Sign in to use this feature.

Years

Between: -

Subjects

remove_circle_outline
remove_circle_outline
remove_circle_outline
remove_circle_outline
remove_circle_outline
remove_circle_outline

Journals

Article Types

Countries / Regions

Search Results (29)

Search Parameters:
Keywords = coal and gangue recognition

Order results
Result details
Results per page
Select all
Export citation of selected articles as:
14 pages, 2017 KB  
Article
Multiclass Classification of Coal Gangue Under Different Light Sources and Illumination Intensities
by Chunxia Zhou, Yeshuo Xi, Xiaolu Sun, Weinong Liang, Jiandong Fang, Guanghui Wang and Haijun Zhang
Minerals 2025, 15(9), 921; https://doi.org/10.3390/min15090921 - 29 Aug 2025
Viewed by 624
Abstract
As a solid mixture discharged during coal production, coal gangue possesses comprehensive utilization potential. Efficient sorting and pre-enrichment of its classification are crucial for green mining practices. This study categorizes coal gangue into four types—residual coal (RC), gray gangue (GG), red gangue (RG), [...] Read more.
As a solid mixture discharged during coal production, coal gangue possesses comprehensive utilization potential. Efficient sorting and pre-enrichment of its classification are crucial for green mining practices. This study categorizes coal gangue into four types—residual coal (RC), gray gangue (GG), red gangue (RG), and white gangue (WG)—based on their apparent color and utilization properties. The research systematically analyzed how different light sources and illumination intensities affect the visual characteristics of these gangue types. The results indicate that white light sources most accurately reproduce the real coloration and texture features of coal gangue, with optimal textural clarity achieved at moderate illumination levels. Different colored light sources selectively enhance spectral reflectance, and red light significantly improves RG recognition. Support vector machine (SVM)-based classification experiments demonstrate that white light sources achieve optimal performance under moderate illumination (23,000 Lux) with Macro-F1 = 0.90, representing a 15.38% improvement over other conditions. These findings reveal that reasonable matching of light source and illumination intensity can substantially enhance the accuracy of the visual recognition of coal gangue, providing valuable optimization guidance for future precise classification applications. Full article
(This article belongs to the Section Mineral Processing and Extractive Metallurgy)
Show Figures

Figure 1

18 pages, 8279 KB  
Article
DEL_YOLO: A Lightweight Coal-Gangue Detection Model for Limited Equipment
by Qiuyue Zhang, Shuguang Miao, Sen Fan, Mengxu Guo and Xiang Liu
Symmetry 2025, 17(5), 745; https://doi.org/10.3390/sym17050745 - 13 May 2025
Cited by 1 | Viewed by 826
Abstract
The gangue mixed in raw coal has small feature differences from coal, in order to solve the existing gangue recognition, methods generally have slow detection speed and are difficult to deploy at the edge end of the problem, a lightweight gangue target detection [...] Read more.
The gangue mixed in raw coal has small feature differences from coal, in order to solve the existing gangue recognition, methods generally have slow detection speed and are difficult to deploy at the edge end of the problem, a lightweight gangue target detection algorithm is proposed to enhance the research for the field of coal mining. Firstly, a lightweight EfficientViT module is the backbone of the network; secondly is the introduction of the DRBNCSPELAN4 module, which can better capture target information at different scales; finally, the lightweight shared convolutional detection head Detect_LSCD is reconstructed in order to further reduce the model size and improve the detection speed for coal and gangue. The experimental results indicate that in the model compared with the original algorithm, mAP@50–95 is improved by 1.2%, model weight size, the number of parameters, and floating point operations are reduced by 52.34%, 55.35%, and 50.35%, respectively, and inference speed is accelerated by 20.87% on a Raspberry Pi 4B device. In the field of coal gangue sorting, the algorithm not only has high-precision, real-time detection performance, but also achieves significant results in the lightweight model, making it more suitable for deployment on edge equipment to meet the requirements of controlling the robotic arm sorting gangue. Full article
(This article belongs to the Section Computer)
Show Figures

