Sign in to use this feature.

Years

Between: -

Subjects

remove_circle_outline
remove_circle_outline
remove_circle_outline
remove_circle_outline
remove_circle_outline
remove_circle_outline
remove_circle_outline
remove_circle_outline

Journals

Article Types

Countries / Regions

Search Results (41)

Search Parameters:
Keywords = coalification

Order results
Result details
Results per page
Select all
Export citation of selected articles as:
16 pages, 1604 KB  
Article
Microhardness and Coalification Parameters as Sensitive Indicators of Tectonic Deformation in Coal Seams: A Case Study
by Katarzyna Godyń
Appl. Sci. 2025, 15(24), 12972; https://doi.org/10.3390/app152412972 - 9 Dec 2025
Viewed by 191
Abstract
The formation of hard coal seams is the outcome of multi-stage, complex transformations of organic matter that lead to an increase in carbon content, a decrease in volatile components, and a progressive evolution of the rock’s structure and texture. Diagenetic and metamorphic processes, [...] Read more.
The formation of hard coal seams is the outcome of multi-stage, complex transformations of organic matter that lead to an increase in carbon content, a decrease in volatile components, and a progressive evolution of the rock’s structure and texture. Diagenetic and metamorphic processes, which underpin coal formation, largely determine its petrographic and geochemical characteristics, but they are not the only factors controlling the final properties of coal. An equally important role is played by the tectonic history of the region in which the coal seams occur. In this study, we carried out an integrated analysis of coal rank, based on vitrinite reflectance measurements (R0), and mechanical properties, using Vickers microhardness tests (Hv). Coal samples were collected from both sides of a fault plane within a single seam. The results show that the presence of the fault is clearly reflected in the measured parameters. Vitrinite reflectance generally increases towards the fault zone, but in the immediate vicinity of the fault, it exhibits a slight decrease. Subtle yet systematic changes are also observed in microhardness, particularly in the Hv values. The results show that vitrinite reflectance (R0) and microhardness (Hv) vary in a very similar manner—both parameters decrease as the degree of structural degradation of coal increases within the fault zone. This consistent response of R0 and Hv to local structural damage suggests that they may serve as sensitive indicators of the presence and extent of influence of small-scale tectonic dislocations. Their combined application provides additional information on the potential occurrence of a fault and on the degree of structural disturbance of coal in its vicinity. Full article
(This article belongs to the Section Earth Sciences)
Show Figures

Figure 1

17 pages, 4253 KB  
Article
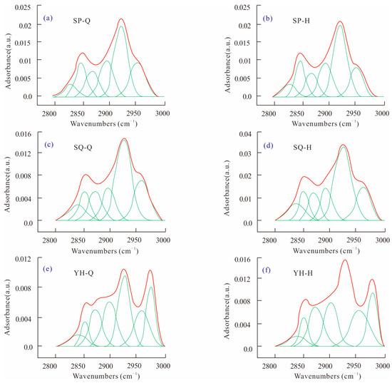
Effects of High-Pressure Water Injection on Surface Functional Groups and Wettability in Different Rank Coals: Implications for Hydraulic Fracturing in CBM Wells
by Yanjun Meng, Jiawei Liu, Kunjie Li, Wei Li, Xinlu Yan and Huimin Hu
Processes 2025, 13(11), 3718; https://doi.org/10.3390/pr13113718 - 18 Nov 2025
Viewed by 348
Abstract
Hydraulic fracturing is a widely used stimulation technology in coalbed methane (CBM) fields. However, the coal reservoir damage caused by high-pressure hydraulic fracturing seriously affects the production effects, and the mechanism is not clear. Therefore, based on high-pressure water injection (HPWI), Fourier transform [...] Read more.
Hydraulic fracturing is a widely used stimulation technology in coalbed methane (CBM) fields. However, the coal reservoir damage caused by high-pressure hydraulic fracturing seriously affects the production effects, and the mechanism is not clear. Therefore, based on high-pressure water injection (HPWI), Fourier transform infrared spectroscopy (FTIR), and contact angle tests, the effects of HPWI on surface chemical properties and wettability of different rank coals were studied. The FTIR results show that surface functional groups of different rank coals have changed to varying degrees after HPWI. After HPWI, the content of Ash in Shaqu and Yonghong coal decreases by 2.29% and 27.91%, while it increases by 297.87% in Shaping coal. The C–O bond content in Shaping and Yonghong coal decreases by 6.32% and 15.19%, while the C–O bond content in Shaqu coal increases by 50.96%. The content of C=O in Shaping and Yonghong coal increases by 2.44% and 27.84%, respectively. The R2CH2 contents increase by 19.75% and 12.5% in Shaping and Shaqu coal, while decreasing by 6.48% in Yonghong coal. The RCH3 content increases by 21.11% in Yonghong coal, while it decreases by 19.09% and 24.01% in Shaping and Shaqu coal. The content of cyclic associated hydroxy–hydrogen bond decreases by 41.25%, 63.92% and 65.86% in Shaping, Shaqu, and Yonghong coals, and the content of free hydroxyl group increases by 57.92%, 58.42%, and 93.71%. The farc of coal remains almost unchanged, the DOC increases by 20.21%, 126.77% and 0.24% in Shaping, Shaqu, and Yonghong coals, and the I decreases by 16.67% and 51.46% in Shaping and Yonghong coals, indicating that the ordering of coal becomes better, and the content of methylene carbon in the form of long straight chain increases after HPWI. The complexity and differences of changes in functional groups are mainly due to differences in coal structures caused by coalification. The contact angle tests show that the wetting contact angle of different rank coals decreased by 2.30% to 14.50%, revealing that the hydrophilicity of coals increases after HPWI. The decline rate of wetting angles in medium and high-rank coals was significantly higher than that of low-rank coal. This phenomenon discovered that the increase in hydrophilic functional groups caused by HPWI action leads to an increase in the hydrophilicity of coal samples, which is not conducive to the drainage efficiency in CBM development. Full article
Show Figures

