Sign in to use this feature.

Years

Between: -

Subjects

remove_circle_outline
remove_circle_outline
remove_circle_outline
remove_circle_outline
remove_circle_outline
remove_circle_outline
remove_circle_outline
remove_circle_outline
remove_circle_outline

Journals

remove_circle_outline
remove_circle_outline
remove_circle_outline
remove_circle_outline
remove_circle_outline
remove_circle_outline
remove_circle_outline

Article Types

Countries / Regions

remove_circle_outline
remove_circle_outline
remove_circle_outline
remove_circle_outline
remove_circle_outline
remove_circle_outline

Search Results (258)

Search Parameters:
Keywords = classification of context awareness

Order results
Result details
Results per page
Select all
Export citation of selected articles as:
23 pages, 2737 KB  
Article
Multimodal and Explainable Deep Learning for Occupational Accident Classification Using Transformer-LSTM Architectures
by Esin Ayşe Zaimoğlu
Buildings 2026, 16(9), 1642; https://doi.org/10.3390/buildings16091642 - 22 Apr 2026
Abstract
Occupational safety analytics is increasingly moving toward data-driven methodologies; however, existing models often struggle to capture the multidimensional nature of accident causation. This study presents a multimodal Hybrid Transformer-LSTM framework for classifying occupational fatalities by jointly modeling unstructured narratives, cyclical temporal features, and [...] Read more.
Occupational safety analytics is increasingly moving toward data-driven methodologies; however, existing models often struggle to capture the multidimensional nature of accident causation. This study presents a multimodal Hybrid Transformer-LSTM framework for classifying occupational fatalities by jointly modeling unstructured narratives, cyclical temporal features, and regional spatial indicators. Utilizing a large-scale dataset of 14,914 OSHA fatality records, the proposed architecture leverages BERT-based embeddings for semantic extraction and Bidirectional LSTMs as non-linear pattern encoders for spatiotemporal context. Conceptually grounded in the Swiss Cheese Model, the framework treats different data modalities as proxies for distinct layers of system risk, ranging from proximal unsafe acts to environmental preconditions. Experimental results show that the multimodal architecture achieves an accuracy of 84.56%, representing a 5.33% gain over unimodal BERT baselines. To address the inherent “black-box” nature of deep learning, a SHAP-based explainability framework is incorporated to quantify the contributions of both textual tokens and environmental features to the model’s decision-making process. The results indicate that integrating narrative semantics with temporal and spatial context enhances discriminative performance and enables context-aware classification within a weakly supervised setting. By providing a scalable and interpretable classification framework, this study offers a data-driven decision-support approach for safety professionals and regulatory bodies seeking to implement evidence-based risk management strategies in high-risk industrial sectors. Full article
(This article belongs to the Section Construction Management, and Computers & Digitization)
Show Figures

Figure 1

30 pages, 2584 KB  
Article
A Context-Adaptive Gated Embedding Framework for Advanced Clinical Decision-Making
by Donghyeon Kim, Daeho Kim and Okran Jeong
Mathematics 2026, 14(8), 1397; https://doi.org/10.3390/math14081397 - 21 Apr 2026
Abstract
In intensive care units, large-scale clinical time-series data are continuously accumulated through electronic medical records and bedside monitoring systems. However, direct utilization of such data for clinical decision-making remains challenging due to irregular sampling, pervasive missingness, unstructured diagnostic information, and incomplete ICD labeling. [...] Read more.
In intensive care units, large-scale clinical time-series data are continuously accumulated through electronic medical records and bedside monitoring systems. However, direct utilization of such data for clinical decision-making remains challenging due to irregular sampling, pervasive missingness, unstructured diagnostic information, and incomplete ICD labeling. Automated ICD coding constitutes an extreme multi-class classification problem with thousands of long-tailed categories, while intervention prediction tasks, such as mechanical ventilation management, involve rare transition events and severe class imbalance. To address these challenges, we propose CAGE, a hierarchical Clinical Decision Support System framework that integrates diagnosis, time-series signals, and intervention prediction. The framework first infers admission-level diagnostic context using a partial-label Automated ICD Coding module that combines DCNv2 with an Adaptive CLPL loss, producing probability-weighted diagnostic embeddings. These embeddings are subsequently fused with ICU time-series tensors and processed by a multi-branch Temporal Convolutional Network equipped with an ICD-conditioned gating mechanism to predict future ventilation state transitions. The experimental results demonstrate that DCNv2 achieves consistent superiority across all hit@k and probability concentration metrics for ICD coding. For intervention prediction, the proposed method substantially outperforms existing baselines, achieving a Macro-AUC of 98.2, Macro-AUPRC of 77.4, and F1-score of 79.4. These findings indicate that reinjecting diagnostic context as a conditioning variable, together with imbalance-aware loss design, effectively enhances rare-event detection and improves the practical applicability of clinical decision support systems. Full article
(This article belongs to the Section E1: Mathematics and Computer Science)
Show Figures