Figure 1

17 pages, 4378 KB  
Article
Multi-Strategy Improvement of Coal Gangue Recognition Method of YOLOv11
by Hongjing Tao, Lei Zhang, Zhipeng Sun, Xinchao Cui and Weixun Yi
Sensors 2025, 25(7), 1983; https://doi.org/10.3390/s25071983 - 22 Mar 2025
Cited by 2 | Viewed by 1260
Abstract
The current methods for detecting coal gangue face several challenges, including low detection accuracy, a high probability of missed detections, and inadequate real-time performance. These issues stem from the complexities associated with diverse industrial environments and mining conditions, such as the mixing of [...] Read more.
The current methods for detecting coal gangue face several challenges, including low detection accuracy, a high probability of missed detections, and inadequate real-time performance. These issues stem from the complexities associated with diverse industrial environments and mining conditions, such as the mixing of coal gangue and insufficient illumination within coal mines. A detection model, referred to as EBD-YOLO, is proposed based on YOLOv11n. First, the C3k2-EMA module is integrated with the EMA attention mechanism within the C3k2 module of the backbone network, thereby enhancing the model’s feature extraction capabilities. Second, the introduction of the BiFPN module reduces computational complexity while enriching both semantic information and detail within the model. Finally, the incorporation of the DyHead detector head further enhances the model’s ability to express features in complex environments. The experimental results indicate that the precision (P) and recall (R) of the EBD-YOLO model are 88.7% and 83.9%, respectively, while the mean average precision (mAP@0.5) is 91.7%. These metrics represent increases of 3.4%, 3.7%, and 3.9% compared to those of the original model, respectively. Additionally, the frames per second (FPS) improved by 10.01%. Compared to the mainstream YOLO target detection algorithms, the EBD-YOLO detection model achieves the highest mAP@0.5 while maintaining superior detection speed. It exhibits a slight increase in computational load, despite an almost unchanged number of parameters, and demonstrates the best overall detection performance. The EBD-YOLO detection model effectively addresses the challenges of missed detections, false detections, and real-time detection in the complex environment of coal mines. Full article
(This article belongs to the Special Issue Recent Advances in Optical Sensor for Mining)
Show Figures

Figure 1

21 pages, 19981 KB  
Article
Research on Image Segmentation and Defogging Technique of Coal Gangue Under the Influence of Dust Gradient
by Zhenghan Qin, Judong Jing, Libao Li, Yong Yuan, Yong Li and Bo Li
Appl. Sci. 2025, 15(4), 1947; https://doi.org/10.3390/app15041947 - 13 Feb 2025
Viewed by 1055
Abstract
To address the challenges of low accuracy in coal gangue image recognition and poor segmentation performance under the influence of dust in underground coal mines, a scaled simulation platform was constructed to replicate the longwall top coal caving face. This platform utilized real [...] Read more.
To address the challenges of low accuracy in coal gangue image recognition and poor segmentation performance under the influence of dust in underground coal mines, a scaled simulation platform was constructed to replicate the longwall top coal caving face. This platform utilized real coal gangue particles as the raw material and employed dust simulation to mimic the dust conditions typically found in coal mines. Images of coal gangue without dust and under varying dust concentrations were then collected for analysis. In parallel, an improved DeeplabV3+ coal gangue image segmentation model is proposed, where ResNeSt is employed as the backbone network of DeeplabV3+, thereby enhancing the model’s capability to extract features of both coal and gangue. Furthermore, two channel attention modules (ECAs) are incorporated to augment the model’s ability to recognize edge features in coal gangue images. A class-label smoothing training strategy was adopted for model training. The experimental results indicate that, compared to the original DeepLabV3+ model, the optimized model achieves improvements of 3.14%, 4.70%, and 3.83% in average accuracy, mean intersection over union (mIoU), and mean pixel accuracy, respectively. Furthermore, the number of parameters was reduced from 44.18 M to 43.86 M, the floating-point operations decreased by 8.33%, and the frames per second (FPS) increased by 45.03%. When compared to other models such as UNet, PSANet, and SegFormer, the proposed model demonstrates superior performance in coal gangue segmentation, accuracy, and parameter efficiency. A method combining dark channel prior and Gaussian weighting was employed for defogging coal gangue images under varying dust concentration conditions. The recognition performance of the coal gangue images before and after defogging was assessed across different dust concentrations. The model’s segmentation accuracy and practical applicability were validated through defogging and segmentation of both indoor and underground dust images. The recognition accuracy of coal and gangue, before and after defogging, improved by 6.8–71.8% and 5.8–45.8%, respectively, as the dust concentration increased, thereby demonstrating the model’s effectiveness in coal gangue image defogging segmentation in underground dust environments. Full article
(This article belongs to the Special Issue Novel Technologies in Intelligent Coal Mining)
Show Figures