Figure 1

23 pages, 5400 KB  
Article
Quantitative Analysis of Multi-Angle Correlation Between Fractal Dimension of Anthracite Surface and Its Coal Quality Indicators in Different Regions
by Shoule Zhao and Dun Wu
Fractal Fract. 2025, 9(8), 538; https://doi.org/10.3390/fractalfract9080538 - 15 Aug 2025
Cited by 1 | Viewed by 868
Abstract
The nanoporous structure of coal is crucial for the occurrence and development of coalbed methane (CBM). This study, leveraging the combined characterization of atomic force microscopy (AFM) and Gwyddion software (v2.62), investigated six anthracite samples with varying degrees of metamorphism (Ro = [...] Read more.
The nanoporous structure of coal is crucial for the occurrence and development of coalbed methane (CBM). This study, leveraging the combined characterization of atomic force microscopy (AFM) and Gwyddion software (v2.62), investigated six anthracite samples with varying degrees of metamorphism (Ro = 2.11–3.36%). It revealed the intrinsic relationships between their nanoporous structures, surface morphologies, fractal characteristics, and coalification processes. The research found that as Ro increases, the surface relief of coal decreases significantly, with pore structures evolving from being macropore-dominated to micropore-enriched, and the surface tending towards smoothness. Surface roughness parameters (Ra, Rq) exhibit a negative correlation with Ro. Quantitative data indicate that area porosity, pore count, and shape factor positively correlate with metamorphic grade, while mean pore diameter negatively correlates with it. The fractal dimensions calculated using the variance partition method, cube-counting method, triangular prism measurement method, and power spectrum method all show nonlinear correlations with Ro, moisture (Mad), ash content (Aad), and volatile matter (Vdaf). Among these, the fractal dimension obtained by the triangular prism measurement method has the highest correlation with Ro, Aad, and Vdaf, while the variance partition method shows the highest correlation with Mad. This study clarifies the regulatory mechanisms of coalification on the evolution of nanoporous structures and surface properties, providing a crucial theoretical foundation for the precise evaluation and efficient exploitation strategies of CBM reservoirs. Full article
(This article belongs to the Special Issue Applications of Fractal Dimensions in Rock Mechanics and Geomechanics)
Show Figures