Figure 1

36 pages, 4902 KB  
Article
PFEB: A Post-Fusion Enhanced Decoder Module for Remote Sensing Semantic Segmentation
by Dongjie Lian, Gang Chen, Biao Wu and Feifan Yang
Remote Sens. 2026, 18(8), 1246; https://doi.org/10.3390/rs18081246 - 20 Apr 2026
Abstract
Remote sensing semantic segmentation is fundamental to applications such as land-cover mapping, urban analysis, and environmental monitoring. However, remote sensing scenes often exhibit pronounced scale variation, fragmented regions, dense small objects, and complex boundary transitions, making fine-grained prediction particularly challenging. Transformer-based architectures such [...] Read more.
Remote sensing semantic segmentation is fundamental to applications such as land-cover mapping, urban analysis, and environmental monitoring. However, remote sensing scenes often exhibit pronounced scale variation, fragmented regions, dense small objects, and complex boundary transitions, making fine-grained prediction particularly challenging. Transformer-based architectures such as SegFormer have demonstrated a strong capability in modeling long-range context through hierarchical encoding, yet their lightweight decoders mainly rely on linear projection and feature fusion, providing limited capacity for local refinement after multi-scale aggregation. This limitation may reduce spatial precision in boundary-sensitive and small-object-rich regions. To address this issue, we propose the Post-fusion Enhanced Block (PFEB), a lightweight decoder-side refinement module inserted after multi-scale feature fusion and before pixel-wise classification. PFEB combines channel expansion, depthwise and pointwise convolutions, efficient channel attention (ECA), and residual learning to enhance local semantic refinement while largely preserving computational efficiency. Built upon SegFormer, the proposed method was evaluated on two widely used remote sensing benchmarks, i.e., LoveDA and ISPRS Vaihingen, under both Mix Transformer-B0 (MiT-B0) and Mix Transformer-B2 (MiT-B2) backbones. Experimental results show that PFEB consistently improves the SegFormer baseline across datasets and model scales. Under MiT-B2 backbone, our method achieves 53.82 ± 0.31 mean intersection over union (mIoU) on LoveDA and 74.84 ± 0.41 mIoU on ISPRS Vaihingen. Boundary- and size-aware evaluations further indicate that the gains are mainly reflected in improved semantic correctness near boundaries and in the recoverability of small objects. With only modest additional cost (approximately +0.53 M parameters and +8.7 G floating point operations (FLOPs)), PFEB provides a favorable accuracy–efficiency trade-off. These results suggest that PFEB is an effective and lightweight post-fusion refinement module for improving fine-grained remote sensing semantic segmentation. Full article
Show Figures