Figure 1

25 pages, 24948 KB  
Article
RRBM-YOLO: Research on Efficient and Lightweight Convolutional Neural Networks for Underground Coal Gangue Identification
by Yutong Wang, Ziming Kou, Cong Han and Yuchen Qin
Sensors 2024, 24(21), 6943; https://doi.org/10.3390/s24216943 - 29 Oct 2024
Cited by 3 | Viewed by 1428
Abstract
Coal gangue identification is the primary step in coal flow initial screening, which mainly faces problems such as low identification efficiency, complex algorithms, and high hardware requirements. In response to the above, this article proposes a new “hardware friendly” coal gangue image recognition [...] Read more.
Coal gangue identification is the primary step in coal flow initial screening, which mainly faces problems such as low identification efficiency, complex algorithms, and high hardware requirements. In response to the above, this article proposes a new “hardware friendly” coal gangue image recognition algorithm, RRBM-YOLO, which is combined with dark light enhancement. Specifically, coal gangue image samples were customized in two scenarios: normal lighting and simulated underground lighting with poor lighting conditions. The images were preprocessed using the dim light enhancement algorithm Retinexformer, with YOLOv8 as the backbone network. The lightweight module RepGhost, the repeated weighted bi-directional feature extraction module BiFPN, and the multi-dimensional attention mechanism MCA were integrated, and different datasets were replaced to enhance the adaptability of the model and improve its generalization ability. The findings from the experiment indicate that the precision of the proposed model is as high as 0.988, the mAP@0.5(%) value and mAP@0.5:0.95(%) values increased by 10.49% and 36.62% compared to the original YOLOv8 model, and the inference speed reached 8.1GFLOPS. This indicates that RRBM-YOLO can attain an optimal equilibrium between detection precision and inference velocity, with excellent accuracy, robustness, and industrial application potential. Full article
(This article belongs to the Section Remote Sensors)
Show Figures

Figure 1

15 pages, 1314 KB  
Article
Optimization Study of Coal Gangue Detection in Intelligent Coal Selection Systems Based on the Improved Yolov8n Model
by Guilin Zong, Yurong Yue and Wei Shan
Electronics 2024, 13(21), 4155; https://doi.org/10.3390/electronics13214155 - 23 Oct 2024
Cited by 3 | Viewed by 1549
Abstract
To address the low recognition accuracy of models for coal gangue images in intelligent coal preparation systems—especially in identifying small target coal gangue due to factors such as camera angle changes, low illumination, and motion blur—we propose an improved coal gangue separation model, [...] Read more.
To address the low recognition accuracy of models for coal gangue images in intelligent coal preparation systems—especially in identifying small target coal gangue due to factors such as camera angle changes, low illumination, and motion blur—we propose an improved coal gangue separation model, Yolov8n-improvedGD(GD—Gangue Detection), based on Yolov8n. The optimization strategy includes integrating the GCBlock(Global Context Block) from GCNet(Global Context Network) into the backbone network to enhance the model’s ability to capture long-range dependencies in images and improve recognition performance. The CGFPN (Contextual Guidance Feature Pyramid Network) module is designed to optimize the feature fusion strategy and enhance the model’s feature expression capabilities. The GSConv-SlimNeck architecture is employed to optimize computational efficiency and enhance feature map fusion capabilities, thereby improving the model’s robustness. A 160 × 160 scale detection head is incorporated to enhance the sensitivity and accuracy of small coal and gangue detection, mitigate the effects of low-quality data, and improve target localization accuracy. Full article
Show Figures

