Sign in to use this feature.

Years

Between: -

Subjects

remove_circle_outline
remove_circle_outline
remove_circle_outline
remove_circle_outline
remove_circle_outline

Journals

Article Types

Countries / Regions

Search Results (5)

Search Parameters:
Keywords = conical swirl atomizer

Order results
Result details
Results per page
Select all
Export citation of selected articles as:
29 pages, 11983 KB  
Review
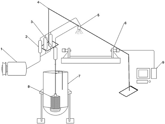
Computational and Experimental Studies on the Behavior of Sprays with Different Orifice Characteristics and Fuel Properties of Biodiesel Crude Palm Oil (CPO) on a Premix Injector—A Comprehensive Review
by Djamal Hissein Didane, Ronny Yii Shi Chin and Amir Khalid
Processes 2024, 12(12), 2907; https://doi.org/10.3390/pr12122907 - 19 Dec 2024
Cited by 1 | Viewed by 1472
Abstract
Large-scale industrial burners are essential components in various industries including power generation and chemical processing. Enhancing their energy efficiency and reducing emissions, particularly nitrogen oxides (NOx), requires a combination of experimental research and computational fluid dynamics (CFD) simulations. While there exist numerous emission [...] Read more.
Large-scale industrial burners are essential components in various industries including power generation and chemical processing. Enhancing their energy efficiency and reducing emissions, particularly nitrogen oxides (NOx), requires a combination of experimental research and computational fluid dynamics (CFD) simulations. While there exist numerous emission control techniques, the main focus of the present review study was the passive control technique. The result of this review indicates that biodiesel fuel crude palm oil (CPO) was found to reduce emission components, particularly carbon components and particulate matter (PM). Moreover, it also mitigates cavitation within the injector’s orifice, reducing wear and tear. Although cavitation enhances spray atomization and creates finer droplets for improved combustion, it can damage injector orifices. Optimizing the orifice design, such as by adopting conical orifices over cylindrical ones, can significantly reduce cavitation and its adverse effects. Furthermore, innovations such as swirling fuel–air premixing within injectors enhance combustion efficiency and lower emissions by improving fuel–air mixing. However, spray characteristics, particularly the Sauter mean diameter (SMD), remain critical for predicting combustion performance. Further investigations into spray fineness and its impact on combustion dynamics are essential for advancing emission control and performance optimization. Full article
Show Figures

Figure 1

13 pages, 7541 KB  
Article
CFD Modeling of Primary Breakup in an EIGA Atomizer for Titanium Alloy Powder Production
by Kuaikuai Guo, Changsheng Liu, Wei Chen, Chang Luo and Jianzhong Li
Materials 2023, 16(17), 5900; https://doi.org/10.3390/ma16175900 - 29 Aug 2023
Viewed by 2063
Abstract
Electrode induction melting gas atomization (EIGA) technology is a commonly used and effective method for producing spherical metal powders in additive manufacturing. In this paper, we aim to describe the atomization and fragmentation of liquid sheets from a typical swirl nozzle and highlight [...] Read more.
Electrode induction melting gas atomization (EIGA) technology is a commonly used and effective method for producing spherical metal powders in additive manufacturing. In this paper, we aim to describe the atomization and fragmentation of liquid sheets from a typical swirl nozzle and highlight the primary breakup of titanium alloy powder production. We developed a computational fluid dynamics (CFD) approach to simulate the primary disintegration process of the molten metal using the volume of fluid (VOF) method coupled with the large eddy simulation turbulence model (LES). Our numerical results show that high-speed spraying creates supersonic airflow in the atomization chamber. Recirculation is the main area where primary atomization occurs. The formation of the recirculation zone is the direct driving force that allows atomization to proceed, which will increase turbulence intensity and achieve higher atomization efficiency. VOF-LES simulation can capture some qualitative results such as conical melt-sheet shape, wave formation, ligament formation, and perforation formation. The primary droplet size mainly ranges between 200 and 800 μm. Finally, with increasing gas pressure, the particle size of the atomized powder gradually decreases, and the particle size distribution becomes narrower. Full article
(This article belongs to the Section Materials Simulation and Design)
Show Figures