Figure 1

46 pages, 8497 KB  
Article
MS-DARNet: A Lightweight Multi-Scale Selective Dilated Attention Residual Network for Remote Sensing Scene Classification
by Jiawei Huang and Chengjun Xu
Remote Sens. 2026, 18(8), 1235; https://doi.org/10.3390/rs18081235 - 19 Apr 2026
Viewed by 101
Abstract
High-resolution remote sensing image (HRRSI) scene classification faces challenges such as significant target scale variations, complex background interference, and the difficult spatial parsing of dense objects (such as tightly packed buildings in dense residential areas or scattered aircraft on aprons), while existing models [...] Read more.
High-resolution remote sensing image (HRRSI) scene classification faces challenges such as significant target scale variations, complex background interference, and the difficult spatial parsing of dense objects (such as tightly packed buildings in dense residential areas or scattered aircraft on aprons), while existing models struggle to balance computational efficiency and classification accuracy. To address these issues, this paper proposes a lightweight Multi-Scale Selective Dilated Attention Residual Network (MS-DARNet). The model utilizes a Multi-branch Dilated Feature Extraction (MDFE) module, employing parallel convolutional branches with varying dilation rates to dynamically expand the receptive field and collaboratively extract multi-scale features without increasing parameter counts. Furthermore, a Context-Position Aware Attention (CPAA) module is introduced, combining a large kernel decomposition strategy to suppress irrelevant background noise with direction-aware feature aggregation to retain precise spatial coordinates for dense objects. Extensive experiments on the AID, NWPU-RESISC45, and RSD-WHU46 datasets show that MS-DARNet achieves superior classification accuracies of 97.78%, 94.53%, and 94.55%, respectively. Concurrently, it maintains a significantly low complexity of just 2.50 M parameters and 0.5940 GMACs. These findings demonstrate that MS-DARNet effectively achieves an optimal balance between lightweight architecture and exceptional classification performance for complex remote sensing scenes. Full article
35 pages, 5529 KB  
Article
Occasion-Based Clothing Classification Using Vision Transformer and Traditional Machine Learning Models
by Hanaa Alzahrani, Maram Almotairi and Arwa Basbrain
Computers 2026, 15(4), 249; https://doi.org/10.3390/computers15040249 - 17 Apr 2026
Viewed by 205
Abstract
Clothing classification by occasion is an important area in computer vision and artificial intelligence (AI). This task is particularly challenging because of the subtle visual similarities among clothing categories such as formal, party, and casual attire. Variations in color, fabric, patterns, and lighting [...] Read more.
Clothing classification by occasion is an important area in computer vision and artificial intelligence (AI). This task is particularly challenging because of the subtle visual similarities among clothing categories such as formal, party, and casual attire. Variations in color, fabric, patterns, and lighting further increase the complexity of this task. To address this challenge, we used the Fashionpedia dataset to create a balanced subset of 15,000 images. Specifically, we adopted two different methods for labeling these images: automated classification, which relies on category identifications (IDs) and components, and manual labeling performed by human annotators. We then implemented our preprocessing pipeline, which includes several steps: resizing, image normalization, background removal using segmentation masks, and class balancing. We benchmarked traditional models, including artificial neural networks (ANNs), support vector machines (SVMs), and k-nearest neighbors (KNNs), which use a histogram of oriented gradient (HOG) features, as well as deep learning models such as convolutional neural networks (CNNs), the Visual Geometry Group 16 (VGG16) model utilizing transfer learning, and the vision transformer (ViT) model, all evaluated using identical data splits and preprocessing procedures. The traditional models achieved moderate accuracy, ranging from 54% to 66%. In contrast, the ViT model achieved an accuracy of 81.78% with automated classification and 98.09% with manual labeling. This indicates that a higher label accuracy, along with the preprocessing steps used, significantly enhances the performance. Together, these factors improve the effectiveness of ViT in context-aware apparel classification and establish a reliable baseline for future research. Full article
(This article belongs to the Special Issue Machine Learning: Innovation, Implementation, and Impact)
Show Figures