Figure 1

22 pages, 5737 KB  
Article
Geophysical Log Responses and Predictive Modeling of Coal Quality in the Shanxi Formation, Northern Jiangsu, China
by Xuejuan Song, Meng Wu, Nong Zhang, Yong Qin, Yang Yu, Yaqun Ren and Hao Ma
Appl. Sci. 2025, 15(13), 7338; https://doi.org/10.3390/app15137338 - 30 Jun 2025
Viewed by 1004
Abstract
Traditional coal quality assessment methods rely exclusively on the laboratory testing of physical samples, which impedes detailed stratigraphic evaluation and limits the integration of intelligent precision mining technologies. To resolve this challenge, this study investigates geophysical logging as an innovative method for coal [...] Read more.
Traditional coal quality assessment methods rely exclusively on the laboratory testing of physical samples, which impedes detailed stratigraphic evaluation and limits the integration of intelligent precision mining technologies. To resolve this challenge, this study investigates geophysical logging as an innovative method for coal quality prediction. By integrating scanning electron microscopy (SEM), X-ray analysis, and optical microscopy with interdisciplinary methodologies spanning mathematics, mineralogy, and applied geophysics, this research analyzes the coal quality and mineral composition of the Shanxi Formation coal seams in northern Jiangsu, China. A predictive model linking geophysical logging responses to coal quality parameters was established to delineate relationships between subsurface geophysical data and material properties. The results demonstrate that the Shanxi Formation coals are gas coal (a medium-metamorphic bituminous subclass) characterized by low sulfur content, low ash yield, low fixed carbon, high volatile matter, and high calorific value. Mineralogical analysis identifies calcite, pyrite, and clay minerals as the dominant constituents. Pyrite occurs in diverse microscopic forms, including euhedral and semi-euhedral fine grains, fissure-filling aggregates, irregular blocky structures, framboidal clusters, and disseminated particles. Systematic relationships were observed between logging parameters and coal quality: moisture, ash content, and volatile matter exhibit an initial decrease, followed by an increase with rising apparent resistivity (LLD) and bulk density (DEN). Conversely, fixed carbon and calorific value display an inverse trend, peaking at intermediate LLD/DEN values before declining. Total sulfur increases with density up to a threshold before decreasing, while showing a concave upward relationship with resistivity. Negative correlations exist between moisture, fixed carbon, calorific value lateral resistivity (LLS), natural gamma (GR), short-spaced gamma-gamma (SSGG), and acoustic transit time (AC). In contrast, ash yield, volatile matter, and total sulfur correlate positively with these logging parameters. These trends are governed by coalification processes, lithotype composition, reservoir physical properties, and the types and mass fractions of minerals. Validation through independent two-sample t-tests confirms the feasibility of the neural network model for predicting coal quality parameters from geophysical logging data. The predictive model provides technical and theoretical support for advancing intelligent coal mining practices and optimizing efficiency in coal chemical industries, enabling real-time subsurface characterization to facilitate precision resource extraction. Full article
Show Figures

Figure 1

23 pages, 3609 KB  
Article
Structural Characterization of Low-Rank Coals in the Ningdong Coalfield Under the Control of the First Coalification Jump
by Xiaoyan Ji, Caifang Wu, Bin Gao, Xuezhong Lu, Bei Wang, Yongping Liang, Xiaowu Zhang and Zhifeng Zhang
Processes 2025, 13(7), 1996; https://doi.org/10.3390/pr13071996 - 24 Jun 2025
Cited by 1 | Viewed by 597
Abstract
The first coalification jump (FCJ) has a significant effect on changes in the microstructural properties of coal and plays a crucial role in understanding the efficient utilization of low-rank coal. One lignite (QSY-2), two subbituminous (MHJ-10 and YCW-2), and three high-volatile A-grade bituminous [...] Read more.
The first coalification jump (FCJ) has a significant effect on changes in the microstructural properties of coal and plays a crucial role in understanding the efficient utilization of low-rank coal. One lignite (QSY-2), two subbituminous (MHJ-10 and YCW-2), and three high-volatile A-grade bituminous coals (YX-12, JF-18, and HY-5) from the Ningdong coalfield were selected for research, avoiding the influence of regional geology. The evolution characteristics of the microstructures before and after the FCJ were investigated via spectroscopic experiments. The complex and unstable molecular structure of low-rank coal gradually decomposes and polymerizes at 350 °C. The aliphatic structure shows a V-shaped change trend as metamorphism increases. The inflection point is around an Ro of 0.6%. Demethylation and polymerization occur simultaneously during the FCJ. The reconnection of benzene substances with the aromatic ring increases the density of aromatic rings in the YCW-2 sample, significantly enhancing its aromaticity. The removal of oxygen-containing functional groups, especially methoxy and carbonyl groups, provides the possibility for the formation of CH4 and CO2 during the metamorphosis of lignite to subbituminous coal. Furthermore, high temperatures result in a loss of moisture content during the FCJ, which is the primary factor leading to a reduction in the hydroxyl content in coal. The selected samples are primarily composed of organic matter, with low levels of heteroatoms in the coal. It is preliminarily determined that coalification is not significantly affected. This study provides a theoretical foundation for investigating the molecular structure evolution of low-rank coal during the FCJ. Full article
Show Figures

