Sign in to use this feature.

Years

Between: -

Subjects

remove_circle_outline
remove_circle_outline
remove_circle_outline
remove_circle_outline
remove_circle_outline

Journals

Article Types

Countries / Regions

Search Results (5)

Search Parameters:
Keywords = corn silk polysaccharide

Order results
Result details
Results per page
Select all
Export citation of selected articles as:
15 pages, 1441 KB  
Article
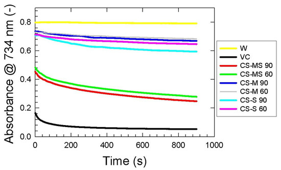
A Physicochemical Study of the Antioxidant Activity of Corn Silk Extracts
by Lubomír Lapčík, David Řepka, Barbora Lapčíková, Daniela Sumczynski, Shweta Gautam, Peng Li and Tomáš Valenta
Foods 2023, 12(11), 2159; https://doi.org/10.3390/foods12112159 - 26 May 2023
Cited by 20 | Viewed by 7341
Abstract
Corn silk (CS) extracts are reported to contain flavonoids (appx. 59.65 mg quercetin/g), polysaccharides (appx. 58.75 w.%), steroids (appx. 38.3 × 10−3 to 368.9 × 10−3 mg/mL), polyphenols (appx. 77.89 mg/GAE/g) and other functional biological substances. This study investigated the antioxidant [...] Read more.
Corn silk (CS) extracts are reported to contain flavonoids (appx. 59.65 mg quercetin/g), polysaccharides (appx. 58.75 w.%), steroids (appx. 38.3 × 10−3 to 368.9 × 10−3 mg/mL), polyphenols (appx. 77.89 mg/GAE/g) and other functional biological substances. This study investigated the antioxidant activity of corn silk extracts related to their functional compounds. The radical scavenging effect of corn silk extracts was evaluated by the spin-trapping electron paramagnetic resonance (EPR) technique, 1,1-diphenyl-2-picrylhydrazyl (DPPH), 2,2′-azino-bis(3-ethylbenzo-thiazoline-6-sulfonate) (ABTS•+) free radical measurement, ferric ion-reducing antioxidant power, and copper ion reductive capacity. It was found that the maturity stage of CS plant materials and the applied extraction procedure of their bioactive compounds have a profound effect on the radical scavenging capacity. Differences in the antioxidant activity of the studied corn silk samples based on their maturity were also confirmed. The strongest DPPH radical scavenging effect was observed for the corn silk mature stage (CS-M)stage (CS-MS) (65.20 ± 0.90)%, followed by the silky stage (CS-S) (59.33 ± 0.61)% and the milky stage (CS-M) (59.20 ± 0.92)%, respectively. In general, the final maturity stage (CS-MS) provided the most potent antioxidant effect, followed by the earliest maturity stage (CS-S) and the second maturity stage (CS-M). Full article
(This article belongs to the Section Food Physics and (Bio)Chemistry)
Show Figures

Graphical abstract

14 pages, 2021 KB  
Article
Effects of Different Amounts of Corn Silk Polysaccharide on the Structure and Function of Peanut Protein Isolate Glycosylation Products
by Xinxin Han, Yilin Zhao, Sining Mao, Nannan Hu, Dijing Sun, Qi Yang, Zejun Chu, Qihang Zheng, Lin Xiu and Jingsheng Liu
Foods 2022, 11(15), 2214; https://doi.org/10.3390/foods11152214 - 26 Jul 2022
Cited by 15 | Viewed by 3176
Abstract
Covalent complexes of peanut protein isolate (PPI) and corn silk polysaccharide (CSP) (PPI-CSP) were prepared using an ultrasonic-assisted moist heat method to improve the functional properties of peanut protein isolate. The properties of the complexes were affected by the level of corn silk [...] Read more.
Covalent complexes of peanut protein isolate (PPI) and corn silk polysaccharide (CSP) (PPI-CSP) were prepared using an ultrasonic-assisted moist heat method to improve the functional properties of peanut protein isolate. The properties of the complexes were affected by the level of corn silk polysaccharide. By increasing the polysaccharide addition, the grafting degree first increased, and then tended to be flat (the highest was 38.85%); the foaming, foam stability, and solubility were also significantly improved. In a neutral buffer, the solubility of the sample with a protein/polysaccharide ratio of 2:1 was 73.69%, which was 1.61 times higher than that of PPI. As compared with PPI, the complexes had higher thermal stability and lower surface hydrophobicity. High addition of CSP could made the secondary structure of PPI change from ordered α-helix to disordered β-sheet, β-turn, and random coil structure, and the complex conformation become more flexible and loose. The results of multiple light scattering showed that the composite solution exhibited high stability, which could be beneficial to industrial processing, storage, and transportation. Therefore, the functional properties of peanut protein isolate glycosylation products could be regulated by controlling the amount of polysaccharide added. Full article
(This article belongs to the Section Food Physics and (Bio)Chemistry)
Show Figures