Figure 1

21 pages, 951 KB  
Article
Transformer-Based Emotion and Conflict Analysis of Disaster-Related Social Media: An Actor-Aware Decision Support Framework
by Mesut Toğaçar, Serpil Aslan, Ayşe Meydanoğlu, Emirhan Denizyol, Abdurrezzak Ekidi, Tuncay Karateke, Yunus Emre Temiz, Beyzade Nadir Çetin, Ramazan Erten, Hatice Çakmak and Enes Saylan
Appl. Sci. 2026, 16(8), 3877; https://doi.org/10.3390/app16083877 (registering DOI) - 16 Apr 2026
Viewed by 233
Abstract
Social media platforms have become critical communication environments during disasters, where individuals express emotions, share information, and engage in public discourse. These platforms also reflect heterogeneous communication patterns shaped by different actor groups. However, existing studies predominantly focus on emotion classification and often [...] Read more.
Social media platforms have become critical communication environments during disasters, where individuals express emotions, share information, and engage in public discourse. These platforms also reflect heterogeneous communication patterns shaped by different actor groups. However, existing studies predominantly focus on emotion classification and often overlook the combined role of actor identity and conflict dynamics. To address this gap, this study proposes an integrated AI-based analytical framework for actor-aware emotion and conflict analysis in post-disaster social media. An expert-annotated Turkish tweet dataset was constructed based on Ekman’s emotion model, including anger, fear, sadness, happiness, and surprise, along with an additional irrelevant/off-topic category and conflict-level labels. A Transformer-based model (BERTurk) was fine-tuned for multi-class emotion classification. Experimental results show that the proposed model achieves strong classification performance, with an accuracy of 0.931 and an F1-score of 0.912, outperforming conventional machine learning and deep learning baselines. Actor-based analysis reveals systematic differences in emotional and conflict patterns across groups. Scientists, journalists, and individual users exhibit higher levels of conflict and more pronounced negative emotional expressions, whereas institutionally oriented actors display comparatively balanced and supportive communication patterns. In addition, a web-based decision support system was developed to enable interactive visualization and actor-level exploration of emotional and conflict dynamics. Overall, the proposed framework provides a scalable, analytically robust approach to understanding social media discourse in disaster contexts and offers practical implications for AI-driven crisis communication and decision-support systems. Full article
(This article belongs to the Section Computing and Artificial Intelligence)
Show Figures

Figure 1

20 pages, 909 KB  
Systematic Review
Managing Water Supply Systems in Arid Regions: A Systematic Review of Optimization Techniques Under Water Scarcity
by Charles Odira Maxwell, Zablon Isaboke Oonge, Patts A. Odira, Gilbert O. Ouma, Enrica Caporali and Marco Lompi
Water 2026, 18(8), 938; https://doi.org/10.3390/w18080938 - 14 Apr 2026
Viewed by 422
Abstract
Water scarcity, climate variability, and increasing water demands are placing growing pressure on water supply and distribution systems, particularly in water-scarce environments. Optimization-based approaches have become central to improving system design, planning, and operation. This study presents a structured review of optimization techniques [...] Read more.
Water scarcity, climate variability, and increasing water demands are placing growing pressure on water supply and distribution systems, particularly in water-scarce environments. Optimization-based approaches have become central to improving system design, planning, and operation. This study presents a structured review of optimization techniques applied to water distribution systems under conditions of scarcity, intermittency, or aridity, and introduces a context-aware classification framework incorporating system scale, population, and scarcity severity. PRISMA (“Preferred Reporting Items for Systematic Reviews and Meta-Analyses”) principles are adopted. Relevant studies are identified through Scopus and Google Scholar, screened using criteria focused on system type, optimization relevance, and explicit consideration of scarcity, intermittency, or aridity, and classified by optimization stage, methodological approach, geographical context, and main findings. The review is dominated by benchmark network studies under water scarcity, while real-world applications in arid regions, such as Sub-Saharan Africa and parts of the Middle East, remain underrepresented. Deterministic least-cost designs are inadequate under water scarcity, whereas multi-objective approaches deliver more reliable systems. The review shows a mismatch between the optimization focus of the benchmark studies, which is mainly in the design phase, and the real-world applications, which mainly focus on optimization of the operations of the existing systems. Full article
(This article belongs to the Special Issue Optimal Design of Water Distribution Systems)
Show Figures