Figure 1

24 pages, 887 KB  
Article
Searching by Topological Complexity: Lightweight Neural Architecture Search for Coal and Gangue Classification
by Wenbo Zhu, Yongcong Hu, Zhengjun Zhu, Wei-Chang Yeh, Haibing Li, Zhongbo Zhang and Weijie Fu
Mathematics 2024, 12(5), 759; https://doi.org/10.3390/math12050759 - 4 Mar 2024
Cited by 1 | Viewed by 1858
Abstract
Lightweight and adaptive adjustment are key research directions for deep neural networks (DNNs). In coal industry mining, frequent changes in raw coal sources and production batches can cause uneven distribution of appearance features, leading to concept drift problems. The network architecture and parameters [...] Read more.
Lightweight and adaptive adjustment are key research directions for deep neural networks (DNNs). In coal industry mining, frequent changes in raw coal sources and production batches can cause uneven distribution of appearance features, leading to concept drift problems. The network architecture and parameters should be adjusted frequently to avoid a decline in model accuracy. This poses a significant challenge for those without specialist expertise. Although the Neural Architecture Search (NAS) has a strong ability to automatically generate networks, enabling the automatic design of highly accurate networks, it often comes with complex internal topological connections. These redundant architectures do not always effectively improve network performance, especially in resource-constrained environments, where their computational efficiency is significantly reduced. In this paper, we propose a method called Topology Complexity Neural Architecture Search (TCNAS). TCNAS proposes a new method for evaluating the topological complexity of neural networks and uses both topological complexity and accuracy to guide the search, effectively obtaining lightweight and efficient networks. TCNAS employs an adaptive shrinking search space optimization method, which gradually eliminates poorly performing cells to reduce the search space, thereby improving search efficiency and solving the problem of space explosion. In the classification experiments of coal and gangue, the optimal network designed by TCNAS has an accuracy of 83.3%. And its structure is much simpler, which is about 1/53 of the parameters of the network dedicated to coal and gangue recognition. Experiments have shown that TCNAS is able to generate networks that are both efficient and simple for resource-constrained industrial applications. Full article
(This article belongs to the Special Issue Deep Learning and Adaptive Control, 2nd Edition)
Show Figures

Figure 1

13 pages, 4105 KB  
Article
Research on Coal and Gangue Recognition Based on the Improved YOLOv7-Tiny Target Detection Algorithm
by Yiping Sui, Lei Zhang, Zhipeng Sun, Weixun Yi and Meng Wang
Sensors 2024, 24(2), 456; https://doi.org/10.3390/s24020456 - 11 Jan 2024
Cited by 7 | Viewed by 2331
Abstract
The recognition technology of coal and gangue is one of the key technologies of intelligent mine construction. Aiming at the problems of the low accuracy of coal and gangue recognition models and the difficult recognition of small-target coal and gangue caused by low-illumination [...] Read more.
The recognition technology of coal and gangue is one of the key technologies of intelligent mine construction. Aiming at the problems of the low accuracy of coal and gangue recognition models and the difficult recognition of small-target coal and gangue caused by low-illumination and high-dust environments in the coal mine working face, a coal and gangue recognition model based on the improved YOLOv7-tiny target detection algorithm is proposed. This paper proposes three model improvement methods. The coordinate attention mechanism is introduced to improve the feature expression ability of the model. The contextual transformer module is added after the spatial pyramid pooling structure to improve the feature extraction ability of the model. Based on the idea of the weighted bidirectional feature pyramid, the four branch modules in the high-efficiency layer aggregation network are weighted and cascaded to improve the recognition ability of the model for useful features. The experimental results show that the average precision mean of the improved YOLOv7-tiny model is 97.54%, and the FPS is 24.73 f·s−1. Compared with the Faster-RCNN, YOLOv3, YOLOv4, YOLOv4-VGG, YOLOv5s, YOLOv7, and YOLOv7-tiny models, the improved YOLOv7-tiny model has the highest recognition rate and the fastest recognition speed. Finally, the improved YOLOv7-tiny model is verified by field tests in coal mines, which provides an effective technical means for the accurate identification of coal and gangue. Full article
(This article belongs to the Special Issue Recent Advances in Optical Sensor for Mining)
Show Figures