Figure 1

16 pages, 1024 KB  
Article
Substrate Composition Effects on the Microbial Enhancement of Biogenic Methane Production from Coal
by Liu Zhu, Wangjie Diao, Chenyao Gong, Haihan Wang, Peilin Zhu and Yi Liu
Sustainability 2025, 17(11), 4953; https://doi.org/10.3390/su17114953 - 28 May 2025
Viewed by 943
Abstract
The conversion of coal to biomethane is an environmentally friendly and sustainable method of coal utilization, and algae is a nutrient additive that enhances the economic sustainability of coal-to-biomethane production. The key regulatory factors and interaction mechanism of methane production were studied by [...] Read more.
The conversion of coal to biomethane is an environmentally friendly and sustainable method of coal utilization, and algae is a nutrient additive that enhances the economic sustainability of coal-to-biomethane production. The key regulatory factors and interaction mechanism of methane production were studied by carrying out anaerobic fermentation experiments on coal and microorganisms. Spearman correlation analysis, multiple linear regression, random forest and principal component analysis (PCA) were used to evaluate the effects of 14 coal-quality and microorganism composition parameters on methane production. The results showed that the hemicellulose content of microorganisms was significantly positively correlated with methane production, while total sugar and total fat significantly reduced the gas production. The protein content of microorganisms in a reasonable range could promote methane production. Among the coal-quality parameters, the C/H ratio (β = 0.43) and dry volatile matter (β = 0.17) had a weak positive contribution to methane production, while a high carbonization degree (C% > 80%; vitrinite reflectance > 1.2%) significantly inhibited the fermentation activity. The higher the maturity of the coal, the lower the methane production. The optimal methanogenic performance was concentrated in the combination of a low degree of coalification in coal (PC1 < −1.5) and high hemicellulose in microorganisms (PC2 > 1.8). In this study, a process optimization strategy was put forward, and the combination of low-rank coal with vitrinite reflectance < 0.5%, volatile matter > 35%, microorganisms with hemicellulose > 4.5%, and total sugar < 20% was optimized in an anaerobic fermentation experiment of coal and microorganisms. The results provide theoretical support for the directional control of anaerobic digestion of coal enhanced by microorganisms. Full article
Show Figures

Graphical abstract

22 pages, 4845 KB  
Article
Multifractal Characterization of Pore Structure of Coals Using Gas Adsorption Experiment and Mercury Intrusion Porosimetry (MIP)
by Shuaidong Wang, Fengyin Chen, Shenghui Yue, Jing Hu, Hongrui Ding and Anhuai Lu
Fractal Fract. 2025, 9(3), 183; https://doi.org/10.3390/fractalfract9030183 - 16 Mar 2025
Cited by 5 | Viewed by 1175
Abstract
Efficient and safe extraction of coalbed methane is essential for reshaping China’s energy composition. This study integrates CO2 adsorption, N2 adsorption, and corrected mercury intrusion porosimetry (MIP) data to analyze the full pore size distribution (PSD) of six coal samples from [...] Read more.
Efficient and safe extraction of coalbed methane is essential for reshaping China’s energy composition. This study integrates CO2 adsorption, N2 adsorption, and corrected mercury intrusion porosimetry (MIP) data to analyze the full pore size distribution (PSD) of six coal samples from the Qinshui and Tiefa Basins. By applying multifractal theory, we identified key heterogeneity features across different coal ranks, followed by a discussion of the factors influencing these parameters. The results indicate the following: (1) Coal matrix compressibility significantly impacts MIP results when mercury intrusion pressure exceeds 10 MPa, with corrected mesopore and macropore volume reductions ranging from 59.85–96.31% and 3.11–15.53%, respectively. (2) Pore volume distribution varies with coal rank, as macropores dominate in low-rank coal, while micropores contribute most in medium- and high-rank coal, accounting for over 90% of the total specific surface area. Multifractal analysis of CO2, N2, and corrected MIP data confirms notable multifractal characteristics across the full pore size range. (3) As the degree of coalification increases, as indicated by the rise in the Ro,max value, there is a notable negative correlation observed among the multifractal parameters Dmin-D0, D0-Dmax, Δα, and H. A positive correlation exists between moisture content and volatile matter content with Dmin-D0, Δα, and H, while a significant negative correlation is shown between the concentration of minerals and Dmin-D0, Δα, and H. There exists a favorable correlation between inertinite concentration and D0-Dmax. This work presents a theoretical foundation and empirical proof for the secure and effective extraction of coalbed methane in the researched region. Full article
Show Figures

