time-dependent temperature history and strain variation were measured by using thermocouples and strain gauges attached to the plate surface. Additionally, the residual stress of the middle surface section before and after the cryogenic leakage process was measured by X-ray diffraction analysis (XRD). A three-dimensional finite element model was created with the use of a commercial finite element analysis (FEA) program to simulate the flux-cored arc welding process and cryogenic leakage process. The steel surface temperature dropped sharply and reached approximately −196 °C at 160 s after LN2 supplement. After the first 650 s of the LN2 leakage experiment, the outside of the trough reached approximately −75 °C and −25 °C, depending on the location of the thermal couples. Although there was a relative difference in the results, the experiment and numerical simulation results for temperature and stress distribution showed good agreement. The results could be utilized in the ship design stage adopting welded structures as a basic database. Full article
(This article belongs to the Special Issue Ship Structures: Design Loads and Reliability Assessment)
Show Figures

Figure 1

18 pages, 4162 KB  
Article
CFD Investigation on Movement Features of Hydrogen Bubble under Microgravity Environment
by Lei Wang, Peijie Sun, Li Yan, Shi Shangguan, Miao Qu and Yanzhong Li
Energies 2022, 15(20), 7528; https://doi.org/10.3390/en15207528 - 12 Oct 2022
Cited by 2 | Viewed by 2446
Abstract
A designed cryogenic upper stage adopted liquid hydrogen and liquid oxygen (LH2/LO2) as an aerospace propellant. During a zero-gravity coast period in space, the wall heat leakage into the delivery tube could induce liquid propellant evaporation and two-phase flow [...] Read more.
A designed cryogenic upper stage adopted liquid hydrogen and liquid oxygen (LH2/LO2) as an aerospace propellant. During a zero-gravity coast period in space, the wall heat leakage into the delivery tube could induce liquid propellant evaporation and two-phase flow phenomenon, so that a bubble discharge operation must be employed prior to engine restart. In this study, a CFD approach was utilized to numerically study the bubble discharge behaviors inside the LH2 delivery tube of the upper stage. The bubble motion properties under two different schemes, including positive acceleration effect and circulation flow operation, were analyzed and discussed. The results showed that the boiled hydrogen bubbles could increase to the size of the tube inner diameter and distribute randomly within the entire tube volume, and that, in order for the bubble to spill upward under the acceleration effect, a higher acceleration level than the needed value of acquiring liquid–vapor separation inside the propellant tank should be provided. When creating an acceleration level of 10−3 g0, most of the bubbles could spill upward within 700 s. Significantly, the bubbles could not be completely expelled in the created acceleration condition since a number of small bubbles always stagnate in the bulk liquid region. In the circulation flow operation, the gas volume reduction was mainly attributed to two mechanisms: the vapor condensation effect; and bubble discharge effect. For the case with a circulation flow rate of 0.2 kg/s, a complete bubble discharge purpose was reached within 820 s, while a large bubble stagnation in the spherical distributor occupied a remarkable proportion of the total time. In addition, both the liquid flow rate and liquid subcooling exert important effects on bubble performance. When applying a high circulation flow, the gas volume reduction is mainly due to the inertial effect of liquid flow, but the bubble stagnation in the spherical distributor still affects the total discharge time. The liquid subcooling influence on the gas volume reduction is more significant in smaller circulation flow cases. Generally, the present study provides valuable conclusions on bubble motions inside a LH2 delivery tube in microgravity, and the results could be beneficial to the sequence design of engine restart for the cryogenic upper stage. Full article
(This article belongs to the Special Issue Liquid Hydrogen Management and Application)
Show Figures

Figure 1

11 pages, 2402 KB  
Article
Structural Fire Protection of Steel Structures in Arctic Conditions
by Marina Gravit and Daria Shabunina
Buildings 2021, 11(11), 499; https://doi.org/10.3390/buildings11110499 - 22 Oct 2021
Cited by 8 | Viewed by 4550
Abstract
Most structures in the Arctic and Antarctic for oil and gas production are offshore stations, tankers, modules, steel supporting, and enclosing structures, which need to be protected against both cryogenic spills and fire exposure. Oil and gas industry facilities have products of high [...] Read more.
Most structures in the Arctic and Antarctic for oil and gas production are offshore stations, tankers, modules, steel supporting, and enclosing structures, which need to be protected against both cryogenic spills and fire exposure. Oil and gas industry facilities have products of high flammability and explosiveness, which in the case of ignition make it possible to develop a fire along the hydrocarbon curve, accompanied by a sharp jump in temperature and the formation of excessive pressure. This article discusses possible structural fire protection for metal structures in the Arctic region. Three different structural fireproofing materials are presented using super-thin basalt fiber (STBF) as an example. Tests of steel structures with fire protection are demonstrated, as a result of which the time from the beginning of cryogenic exposure to the limit state of samples is determined, and after the time from the beginning of thermal exposure to the limit state of samples under the hydrocarbon temperature regime is determined. An assessment of various flame retardants with values up to 120 min, which can be used in arctic climate conditions, was carried out. It was found that the most effective coatings are materials prepared on the basis of STBF. Full article
(This article belongs to the Collection Buildings and Fire Safety)
Show Figures