Figure 1

13 pages, 40866 KB  
Article
Coal–Rock Data Recognition Method Based on Spectral Dimension Transform and CBAM-VIT
by Jianjian Yang, Yuzeng Zhang, Kaifan Wang, Yibo Tong, Jinteng Liu and Guoyong Wang
Appl. Sci. 2024, 14(2), 593; https://doi.org/10.3390/app14020593 - 10 Jan 2024
Cited by 8 | Viewed by 2030
Abstract
Coal–gangue sorting is a vital component of intelligent mine construction. As intelligent manufacturing continued to advance, data-driven coal–gangue recognition emerged as a prominent research topic. However, conventional data-driven methods for coal–gangue recognition heavily rely on expert-extracted features. The process of feature extraction is [...] Read more.
Coal–gangue sorting is a vital component of intelligent mine construction. As intelligent manufacturing continued to advance, data-driven coal–gangue recognition emerged as a prominent research topic. However, conventional data-driven methods for coal–gangue recognition heavily rely on expert-extracted features. The process of feature extraction is labor-intensive and significantly impacts the final outcome. Deep learning (DL) offers an effective approach to automatically extract features from raw data. Among the various DL techniques, convolutional neural networks (CNNs) have proven to be particularly effective. In this paper, we propose an intelligent method for recognizing coal–rock by fusing multiple preprocessing techniques applied to near-infrared spectra and employing dual attention. Initially, a signal-to-RGB image conversion method is applied to fuse three types of preprocessing data, namely first-order differential, second-order differential, and standard normal transform, into an RGB image representation. Subsequently, we propose a neural network model (CBAM-VIT) that integrates the convolutional block attention mechanism (CBAM) and Vision Transformer (VIT). When evaluated on the coal–rock dataset, this model achieves an accuracy of 98.5%, surpassing the performance of VIT (95.3%), VGG-16 (89%), and AlexNet (82%). The comparative results clearly demonstrate that the proposed coal–gangue recognition method yields significant improvements in classification outcomes. Full article
(This article belongs to the Special Issue Advanced Intelligent Mining Technology)
Show Figures

Figure 1

15 pages, 3184 KB  
Article
Research on Recognition of Coal and Gangue Based on Laser Speckle Images
by Hequn Li, Qiong Wang, Ling Ling, Ziqi Lv, Yun Liu and Mingxing Jiao
Sensors 2023, 23(22), 9113; https://doi.org/10.3390/s23229113 - 11 Nov 2023
Cited by 13 | Viewed by 2163
Abstract
Coal gangue image recognition is a critical technology for achieving automatic separation in coal processing, characterized by its rapid, environmentally friendly, and energy-saving nature. However, the response characteristics of coal and gangue vary greatly under different illuminance conditions, which poses challenges to the [...] Read more.
Coal gangue image recognition is a critical technology for achieving automatic separation in coal processing, characterized by its rapid, environmentally friendly, and energy-saving nature. However, the response characteristics of coal and gangue vary greatly under different illuminance conditions, which poses challenges to the stability of feature extraction and recognition, especially when strict illuminance requirements are necessary. This leads to fluctuating coal gangue recognition accuracy in industrial environments. To address these issues and improve the accuracy and stability of image recognition under variable illuminance conditions, we propose a novel coal gangue recognition method based on laser speckle images. Firstly, we studied the inter-class separability and intra-class compactness of the collected laser speckle images of coal and gangue by extracting gray and texture features from the laser speckle images, and analyzed the performance of laser speckle images in representing the differences between coal and gangue minerals. Subsequently, coal gangue recognition was achieved using an SVM classifier based on the extracted features from the laser speckle images. The fusion feature approach achieved a recognition accuracy of 94.4%, providing further evidence of the feasibility of this method. Lastly, we conducted a comparative experiment between natural images and laser speckle images for coal gangue recognition using the same features. The average accuracy of coal gangue laser speckle image recognition under various lighting conditions is 96.7%, with a standard deviation of the recognition accuracy of 1.7%. This significantly surpasses the recognition accuracy obtained from natural coal and gangue images. The results showed that the proposed laser speckle image features can facilitate more stable coal gangue recognition with illumination factors, providing a new, reliable method for achieving accurate classification of coal and gangue in the industrial environment of mines. Full article
(This article belongs to the Section Optical Sensors)
Show Figures