Figure 1

19 pages, 13686 KB  
Article
Sustainable Conversion of Biomass to Multiwalled Carbon Nanotubes and Carbon Nanochains
by Kevin R. McKenzie, Nathan A. Banek and Michael J. Wagner
Materials 2025, 18(5), 1022; https://doi.org/10.3390/ma18051022 - 26 Feb 2025
Cited by 1 | Viewed by 1360
Abstract
The conversion of biochar, the low value byproduct of pyrolysis bio-oil production from biomass multi-walled carbon nanotubes (MWCNTs) and carbon nanochains (CNCs), is reported. It is shown that biomass can be converted to long (>30 µm) carbon nanotubes with an anomalously deep (>280 [...] Read more.
The conversion of biochar, the low value byproduct of pyrolysis bio-oil production from biomass multi-walled carbon nanotubes (MWCNTs) and carbon nanochains (CNCs), is reported. It is shown that biomass can be converted to long (>30 µm) carbon nanotubes with an anomalously deep (>280 nm) stacked-cup structure. A mechanism of the transformation that is consistent with previously reported graphitization of biochar, a “non-graphitizable” carbon, is proposed, suggesting the molten metal catalyst is absorbed into the biochar by capillary action, forming graphene walls as it percolates through pore structure. Graphite is formed when the diameter of the molten catalyst droplets is large (microns), while smaller droplets (submicron) form MWCNTs and still smaller (<100 nm) form CNCs. Branching in the biochar pore structure leads to subdivision of the catalyst droplets resulting in the progression from MWCNT to CNC formation. Very long MWCNTs (>50 µm) can be formed in the absence of CNCs by transforming lignite char rather than biochar, presumably due to the elimination of smaller branching pores during coalification. CNCs, in the absence of MWCNTs, can be formed in biochar by using low concentrations of catalyst nanoparticles formed by carbon thermal reduction of a metal salt during charring. The results presented suggest that developing methods to control the porosity of the char could yield the ability to rationally synthesize carbon nanotubes with control of length, breadth and wall thickness. Full article
Show Figures

Figure 1

20 pages, 4321 KB  
Article
Transforming Biomass Waste into Hydrochars and Porous Activated Carbon: A Characterization Study
by Suhas, Monika Chaudhary, Shubham Chaudhary, Shivangi Chaubey, Isabel Pestana da Paixão Cansado, Mohammad Hadi Dehghani, Inderjeet Tyagi and Rama Gaur
Resources 2025, 14(3), 34; https://doi.org/10.3390/resources14030034 - 20 Feb 2025
Cited by 4 | Viewed by 2721
Abstract
Hydrothermal carbonization (HTC) is an environmentally friendly process for transforming biomass into sustainable hydrochar, which is a carbon-rich material with a variety of potential applications. Herein, Tectona grandis seeds (TGs) were transformed into hydrochars using HTC at low temperatures (180–250 °C) and autogenous [...] Read more.
Hydrothermal carbonization (HTC) is an environmentally friendly process for transforming biomass into sustainable hydrochar, which is a carbon-rich material with a variety of potential applications. Herein, Tectona grandis seeds (TGs) were transformed into hydrochars using HTC at low temperatures (180–250 °C) and autogenous pressure. The prepared hydrochars were rich in oxygenated functional groups. The optimized hydrochar, HC-230-4 (prepared at 230 °C, for 4 h), presented a ratio of H/C = 0.95 and O/C = 0.29, an improved degree of coalification, and a high heating value (26.53 MJ kg−1), which can replace bituminous coals in the power sector. The prepared hydrochar was further activated in the presence of CO2 to prepare activated carbon (AC). XRD, TGA, FTIR, FE-SEM, and BET techniques were used to characterize raw biomass (TGs), hydrochar, and ACs, to identify the potential applications for the developed materials. BET studies revealed that the hydrochar has limited porosity, with a low surface area (14.41 m2g−1) and porous volume. On the other hand, the derived AC (AC-850-5) has a high surface area (729.70 m2g−1) and appreciable total and microporous volumes (0.392 cm3g−1 and 0.286 cm3g−1). The use of biomass, mainly waste biomass, for the production of carbon-rich materials is an effective strategy for managing and valorizing waste biomass resources, reducing environmental pollution, and improving sustainability, being in line with the principles of circularity. Full article
Show Figures