Figure 1

33 pages, 7834 KB  
Article
Frequency-Domain Decoupling and Multi-Dimensional Spatial Feature Reconstruction for Occlusion-Aware Apple Detection in Complex Semi-Structured Orchard Environments
by Long Gao, Pengfei Wang, Lixing Liu, Hongjie Liu, Jianping Li and Xin Yang
Agronomy 2026, 16(8), 790; https://doi.org/10.3390/agronomy16080790 - 12 Apr 2026
Viewed by 410
Abstract
Apple detection is a core perception task for harvesting robots operating in complex orchard environments. Targets are frequently affected by branch–foliage occlusion, alternating front/side/back lighting, and strong local illumination fluctuations, which blur object boundaries against background textures and substantially increase detection difficulty. To [...] Read more.
Apple detection is a core perception task for harvesting robots operating in complex orchard environments. Targets are frequently affected by branch–foliage occlusion, alternating front/side/back lighting, and strong local illumination fluctuations, which blur object boundaries against background textures and substantially increase detection difficulty. To improve target perception under these conditions, we propose an improved detector, YOLOv11-CBMES. First, based on YOLOv11, we replace the original neck with a weighted BiFPN to enhance cross-scale feature fusion under occlusion. Second, we introduce a Contrast-Driven Feature Aggregation (CDFA) module at the P5 stage, using Haar wavelet decomposition to decouple low-frequency illumination components from high-frequency structural components. Third, we reconstruct spatial feature learning and the upsampling pathway using CSP-based multi-scale blocks and efficient upsampling blocks, and embed a zero-parameter Shift-Context strategy to strengthen local neighbourhood interaction. Finally, we formulate apple detection as a three-class occlusion classification task (No Occlusion, Soft Occlusion, and Hard Occlusion) to support occlusion-aware target recognition. On the apple occlusion dataset, YOLOv11-CBMES achieves mAPNO = 83.50%, mAPSO = 67.36%, and mAPHO = 51.90% at IoU = 0.5. Compared with YOLOv11n under the same training protocol, the gains are +2.16 pp (NO), +3.68 pp (SO), and +5.31 pp (HO), with the largest improvement observed in Hard Occlusion (HO). The results indicate that introducing frequency-domain structural processing into the detection framework improves apple occlusion classification and object detection performance, and provides a theoretical basis for designing perception modules for end-effector operations in apple harvesting robots. Full article
Show Figures

Figure 1

17 pages, 811 KB  
Article
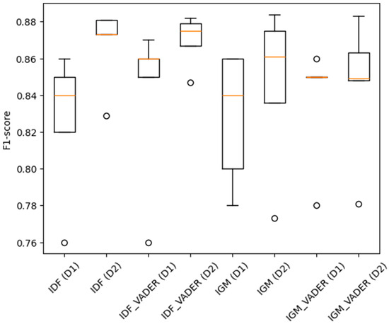
A Hybrid Feature-Weighting and Resampling Model for Imbalanced Sentiment Analysis in User Game Reviews
by Thao-Trang Huynh-Cam, Long-Sheng Chen, Hsuan-Jung Huang and Hsiu-Chia Ko
Mathematics 2026, 14(8), 1273; https://doi.org/10.3390/math14081273 - 11 Apr 2026
Viewed by 204
Abstract
Sentiment analysis of online game reviews has increasingly become important in understanding player experiences and supporting data-driven game development. However, research in this domain has continuously faced two unresolved challenges: (1) the extreme imbalance between positive and negative feedback, and (2) the inefficiency [...] Read more.
Sentiment analysis of online game reviews has increasingly become important in understanding player experiences and supporting data-driven game development. However, research in this domain has continuously faced two unresolved challenges: (1) the extreme imbalance between positive and negative feedback, and (2) the inefficiency of existing feature-weighting schemes in capturing sentiment signals embedded in informal gaming discourses. Prior works demonstrated that negative feedback—though a few in number are highly influential—usually contain richer emotional content and longer textual structures; yet, prevailing classification models often perform poorly for these minorities (i.e., negative feedback). Numerous studies explored multimodal imbalance issues, class imbalance in cross-lingual ABSA (Aspect-Based Sentiment Analysis), reinforcement-learning-based architectures for imbalanced extraction tasks, and oversampling strategies like SMOTE (Synthetic Minority Over-sampling Technique) variants. Few investigations specifically addressed imbalanced sentiment classification in the contexts of online game reviews, where user-generated content exhibits unique lexical, structural, and emotional characteristics. To address these gaps, this study integrated TF-IDF (Term Frequency-Inverse Document Frequency), VADER (Valence Aware Dictionary and Sentiment Reasoner) lexicon features, and IGM (Inverse Gravity Moment) weightings with advanced oversampling methods such as ADASYN (Adaptive Synthetic Sampling Approach for Imbalanced Learning) and Borderline-SMOTE to improve the detection of minority sentiment classes. Ensemble models, including XGBoost (Extreme Gradient Boosting) and LightGBM (Light Gradient-Boosting Machine), were further employed to enhance the robustness of imbalance. Using a large-scale dataset of Steam game reviews, the proposed framework demonstrated substantial improvement in identifying negative sentiments, addressing a critical limitation in the existing computational game-analysis literature, and advancing the modeling for detecting the emotion-rich but imbalance-prone user feedback. Full article
Show Figures