Figure 1

13 pages, 4578 KB  
Article
Coal Gangue Target Detection Based on Improved YOLOv5s
by Shuxia Wang, Jiandong Zhu, Zuotao Li, Xiaoming Sun and Guoxin Wang
Appl. Sci. 2023, 13(20), 11220; https://doi.org/10.3390/app132011220 - 12 Oct 2023
Cited by 16 | Viewed by 2094
Abstract
Coal gangue sorting is a necessary process in coal mine production, and removing gangue is the basis for the coal production of clean energy; it is also an important approach to reduce the cost of washing, improve the grade of finished coal and [...] Read more.
Coal gangue sorting is a necessary process in coal mine production, and removing gangue is the basis for the coal production of clean energy; it is also an important approach to reduce the cost of washing, improve the grade of finished coal and increase the economic efficiency of coal mining enterprises. For the problem of high similarity and low-degree dynamic recognition of coal and gangue, a coal gangue target detection method based on improved YOLOv5s is proposed. Based on the YOLOv5s network, the decoupled head and SimAM attention mechanism are introduced and the CSP module in the neck part of YOLOv5s is replaced with the VoV-GSCSP structure. The experimental results show that the proposed method improves the mAP value by 6.1% over YOLOv5s in the gangue target detection task, while maintaining a higher detection speed. The coal gangue classification precision reaches 99.7% when tested on 1479 images. Compared with YOLOv5 series, YOLOv7 series, SSD and Faster-RCNN, the proposed method invariably yields higher precision and detection speed to meet the requirements of real-time detection. The experiments prove that the method proposed in this paper can be applied to the coal gangue sorting industry for fast and high-precision identification of coal gangue. Full article
Show Figures

Figure 1

12 pages, 2811 KB  
Article
Research on Coal and Gangue Recognition Model Based on CAM-Hardswish with EfficientNetV2
by Na Li, Jiameng Xue, Sibo Wu, Kunde Qin and Na Liu
Appl. Sci. 2023, 13(15), 8887; https://doi.org/10.3390/app13158887 - 2 Aug 2023
Cited by 8 | Viewed by 2031
Abstract
In response to the multiscale shape of coal and gangue in actual production conditions, existing coal separation methods are inefficient in recognizing coal and gangue, causing environmental pollution and other problems. Combining image data preprocessing and deep learning techniques, this paper presents an [...] Read more.
In response to the multiscale shape of coal and gangue in actual production conditions, existing coal separation methods are inefficient in recognizing coal and gangue, causing environmental pollution and other problems. Combining image data preprocessing and deep learning techniques, this paper presents an improved EfficientNetV2 network for coal and gangue recognition. To expand the dataset and prevent network overfitting, a pipeline-based data enhancement method is used on small sample datasets to simulate coal and gangue production conditions under actual working conditions. This method involves modifying the attention mechanism module in the model, employing the CAM attention mechanism module, selecting the Hardswish activation function, and updating the block structure in the network. The parallel pooling layer introduced in the CAM module can minimize information loss and extract rich feature information compared with the single pooling layer of the SE module. The Hardswish activation function is characterized by excellent numerical stability and fast computation speed. It can effectively be deployed to solve complex computation and derivation problems, compensate for the limitations of the ReLu activation function, and improve the efficiency of neural network training. We increased the training speed of the network while maintaining the accuracy of the model by selecting optimized hyperparameters for the network structure. Finally, we applied the improved model to the problem of coal and gangue recognition. The experimental results showed that the improved EfficientNetV2 coal and gangue recognition method is easy to train, has fast convergence and training speeds, and thus achieves high recognition accuracy under insufficient dataset conditions. The accuracy of coal and gangue recognition increased by 3.98% compared with the original model, reaching 98.24%. Moreover, the training speed improved, and the inference time of the improved model decreased by 6.6 ms. The effectiveness of our proposed model improvements is confirmed by these observations. Full article
(This article belongs to the Section Computing and Artificial Intelligence)
Show Figures