Figure 1

25 pages, 18430 KB  
Article
Pore Structure and Heterogeneity Characteristics of Deep Coal Reservoirs: A Case Study of the Daning–Jixian Block on the Southeastern Margin of the Ordos Basin
by Bo Li, Yanqin Guo, Xiao Hu, Tao Wang, Rong Wang, Xiaoming Chen, Wentian Fan and Ze Deng
Minerals 2025, 15(2), 116; https://doi.org/10.3390/min15020116 - 24 Jan 2025
Cited by 3 | Viewed by 1384
Abstract
To clarify the micropore structure and fractal characteristics of the Danning–Jixian block on the eastern margin of the Ordos Basin, this study focuses on the deep coal rock of the Benxi Formation in that area. On the basis of an analysis of coal [...] Read more.
To clarify the micropore structure and fractal characteristics of the Danning–Jixian block on the eastern margin of the Ordos Basin, this study focuses on the deep coal rock of the Benxi Formation in that area. On the basis of an analysis of coal quality and physical properties, qualitative and quantitative studies of pore structures with different pore diameters were conducted via techniques such as field emission scanning electron microscopy (FE-SEM), low-pressure CO2 adsorption (LP-CO2A), low-temperature N2 adsorption (LT-N2A), and high-pressure mercury intrusion (HPMI). By applying fractal theory and integrating the results from the LP-CO2A, LT-N2A, and HPMI experiments, the fractal dimensions of pores with different diameters were obtained to characterize the complexity and heterogeneity of the pore structures of the coal samples. The results indicate that the deep coal reservoirs in the Danning–Jixian block have abundant nanometer-scale organic matter gas pores, tissue pores, and a small number of intergranular pores, showing strong heterogeneity influenced by the microscopic components and forms of distribution of organic matter. The pore structure of the Benxi Formation exhibits significant cross-scale effects and strong heterogeneity and is predominantly composed of micropores that account for more than 90% of the total pore volume; the pore structure is affected mainly by the degree of coalification, the vitrinite group, and the ash yield. Fractal analysis reveals that the heterogeneity of macropores is greater than that of mesopores and micropores. This may be attributed to the smaller pore sizes and concentrated distributions of micropores, which are less influenced by diagenesis, resulting in simpler pore structures with lower fractal dimensions. In contrast, mesopores and macropores, with larger diameters and broader distributions, exhibit diverse origins and are more affected by diagenesis, reflecting strong heterogeneity. The abundant storage space and strong self-similarity of micropores in deep coal facilitate the occurrence, flow, and extraction of deep coalbed methane. Full article
(This article belongs to the Special Issue Characterization of Geological Material at Nano- and Micro-scales)
Show Figures

Figure 1

12 pages, 2154 KB  
Article
Fractal Strategy for Improving Characterization of N2 Adsorption–Desorption in Mesopores
by Kunpeng Feng, Gaofeng Liu, Zhen Zhang, Huan Liu, Runsheng Lv, Xiaoming Wang, Ping Chang, Jia Lin and George Barakos
Fractal Fract. 2024, 8(11), 617; https://doi.org/10.3390/fractalfract8110617 - 23 Oct 2024
Cited by 11 | Viewed by 3135
Abstract
The current studies primarily analyze the heterogeneity and complexity of mesopore structures based on low-temperature nitrogen (N2) adsorption curves and the Frenkel–Halsey–Hill (FHH) fractal model. However, these studies ignore the fact that the low-temperature N2 desorption curve can also reflect [...] Read more.
The current studies primarily analyze the heterogeneity and complexity of mesopore structures based on low-temperature nitrogen (N2) adsorption curves and the Frenkel–Halsey–Hill (FHH) fractal model. However, these studies ignore the fact that the low-temperature N2 desorption curve can also reflect the desorption performance of the mesopore structure. In this research, novel fractal indicators for characterizing the adsorption–desorption performance of mesopores based on the fractal dimension from the N2 adsorption curves and N2 desorption curves are proposed. The novel fractal indicators I1 and I2 are applied to evaluate the adsorption–desorption performance of mesopores with pore size 2–5 nm and pore size 5–50 nm, respectively. The fractal indicator I1 shows an increasing trend with coalification, reflecting that the gas adsorption performance of 2–5 nm mesopores is enhanced with coalification. The fractal indicator I2 exhibits a trend of first increasing and then decreasing with coalification, indicating the gas desorption performance of mesopores with pore size 5–50 nm decreases first and then increases. The proposed indicators provide novel analytical parameters for further understanding the gas adsorption–desorption mechanism of porous coal-based or carbon-based materials. Full article
(This article belongs to the Special Issue Fractal Analysis and Its Applications in Rock Engineering)
Show Figures