Graphical abstract

13 pages, 1793 KB  
Article
Phytochemical Analysis and Characterization of Corn Silk (Zea mays, G5417)
by Jyoti Singh, Baskaran Stephen Inbaraj, Sawinder Kaur, Prasad Rasane and Vikas Nanda
Agronomy 2022, 12(4), 777; https://doi.org/10.3390/agronomy12040777 - 23 Mar 2022
Cited by 54 | Viewed by 22710
Abstract
Corn silk has long been thought of as a waste product; however, due to its numerous therapeutic attributes, it has remarkably gained popularity in Asian and African countries. Therefore, this study aimed to assess the bioactivity of dried corn silk powder (Zea [...] Read more.
Corn silk has long been thought of as a waste product; however, due to its numerous therapeutic attributes, it has remarkably gained popularity in Asian and African countries. Therefore, this study aimed to assess the bioactivity of dried corn silk powder (Zea mays, G5417) in terms of its physicochemical and bio-functional characteristics. The protein (15.29 ± 1.23) and ash (5.29 ± 0.29) contents in the corn silk powder were found to be high. The high phenolic content (94.10 ± 0.26 mg GAE/g) and flavonoid content (163.93 ± 0.83 mg QE/100 g) are responsible for its high antioxidant activity. The corn silk powder showed 45.40 ± 0.92% FRSA, 75.25 ± 0.59 TEAC mg/gdw of ABTS, and 86.77 ± 0.88% of FRAP. FT-IR spectroscopy revealed stretching, bending, and vibrations of abundantly present polysaccharides and protein functional groups. Moreover, the DSC thermograph revealed the exothermic reactions at on-set temperature (Tonset) = 21.9 °C and end temperature (Tendset) = 102.80 °C, and exothermic reactions at on-set temperature (Tonset) = 252.02 °C, end temperature (Tendset) = 296.80 °C, and denaturation peak temperature (Tpeak) = 277.48 °C, whereas XRD (2θ = 21.5°) confirmed the amorphous nature of the corn silk powder. Therefore, due to the potential bioactivity and thermal stability, dry corn silk powder can be scaled up at an industrial level. Full article
(This article belongs to the Special Issue Bioactivity of Natural Products from Raw Horticultural Crops)
Show Figures

Figure 1

14 pages, 941 KB  
Article
Use of Corn Silk Meal in Broiler Diet: Effect on Growth Performance, Blood Biochemistry, Immunological Responses, and Growth-Related Gene Expression
by Abeer A. Kirrella, Safaa E. Abdo, Karima El-Naggar, Mohamed Mohamed Soliman, Salama Mostafa Aboelenin, Mahmoud A. O. Dawood and Ahmed A. Saleh
Animals 2021, 11(4), 1170; https://doi.org/10.3390/ani11041170 - 19 Apr 2021
Cited by 32 | Viewed by 4713
Abstract
The objective of this study was to examine the effects of diets supplemented with corn silk meal (CSM) and non-starch polysaccharide (NSP) enzyme on growth performance, blood biochemistry, immunological response, and growth-related gene expression in broiler chickens. A total of 270 broiler chickens [...] Read more.
The objective of this study was to examine the effects of diets supplemented with corn silk meal (CSM) and non-starch polysaccharide (NSP) enzyme on growth performance, blood biochemistry, immunological response, and growth-related gene expression in broiler chickens. A total of 270 broiler chickens were divided into six experimental groups: (1) basal diets (BD) as control; (2) BD supplemented with 0.5 g/kg feed NSP enzyme; the other four groups are CSM diets as following; (3) and (4) fed diet contain 40 and 80 kg/ton of CSM; (5) and (6) fed diet contain 40 and 80 kg/ton CSM and supplemented with 0.5 g/kg NSP enzyme. Body weight gain (BWG), feed conversion ratio (FCR), protein retention and fiber digestibility were synergistically improved (p < 0.05) when fed CSM supplemented with NSP enzyme. Moreover, a synergistic decrease (p < 0.05) in the serum glucose and total cholesterol were found. Immune organ weights and Newcastle disease virus titers were increased with CSM diets. Interestingly, the relative mRNAs of the growth hormone receptor (GHR) and insulin growth factor (IGF) were increased (p < 0.05) with the CSM and NSP enzyme: the relative mRNA expressions of cholecystokinin (CCK) and leptin were decreased by feeding CSM diets with the NSP enzyme. It could be concluded that the dietary inclusion of CSM with the NSP enzyme might improve growth performance, modify plasma lipids, and enhance immune response in broilers. Full article
Show Figures

Figure 1

20 pages, 2032 KB  
Review
Protein Polymer-Based Nanoparticles: Fabrication and Medical Applications
by Kelsey DeFrates, Theodore Markiewicz, Pamela Gallo, Aaron Rack, Aubrie Weyhmiller, Brandon Jarmusik and Xiao Hu
Int. J. Mol. Sci. 2018, 19(6), 1717; https://doi.org/10.3390/ijms19061717 - 9 Jun 2018
Cited by 233 | Viewed by 15189
Abstract
Nanoparticles are particles that range in size from about 1–1000 nanometers in diameter, about one thousand times smaller than the average cell in a human body. Their small size, flexible fabrication, and high surface-area-to-volume ratio make them ideal systems for drug delivery. Nanoparticles [...] Read more.
Nanoparticles are particles that range in size from about 1–1000 nanometers in diameter, about one thousand times smaller than the average cell in a human body. Their small size, flexible fabrication, and high surface-area-to-volume ratio make them ideal systems for drug delivery. Nanoparticles can be made from a variety of materials including metals, polysaccharides, and proteins. Biological protein-based nanoparticles such as silk, keratin, collagen, elastin, corn zein, and soy protein-based nanoparticles are advantageous in having biodegradability, bioavailability, and relatively low cost. Many protein nanoparticles are easy to process and can be modified to achieve desired specifications such as size, morphology, and weight. Protein nanoparticles are used in a variety of settings and are replacing many materials that are not biocompatible and have a negative impact on the environment. Here we attempt to review the literature pertaining to protein-based nanoparticles with a focus on their application in drug delivery and biomedical fields. Additional detail on governing nanoparticle parameters, specific protein nanoparticle applications, and fabrication methods are also provided. Full article
(This article belongs to the Special Issue Nanotechnology in Drug Delivery)
Show Figures

Figure 1

Back to TopTop