Figure 1

25 pages, 6962 KB  
Article
A Faster and Lighter Detection Method for Foreign Objects in Coal Mine Belt Conveyors
by Bingxin Luo, Ziming Kou, Cong Han, Juan Wu and Shaowei Liu
Sensors 2023, 23(14), 6276; https://doi.org/10.3390/s23146276 - 10 Jul 2023
Cited by 22 | Viewed by 4553
Abstract
Coal flow in belt conveyors is often mixed with foreign objects, such as anchor rods, angle irons, wooden bars, gangue, and large coal chunks, leading to belt tearing, blockages at transfer points, or even belt breakage. Fast and effective detection of these foreign [...] Read more.
Coal flow in belt conveyors is often mixed with foreign objects, such as anchor rods, angle irons, wooden bars, gangue, and large coal chunks, leading to belt tearing, blockages at transfer points, or even belt breakage. Fast and effective detection of these foreign objects is vital to ensure belt conveyors’ safe and smooth operation. This paper proposes an improved YOLOv5-based method for rapid and low-parameter detection and recognition of non-coal foreign objects. Firstly, a new dataset containing foreign objects on conveyor belts is established for training and testing. Considering the high-speed operation of belt conveyors and the increased demands for inspection robot data collection frequency and real-time algorithm processing, this study employs a dark channel dehazing method to preprocess the raw data collected by the inspection robot in harsh mining environments, thus enhancing image clarity. Subsequently, improvements are made to the backbone and neck of YOLOv5 to achieve a deep lightweight object detection network that ensures detection speed and accuracy. The experimental results demonstrate that the improved model achieves a detection accuracy of 94.9% on the proposed foreign object dataset. Compared to YOLOv5s, the model parameters, inference time, and computational load are reduced by 43.1%, 54.1%, and 43.6%, respectively, while the detection accuracy is improved by 2.5%. These findings are significant for enhancing the detection speed of foreign object recognition and facilitating its application in edge computing devices, thus ensuring belt conveyors’ safe and efficient operation. Full article
Show Figures

Figure 1

18 pages, 6600 KB  
Article
Improved YOLOv7 Network Model for Gangue Selection Robot for Gangue and Foreign Matter Detection in Coal
by Dengjie Yang, Changyun Miao, Xianguo Li, Yi Liu, Yimin Wang and Yao Zheng
Sensors 2023, 23(11), 5140; https://doi.org/10.3390/s23115140 - 28 May 2023
Cited by 11 | Viewed by 2154
Abstract
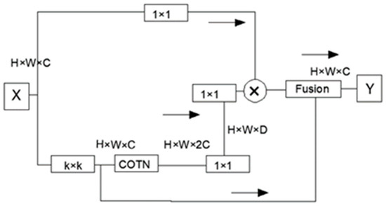
Coal production often involves a substantial presence of gangue and foreign matter, which not only impacts the thermal properties of coal and but also leads to damage to transportation equipment. Selection robots for gangue removal have garnered attention in research. However, existing methods [...] Read more.
Coal production often involves a substantial presence of gangue and foreign matter, which not only impacts the thermal properties of coal and but also leads to damage to transportation equipment. Selection robots for gangue removal have garnered attention in research. However, existing methods suffer from limitations, including slow selection speed and low recognition accuracy. To address these issues, this study proposes an improved method for detecting gangue and foreign matter in coal, utilizing a gangue selection robot with an enhanced YOLOv7 network model. The proposed approach entails the collection of coal, gangue, and foreign matter images using an industrial camera, which are then utilized to create an image dataset. The method involves reducing the number of convolution layers of the backbone, adding a small size detection layer to the head to enhance the small target detection, introducing a contextual transformer networks (COTN) module, employing a distance intersection over union (DIoU) loss border regression loss function to calculate the overlap between predicted and real frames, and incorporating a dual path attention mechanism. These enhancements culminate in the development of a novel YOLOv71 + COTN network model. Subsequently, the YOLOv71 + COTN network model was trained and evaluated using the prepared dataset. Experimental results demonstrated the superior performance of the proposed method compared to the original YOLOv7 network model. Specifically, the method exhibits a 3.97% increase in precision, a 4.4% increase in recall, and a 4.5% increase in mAP0.5. Additionally, the method reduced GPU memory consumption during runtime, enabling fast and accurate detection of gangue and foreign matter. Full article
(This article belongs to the Section Industrial Sensors)
Show Figures