Figure 1

16 pages, 3102 KB  
Article
Mineralogical and Geochemical Composition of Late Permian Coals from Dengfeng Coalfield, North China: Conversion of Clay Minerals in Coal during Coalification
by Shuyuan Ning, Zhenzhi Wang, Hui Wang, Chunxiang Chen, Hui Zhao, Bo Huang and Qiming Zheng
Processes 2024, 12(8), 1688; https://doi.org/10.3390/pr12081688 - 13 Aug 2024
Cited by 1 | Viewed by 1429
Abstract
Dengfeng Coalfield represents a significant coalfield in Henan Province, North China. It is therefore essential to gain an understanding of the mineralogy and geochemistry of the Dengfeng coal, both from a geochemical perspective and in terms of the wider environmental context. In this [...] Read more.
Dengfeng Coalfield represents a significant coalfield in Henan Province, North China. It is therefore essential to gain an understanding of the mineralogy and geochemistry of the Dengfeng coal, both from a geochemical perspective and in terms of the wider environmental context. In this study, a total of 27 coal bench samples were collected from the No. II1 coal of the Dengfeng Coalfield. The mineral species and major elements were quantitatively analysed using the X-ray diffraction and X-ray fluorescence methods, respectively. The minerals in the Dengfeng coal are dominated by ammonian illite and kaolinite with average contents of 3.73% and 7.47%, respectively. These are followed by calcite (2.74% on average) and ankerite (0.49%). The mean value of the kaolinite Hinkley index, which is a quantitative measure of kaolinite crystallinity, is 1.26. This suggests that kaolinite formation is primarily driven by diagenetic recrystallisation. The ammonian illite exhibits an average d001 of 10.2995 Å, indicative of a prevalence of NH4+ interlayer cations, with K+ also present in notable quantities. The ratio of NH4⁺ to (NH4⁺ + K⁺) has an average value of 0.90, which is indicative of the predominance of NH4⁺. The mean value of the illite Kübler index, which is a quantitative measure of illite crystallinity, is 0.264. This suggests that the diagenetic conditions correspond to the rank of the Dengfeng coal. The kaolinite present in the Dengfeng coal is suggested to have been derived from terrigenous detritus and subsequently subjected to diagenetic recrystallisation, resulting in a relatively high Hinkley index. The ammonian illite in the Dengfeng coal was predominantly formed through the conversion of the precursor kaolinite, with the influence of seawater during peat accumulation favouring the conversion of kaolinite to ammonian illite. Full article
(This article belongs to the Special Issue Exploration, Exploitation and Utilization of Coal and Gas Resources)
Show Figures

Figure 1

13 pages, 2756 KB  
Article
Low-Temperature Thermal Treatment and Boron Speciation Analysis from Coals
by Jonah Gamutan, Shunsuke Kashiwakura, Richard Alorro and Tetsuya Nagasaka
Sustainability 2024, 16(13), 5770; https://doi.org/10.3390/su16135770 - 6 Jul 2024
Viewed by 1716
Abstract
Despite urgent calls for decarbonization, the continued increasing demand for electricity, primarily from coals, has presented challenges in managing coal-derived wastes such as coal fly ash (CFA), which are enriched with environmentally hazardous substances like boron. This study explores a low-temperature heating process [...] Read more.
Despite urgent calls for decarbonization, the continued increasing demand for electricity, primarily from coals, has presented challenges in managing coal-derived wastes such as coal fly ash (CFA), which are enriched with environmentally hazardous substances like boron. This study explores a low-temperature heating process to remove boron from coal, aimed at preventing its condensation and enrichment into CFA during combustion. Initial boron concentrations in coals varied widely from 50 to 500 ppm by weight and were found to correlate with fixed carbon content (FC) through the following polynomial equation: [B]o = 0.0929(FC)2 − 14.388(FC) + 601.85; R2 = 0.9173. This relationship suggests that as coal undergoes coalification, boron-containing compounds are decomposed and released, resulting in a decline in boron levels as the coal matures. Boron-removal efficiency was investigated by drying coal samples at 110 °C, 160 °C, and 210 °C under natural air convection, and nuclear magnetic resonance (NMR) spectroscopy was used to assess changes in boron speciation during heating. Our results demonstrate that boron removal ranged from 5% to 82%, with minimal improvements observed beyond 110 °C. In addition, the 11B MAS-NMR spectra of the coal samples showed four peaks at isotropic chemical shift values of −1.0, 2.0, 8.0, and 14.0 ppm and suggested that the species of boron volatilized at low temperatures is the inorganic BO4 assigned to peak no. 0 at −1.0 ppm. The association of boron with inorganic components in coal suggests potential for efficient removal, particularly in coals with higher fixed carbon content. These findings highlight the viability of low-temperature thermal treatment as a cost-effective method for boron removal, which is crucial in mitigating the risks associated with coal combustion by-products. Full article
(This article belongs to the Section Resources and Sustainable Utilization)
Show Figures