Figure 1

34 pages, 10089 KB  
Article
GateProtoNet: A Compute-Aware Two-Stage Hybrid Framework with Prototype Evidence and Faithfulness-Verified Explainability for Wheat and Cotton Leaf Disease Classification
by Muhammad Irfan Sharif, Yong Zhong, Muhammad Zaheer Sajid and Francesco Marinello
AgriEngineering 2026, 8(4), 152; https://doi.org/10.3390/agriengineering8040152 - 10 Apr 2026
Viewed by 350
Abstract
Accurate diagnosis of wheat leaf diseases in real farming conditions requires models that are not only highly accurate but also computationally efficient and interpretable for practical deployment on edge devices. We propose GateProtoNet (GPN), a two-stage, compute-aware, and explainable framework for multi-class leaf [...] Read more.
Accurate diagnosis of wheat leaf diseases in real farming conditions requires models that are not only highly accurate but also computationally efficient and interpretable for practical deployment on edge devices. We propose GateProtoNet (GPN), a two-stage, compute-aware, and explainable framework for multi-class leaf disease recognition. Stage-1 performs ultra-light healthy-versus-diseased screening, enabling early exit for healthy samples and substantially reducing average expected inference cost. For diseased samples, Stage-2 applies a novel hybrid backbone featuring a frequency-factorized Discrete Wavelet Transform (DWT) stem, parallel micro-lesion convolutional encoding for fine texture patterns, and a linear token mixer for global context modeling. A cross-gated fusion module adaptively integrates local and global evidence with minimal computational overhead. To ensure trustworthy predictions, GPN introduces a prototype evidence head that performs classification via similarity to learned class prototypes, providing human-interpretable explanations, along with a faithfulness constraint that enforces explanation reliability by measuring confidence degradation under salient region removal. Rigorous evaluation on four publicly available wheat and cotton leaf disease datasets demonstrate that GateProtoNet achieves 99.2% classification accuracy, 99.1% macro-F1 score, and 99.3% AUC, significantly outperforming existing CNN, transformer, and hybrid baselines while requiring substantially fewer parameters and FLOPs. The two-stage inference strategy reduces average computational cost by avoiding full model execution on healthy leaves, enabling real-time, on-device diagnosis for resource-constrained agricultural environments. Full article
Show Figures

Figure 1

18 pages, 894 KB  
Article
A Generative Approach to Enhancing Forums Through SVM-Based Spam Detection
by Jose Antonio Rivera-Hernandez, Liliana Ibeth Barbosa-Santillán and Juan Jaime Sánchez-Escobar
Data 2026, 11(4), 78; https://doi.org/10.3390/data11040078 - 8 Apr 2026
Viewed by 564
Abstract
Spam consists of unsolicited messages, and the posting of such irrelevant messages often presents significant challenges in technical forums. Two particular challenges are the dynamic nature of spamming tactics and the inadequacy of adaptable spam databases for automated classifiers. Our work addresses the [...] Read more.
Spam consists of unsolicited messages, and the posting of such irrelevant messages often presents significant challenges in technical forums. Two particular challenges are the dynamic nature of spamming tactics and the inadequacy of adaptable spam databases for automated classifiers. Our work addresses the need for a robust spam classification solution that can be seamlessly integrated with database, SQL, and APEX applications. We developed a labeled spam database by asking experts to categorize 1916 posts as spam or regular posts to ensure accurate classification and then created an SVM-based spam classification model that achieves an average validation accuracy of 90%. Our research enhances the current understanding of spam in technical forums and represents a solution for embedding spam classifiers into widely used platforms with an accuracy of 98.1%. Furthermore, we explore the incorporation of generative topics into our approach by integrating generative topic modeling techniques, such as latent Dirichlet allocation. In our work, the spam classifier is dynamically updated to account for emerging spam patterns and topics based on a generative approach that improves the robustness of the classifier against new spamming tactics and enables nuanced, context-aware filtering of messages. In addition, our experiments highlight the potential of text SVM classifiers for real-time applications through the fine-tuning of text features. Full article
Show Figures