Figure 1

13 pages, 4897 KB  
Article
Target Recognition of Coal and Gangue Based on Improved YOLOv5s and Spectral Technology
by Pengcheng Yan, Xuyue Kan, Heng Zhang, Xiaofei Zhang, Fengxiang Chen and Xinyue Li
Sensors 2023, 23(10), 4911; https://doi.org/10.3390/s23104911 - 19 May 2023
Cited by 7 | Viewed by 1908
Abstract
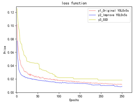
Aiming at the problems of long detection time and low detection accuracy in the existing coal gangue recognition, this paper proposes a method to collect the multispectral images of coal gangue using spectral technology and match with the improved YOLOv5s (You Only Look [...] Read more.
Aiming at the problems of long detection time and low detection accuracy in the existing coal gangue recognition, this paper proposes a method to collect the multispectral images of coal gangue using spectral technology and match with the improved YOLOv5s (You Only Look Once Version-5s) neural network model to apply it to coal gangue target recognition and detection, which can effectively reduce the detection time and improve the detection accuracy and recognition effect of coal gangue. In order to take the coverage area, center point distance and aspect ratio into account at the same time, the improved YOLOv5s neural network replaces the original GIou Loss loss function with CIou Loss loss function. At the same time, DIou NMS replaces the original NMS, which can effectively detect overlapping targets and small targets. In the experiment, 490 sets of multispectral data were obtained through the multispectral data acquisition system. Using the random forest algorithm and the correlation analysis of bands, the spectral images of the sixth, twelfth and eighteenth bands from twenty-five bands were selected to form a pseudo RGB image. A total of 974 original sample images of coal and gangue were obtained. Through two image noise reduction methods, namely, Gaussian filtering algorithm and non-local average noise reduction, 1948 images of coal gangue were obtained after preprocessing the dataset. This was divided into a training set and test set according to an 8:2 ratio and trained in the original YOLOv5s neural network, improved YOLOv5s neural network and SSD neural network. By identifying and detecting the three neural network models obtained after training, the results can be obtained, the loss value of the improved YOLOv5s neural network model is smaller than the original YOLOv5s neural network and SSD neural network, the recall rate is closer to 1 than the original YOLOv5s neural network and SSD neural network, the detection time is the shortest, the recall rate is 100% and the average detection accuracy of coal and gangue is the highest. The average precision of the training set is increased to 0.995, which shows that the improved YOLOv5s neural network has a better effect on the detection and recognition of coal gangue. The detection accuracy of the improved YOLOv5s neural network model test set is increased from 0.73 to 0.98, and all overlapping targets can also be accurately detected without false detection or missed detection. At the same time, the size of the improved YOLOv5s neural network model after training is reduced by 0.8 MB, which is conducive to hardware transplantation. Full article
(This article belongs to the Section Optical Sensors)
Show Figures

Figure 1

Back to TopTop