Figure 1

16 pages, 5002 KB  
Article
Porosity Characteristics of Coal Seams and the Control Mechanisms of Coal Petrology in the Xishanyao Formation in the Western Part of the Southern Junggar Basin
by Yuan Yuan, Yue Tang, Lihua Tong, Daiyong Cao, Yingchun Wei and Caiqin Bi
Minerals 2024, 14(6), 543; https://doi.org/10.3390/min14060543 - 24 May 2024
Cited by 1 | Viewed by 1856
Abstract
The porosity characteristics of coal seams serve as a pivotal factor in assessing the development potential of coalbed methane (CBM) resources, significantly influencing the adsorption and permeability capabilities of coal reservoirs, as well as the accumulation, entrapment, and preservation of CBM. In this [...] Read more.
The porosity characteristics of coal seams serve as a pivotal factor in assessing the development potential of coalbed methane (CBM) resources, significantly influencing the adsorption and permeability capabilities of coal reservoirs, as well as the accumulation, entrapment, and preservation of CBM. In this study, we focused on the coal seams of the Xishanyao Formation in the western part of the southern Junggar Basin (NW China). By leveraging the complementarity of nuclear magnetic resonance (NMR), low-temperature liquid nitrogen experiments, and high-pressure mercury intrusion porosimetry (MIP) in spatial exploration range and precision, we conducted a comprehensive analysis to achieve a fine description of porosity characteristics. Furthermore, we explored the coal petrology factors controlling the pore characteristics of the Xishanyao Formation, aiming to provide geological evidence for the selection of favorable areas and the development potential evaluation of CBM in the study area. The results indicate the following: (1) The total pore volume of the coal samples is 6.318 × 10−3 cm3/g on average, and the micropore volume accounts for a relatively high proportion (averaging 44.17%), followed by the fine pores (averaging 39.41%). The average porosity is approximately 3.87%, indicating good gas storage and connectivity of the coal seams, albeit with some heterogeneity. The coal reservoir is dominated by micropores and fine pores with diameters less than 100 nm, and the pore structure is characterized by low pore volume and high pore area. (2) The pore structure is influenced by both the coalification degree and the coal maceral. Within the range of low coalification, porosity increases with the increase in coalification degree. Building upon this, an increase in the vitrinite content promotes the development of micropores and fine pores, while an increase in the inertinite content promotes the development of meso–macropores. The clay mineral content exhibits a negative correlation with the adsorption pore volume ratio and a positive correlation with the seepage pore volume ratio. Full article
Show Figures

Figure 1

19 pages, 12923 KB  
Article
Enrichment Factors and Metallogenic Models of Critical Metals in Late Permian Coal Measures from Yunnan, Guizhou, and Guangxi Provinces
by Bo Cao, Xuehai Fu, Junqiang Kang, Pan Tang and Hui Xu
Minerals 2024, 14(2), 206; https://doi.org/10.3390/min14020206 - 17 Feb 2024
Cited by 3 | Viewed by 2024
Abstract
The Late Permian coal measures in eastern Yunnan, western Guizhou, and central Guangxi are significantly enriched in critical metals that could serve as important supplements to conventional critical metal deposits in China. This study collected previous geochronological and geochemical data from the Late [...] Read more.
The Late Permian coal measures in eastern Yunnan, western Guizhou, and central Guangxi are significantly enriched in critical metals that could serve as important supplements to conventional critical metal deposits in China. This study collected previous geochronological and geochemical data from the Late Permian coal measures to evaluate the distribution characteristics and enrichment factors of critical metals. Moreover, metallogenic models for critical metals were also developed. The results showed that Late Permian coal measures in Yunnan, Guizhou, and Guangxi provinces exhibited abnormal enrichment in Nb, Zr, and rare earth elements (REY, or REE if Y is excluded). The Emeishan mafic rocks and intermediate-felsic volcanic ash from the Truong Son orogenic belt underwent chemical weathering, with Nb and Zr selectively preserved in situ in the form of heavy minerals (e.g., rutile, zircon, and anatase), which subsequently led to the enrichment of Nb and Zr in bauxite and Al-claystone at the bottom of the Late Permian coal measures. Intermediate-felsic volcanic ash from the Emeishan large igneous province (ELIP) and the Truong Son orogenic belt supplied Nb, Zr, and REY for the middle and upper parts of the Late Permian coal measures. The intermediate-felsic mineral material of the coal measures in the intermediate zone, outer zone, and outside zone of ELIP are derived mainly from the ELIP, the mixture from ELIP and the Truong Son orogenic belt, and the Truong Son orogenic belts, respectively. Nb, Zr, and REY were leached by acidic aqueous solutions and from the parting and roof into underlying coal seams, where they deposited as authigenic minerals or adsorbed ions on organic matter during early coalification. Full article
Show Figures

Figure 1

Back to TopTop