Figure 1

17 pages, 6378 KB  
Article
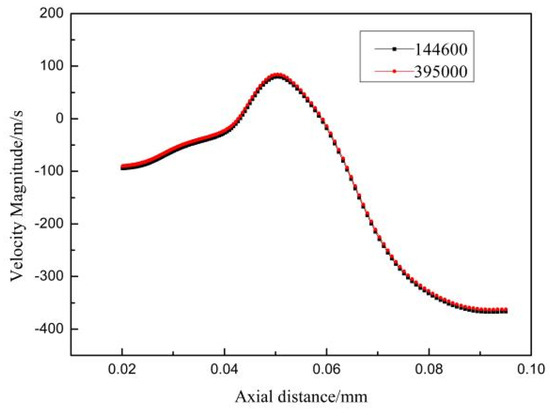
Conical Two-Phase Swirl Flow Atomizers—Numerical and Experimental Study
by Marek Ochowiak, Daniel Janecki, Andżelika Krupińska, Sylwia Włodarczak, Tomasz Wilk and Radosław Olszewski
Energies 2021, 14(6), 1745; https://doi.org/10.3390/en14061745 - 21 Mar 2021
Cited by 4 | Viewed by 2412
Abstract
This paper presents the results of numerical simulations for the developed and discussed conical two-phase atomizers with swirl flow, differing in the ratio of the height of the swirl chamber to its diameter. Experiments were carried out for SAN-1 with HS/ [...] Read more.
This paper presents the results of numerical simulations for the developed and discussed conical two-phase atomizers with swirl flow, differing in the ratio of the height of the swirl chamber to its diameter. Experiments were carried out for SAN-1 with HS/DS = 1 and SAN-2 with HS/DS = 4 atomizers. The study was conducted over a range of Reynolds number for liquid ReL = (1400; 5650) and for gas ReG = (2970; 9900). Numerical calculations were performed with the use of computational fluid dynamics (CFD), which were verified on the basis of experimental data. Based on the analysis of experimental studies and simulations results the influence of operational parameters and changes of the atomizer geometry on the generated spray was demonstrated. As the gas flow rate increased and the swirl chamber height decreased, the spray angle increased. Higher velocity values of the liquid and greater turbulence occur in the center of the spray. The flow inside the atomizer determines the nature of the spray obtained. The geometry of the swirl chamber influences the air core formed inside the atomizer, and this determines the atomization effect. The results of numerical simulations not only confirm the results of experimental studies, but also provide additional information on internal and external fluid flow. Full article
(This article belongs to the Special Issue Computational Heat Transfer and Fluid Mechanics)
Show Figures

Figure 1

14 pages, 3598 KB  
Article
Effect of Rheological Properties of Aqueous Solution of Na-CMC on Spray Angle for Conical Pressure-Swirl Atomizers
by Krystian Czernek, Marek Ochowiak and Sylwia Włodarczak
Energies 2020, 13(23), 6309; https://doi.org/10.3390/en13236309 - 30 Nov 2020
Cited by 8 | Viewed by 2515
Abstract
Aerosol is a multiphase system, created as a result of the dispersion of a liquid in a gaseous medium. The atomized liquids are most often water and fuel; however, they can be any other substance. Even a small addition of a substance that [...] Read more.
Aerosol is a multiphase system, created as a result of the dispersion of a liquid in a gaseous medium. The atomized liquids are most often water and fuel; however, they can be any other substance. Even a small addition of a substance that changes the rheological properties (i.e., the nature of the flow) can change the properties of the resulting aerosol. The most important parameters that characterize the aerosol are the outflow rate, the droplet diameter, the spray spectrum, and the spray angle. The latter is important when selecting atomizers, especially those working in groups on the sprayer boom. The spray angle is an important parameter of the atomization process, providing a great deal of information about the quality of the spray. This study presents the results of rheological tests and the atomization of aqueous solutions with varying concentrations of sodium carboxymethylcellulose (Na-CMC). We found that the spray angle decreased with increasing Na-CMC concentration in the solution, which is attributable to an increase in shear viscosity. The design of the atomizer is also important. The largest spray angles were obtained for an atomizer with a diameter of 0.02 m and with the inlet port being placed at an angle to the atomizer axis. Based on the experimental results for various liquids and atomizer designs, a correlation equation describing the spray angle is proposed. Full article
(This article belongs to the Special Issue Multiphase Flows)
Show Figures

Figure 1

15 pages, 3071 KB  
Article
The Two-Phase Conical Swirl Atomizers: Spray Characteristics
by Marek Ochowiak, Andżelika Krupińska, Sylwia Włodarczak, Magdalena Matuszak, Małgorzata Markowska, Marcin Janczarek and Tomasz Szulc
Energies 2020, 13(13), 3416; https://doi.org/10.3390/en13133416 - 2 Jul 2020
Cited by 14 | Viewed by 3097
Abstract
This paper presents the results of experimental studies on two-phase conical swirl atomizers. The impact of various atomizer geometries and different operational parameters of the atomization process on the spray characteristics was investigated. The influence of the mixing chamber height HS to [...] Read more.
This paper presents the results of experimental studies on two-phase conical swirl atomizers. The impact of various atomizer geometries and different operational parameters of the atomization process on the spray characteristics was investigated. The influence of the mixing chamber height HS to diameter DS ratio and the volumetric flow rates of liquid and gas on the discharge coefficient values, spray angle, droplet size expressed by Sauter mean diameter D32, volumetric and radial distributions of droplet diameters in the spray stream were determined. The analysis of results showed that the discharge coefficient values depend on the Reynolds number for liquid and gas and the atomizer geometry. The spray angle increases as the flow rate of liquid and gas increases depending on the applied atomizer construction. The Sauter mean diameter value is correlated with the geometric dimensions of the atomizer swirl chamber. The rapid increase in D32 occurs after exceeding the value HS/DS 3. The Sauter mean diameter also depends on the operating parameters. A central area of stream is filled with smaller sized droplets as the gas flow rate increases. Full article
Show Figures

Figure 1

Back to TopTop