Figure 1

18 pages, 2634 KB  
Article
Evidence-Grounded LLM Summarization for Actionable Student Feedback Analysis
by Zhanerke Baimukanova, Yerassyl Saparbekov, Hyesong Ha and Minho Lee
Information 2026, 17(4), 351; https://doi.org/10.3390/info17040351 - 7 Apr 2026
Viewed by 316
Abstract
Analyzing large-scale student feedback is critical for higher education quality assurance, yet manual analysis is inefficient and subjective. This paper proposes an integrated framework that unifies supervised classification, unsupervised clustering, and retrieval-augmented generation (RAG) to produce evidence-grounded and actionable insights. Ensemble-based supervised models [...] Read more.
Analyzing large-scale student feedback is critical for higher education quality assurance, yet manual analysis is inefficient and subjective. This paper proposes an integrated framework that unifies supervised classification, unsupervised clustering, and retrieval-augmented generation (RAG) to produce evidence-grounded and actionable insights. Ensemble-based supervised models perform thematic classification, while multi-encoder embedding fusion enables unsupervised discovery of coherent feedback clusters. A multi-stage RAG module integrates category predictions and cluster structure to retrieve representative evidence and generate transparent summaries with citation traceability. The framework is evaluated on student feedback collected from a Central Asian university and two public benchmarks, EduRABSA and Coursera course reviews, covering seven thematic categories. The supervised ensemble achieves 83.0% accuracy and 0.829 Macro-F1 on the primary dataset, while unsupervised clustering attains a silhouette score of 0.271 under the best fusion strategy. Independent evaluation on external benchmarks yields ensemble accuracy of 81.1% on EduRABSA and 49.8% on Coursera, confirming the framework’s adaptability across diverse educational contexts. By leveraging supervised labels and unsupervised structure, the proposed framework enables evidence-grounded, category-aware LLM-based summaries that faithfully reflect the diversity and distribution of student feedback and support actionable educational decision-making. Full article
(This article belongs to the Special Issue AI Technology-Enhanced Learning and Teaching)
Show Figures

Figure 1

29 pages, 423 KB  
Article
Reliability-Aware Multilingual Sentiment Analytics for Agricultural Market Intelligence
by Jantima Polpinij, Christopher S. G. Khoo, Wei-Ning Cheng, Thananchai Khamket, Chumsak Sibunruang and Manasawee Kaenampornpan
Mathematics 2026, 14(7), 1220; https://doi.org/10.3390/math14071220 - 5 Apr 2026
Viewed by 345
Abstract
Public opinion on online platforms now plays an important role in agricultural markets, which have always been unpredictable. Although sentiment analysis has been widely applied to agricultural texts, most existing studies typically focus only on classification accuracy without connecting results to actual market [...] Read more.
Public opinion on online platforms now plays an important role in agricultural markets, which have always been unpredictable. Although sentiment analysis has been widely applied to agricultural texts, most existing studies typically focus only on classification accuracy without connecting results to actual market intelligence systems, especially in multilingual contexts. This paper introduces a reliability-aware transformer-based framework for analyzing sentiment in agricultural market intelligence across multiple languages. The framework leverages weakly supervised multilingual transformers to extract sentiment signals from large-scale unlabeled Thai and English texts about major agricultural commodities found online. To enhance robustness under weak supervision, the framework incorporates reliability-aware mechanisms, including confidence-based pseudo-label filtering, cross-source consistency refinement, and expert-guided calibration to reduce noise and account for bias between different data sources. Sentiment predictions are further aligned with market intelligence objectives through reliability-weighted aggregation, yielding interpretable sentiment indices that enable cross-lingual and cross-source comparability. We tested the framework extensively using a multilingual agricultural corpus derived from social media and news coverage of agriculture. The results show consistent improvements over both classical machine learning approaches and standard multilingual transformer baselines. Additional ablation studies and sensitivity analyses confirmed that reliability-aware mechanisms, particularly confidence thresholding, play a crucial role in getting the right balance between label quality and data coverage. Overall, the results indicate that reliability-aware multilingual sentiment analytics provide robust and actionable insights for agricultural market monitoring and policy analysis. Full article
(This article belongs to the Special Issue Application of Machine Learning and Data Mining, 2nd Edition)
21 pages, 5239 KB  
Article
Leakage-Free Evaluation and Multi-Prototype Contrastive Learning for Hyperspectral Classification of Vegetation
by Tong Jia and Haiyong Ding
Appl. Sci. 2026, 16(7), 3543; https://doi.org/10.3390/app16073543 - 4 Apr 2026
Viewed by 248
Abstract
Hyperspectral image (HSI) classification regarding vegetation is hampered by strong intra-class spectral variability and inter-class similarity, and commonly used random pixel splits can introduce spatial-context leakage that inflates test accuracy in patch-based models. To address these issues, we propose a classification framework that [...] Read more.
Hyperspectral image (HSI) classification regarding vegetation is hampered by strong intra-class spectral variability and inter-class similarity, and commonly used random pixel splits can introduce spatial-context leakage that inflates test accuracy in patch-based models. To address these issues, we propose a classification framework that couples a leakage-free block partition (LFBP) strategy with class-aware multi-prototype contrastive loss (CAMP-CL). LFBP assigns non-overlapping spatial blocks to training/validation/test sets and reserves a buffer matched to the patch radius to prevent contextual overlap while keeping class distributions balanced. CAMP-CL represents each class with multiple learnable prototypes and performs supervised contrastive learning at the prototype level, encouraging compact yet multimodal intra-class embedding and improved inter-class separation. Experiments conducted on the Matiwan Village airborne HSI dataset under the LFBP protocol show that the proposed method can achieve 91.51% overall accuracy (OA) and 91.49% average accuracy (AA). Compared with the strongest baseline, supervised contrastive learning (SupCon), the proposed method yields consistent gains of 1.07 percentage points (pp) in both OA and AA while improving OA by 5.76 pp over the cross-entropy baseline. The results suggest that CAMP-CL is beneficial for addressing the challenges of HSI classification for fine-grained vegetation, while leakage-free evaluation protocols are important for obtaining more reliable performance estimates in practical settings. Full article
(This article belongs to the Section Computing and Artificial Intelligence)
Show Figures