Figure 1

15 pages, 628 KB  
Article
Liquid Hydrogen Spills on Water—Risk and Consequences of Rapid Phase Transition
by Lars H. Odsæter, Hans L. Skarsvåg, Eskil Aursand, Federico Ustolin, Gunhild A. Reigstad and Nicola Paltrinieri
Energies 2021, 14(16), 4789; https://doi.org/10.3390/en14164789 - 6 Aug 2021
Cited by 20 | Viewed by 5502
Abstract
Liquid hydrogen (LH2) spills share many of the characteristics of liquefied natural gas (LNG) spills. LNG spills on water sometimes result in localized vapor explosions known as rapid phase transitions (RPTs), and are a concern in the LNG industry. LH2 [...] Read more.
Liquid hydrogen (LH2) spills share many of the characteristics of liquefied natural gas (LNG) spills. LNG spills on water sometimes result in localized vapor explosions known as rapid phase transitions (RPTs), and are a concern in the LNG industry. LH2 RPT is not well understood, and its relevance to hydrogen safety is to be determined. Based on established theory from LNG research, we present a theoretical assessment of an accidental spill of a cryogen on water, including models for pool spreading, RPT triggering, and consequence quantification. The triggering model is built upon film-boiling theory, and predicts that the mechanism for RPT is a collapse of the gas film separating the two liquids (cryogen and water). The consequence model is based on thermodynamical analysis of the physical processes following a film-boiling collapse, and is able to predict peak pressure and energy yield. The models are applied both to LNG and LH2, and the results reveal that (i) an LNG pool will be larger than an LH2 pool given similar sized constant rate spills, (ii) triggering of an LH2 RPT event as a consequence of a spill on water is very unlikely or even impossible, and (iii) the consequences of a hypothetical LH2 RPT are small compared to LNG RPT. Hence, we conclude that LH2 RPT seems to be an issue of only minor concern. Full article
(This article belongs to the Special Issue Special Issue of ESREL2020 PSAM15)
Show Figures

Graphical abstract

21 pages, 5568 KB  
Article
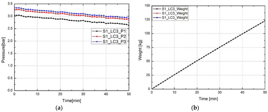
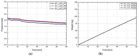
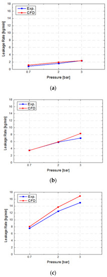
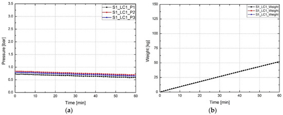
Experimental and Numerical Study of Orifice Coefficient of Cargo Tank Design of LNG Vessels
by Se-Yun Hwang, Kwang-Sik Kim, Ho-Sang Jang and Jang-Hyun Lee
Appl. Sci. 2020, 10(19), 6667; https://doi.org/10.3390/app10196667 - 23 Sep 2020
Viewed by 4213
Abstract
Liquid cargo storage tanks of liquefied natural gas (LNG) carriers are designed by strict standards to maintain the cryogenic state (−163 °C). For most LNG cargo storage tanks, it is mandatory to install a system that can safely store leaked fluid for 15 [...] Read more.
Liquid cargo storage tanks of liquefied natural gas (LNG) carriers are designed by strict standards to maintain the cryogenic state (−163 °C). For most LNG cargo storage tanks, it is mandatory to install a system that can safely store leaked fluid for 15 days in the case of leakage of liquid cargo due to crack of the insulation system. To ensure safety, it is necessary to predict the amount of LNG spilling from the cracks in the insulation panels. Although international regulations are provided, they rely on a conservative and consistent coefficient. In this study, experimental and numerical methods were applied to examine the design factor used to predict the flow rate in the tank design process. To check the amount of leakage that occurs under pressure conditions of LNG tanks, an experiment was conducted using crack specimens and pressure containers filled with water. In order to simulate the leakage of LNG, the amount of leakage was predicted using the Computational Fluid Dynamics (CFD) method. The distribution of leakage quantity was investigated according to the shape of the crack through the pressure vessel experiment and the analysis. Through CFD analysis, the leakage rate of LNG was calculated for each operating pressure condition through the crack. Finally, the results of this study examined the need to identify and reconsider the coefficients due to international guidelines and other factors in calculating orifice coefficients applied to the design of LNG tanks. Full article
(This article belongs to the Section Marine Science and Engineering)
Show Figures

Figure 1

Back to TopTop