Figure 1

34 pages, 56063 KB  
Article
Deep Learning-Based Intelligent Analysis of Rock Thin Sections: From Cross-Scale Lithology Classification to Grain Segmentation for Quantitative Fabric Characterization
by Wenhao Yang, Ang Li, Liyan Zhang and Xiaoyao Qin
Electronics 2026, 15(7), 1509; https://doi.org/10.3390/electronics15071509 - 3 Apr 2026
Viewed by 390
Abstract
Quantitative microstructure evaluation of sedimentary rock thin sections is essential for revealing reservoir flow mechanisms and assessing reservoir quality. However, traditional manual identification is inefficient and prone to subjectivity. Although current deep learning approaches have improved efficiency, most remain confined to single tasks [...] Read more.
Quantitative microstructure evaluation of sedimentary rock thin sections is essential for revealing reservoir flow mechanisms and assessing reservoir quality. However, traditional manual identification is inefficient and prone to subjectivity. Although current deep learning approaches have improved efficiency, most remain confined to single tasks and lack a pathway to translate image recognition into quantifiable geological parameters. Moreover, these methods struggle with cross-scale feature extraction and accurate grain boundary localization in complex textures. To overcome these limitations, this study proposes a three-stage automated analysis framework integrating intelligent lithology identification, sandstone grain segmentation, and quantitative analysis of fabric parameters. To address scale discrepancies in lithology discrimination, Rock-PLionNet integrates a Partial-to-Whole Context Fusion (PWC-Fusion) module and the Lion optimizer, which mitigates cross-scale feature inconsistencies and enables accurate screening of target sandstone samples. Subsequently, to correct boundary deviations caused by low contrast and grain adhesion, the PetroSAM-CRF strategy integrates polarization-aware enhancement with dense conditional random field (DenseCRF)-based probabilistic refinement to extract precise grain contours. Based on these outputs, the framework automatically calculates key fabric parameters, including grain size and roundness. Experiments on 3290 original multi-source thin-section images show that Rock-PLionNet achieves a classification accuracy of 96.57% on the test set. Furthermore, PetroSAM-CRF reduces segmentation bias observed in general-purpose models under complex texture conditions, enabling accurate parameter estimation with a roundness error of 2.83%. Overall, this study presents an intelligent workflow linking microscopic image recognition with quantitative analysis of geological fabric parameters, providing a practical pathway for digital petrographic evaluation in hydrocarbon exploration. Full article
Show Figures

Figure 1

Back to TopTop