Sign in to use this feature.

Years

Between: -

Subjects

remove_circle_outline
remove_circle_outline
remove_circle_outline
remove_circle_outline
remove_circle_outline
remove_circle_outline
remove_circle_outline
remove_circle_outline
remove_circle_outline

Journals

remove_circle_outline
remove_circle_outline
remove_circle_outline
remove_circle_outline

Article Types

Countries / Regions

remove_circle_outline
remove_circle_outline
remove_circle_outline
remove_circle_outline

Search Results (235)

Search Parameters:
Keywords = class weight balancing

Order results
Result details
Results per page
Select all
Export citation of selected articles as:
24 pages, 4461 KB  
Article
SD-CVD Corpus: Towards Robust Detection of Fine-Grained Cyber-Violence Across Saudi Dialects in Online Platforms
by Abrar Alsayed, Salma Elhag and Sahar Badri
Information 2026, 17(1), 76; https://doi.org/10.3390/info17010076 - 12 Jan 2026
Viewed by 71
Abstract
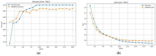
This paper introduces Saudi Dialects Cyber Violence Detection (SD-CVD) corpus, a large-scale, class-balanced Saudi-dialect corpus for fine-grained cyber violence detection on online platforms. The dataset contains 88,687 Saudi Arabic tweets annotated using a three-level hierarchical scheme that assigns each tweet to one of [...] Read more.
This paper introduces Saudi Dialects Cyber Violence Detection (SD-CVD) corpus, a large-scale, class-balanced Saudi-dialect corpus for fine-grained cyber violence detection on online platforms. The dataset contains 88,687 Saudi Arabic tweets annotated using a three-level hierarchical scheme that assigns each tweet to one of 11 mutually exclusive classes, covering benign sentiment (positive, neutral, negative), cyberbullying, and seven hate-speech subtypes (incitement to violence, gender, national, social class, tribal, religious, and regional discrimination). To mitigate the class imbalance common in Arabic cyber violence datasets, data augmentation was applied to achieve a near-uniform class distribution. Annotation quality was ensured through multi-stage review, yielding excellent inter-annotator agreement (Fleiss’ κ > 0.89). We evaluate three modeling paradigms: traditional machine learning with TF–IDF and n-gram features (SVM, logistic regression, random forest), deep learning models trained on fixed sentence embeddings (LSTM, RNN, MLP, CNN), and fine-tuned transformer models (AraBERTv02-Twitter, CAMeLBERT-MSA). Experimental results show that transformers perform best, with AraBERTv02-Twitter achieving the highest weighted F1-score (0.882) followed by CAMeLBERT-MSA (0.869). Among non-transformer baselines, SVM is most competitive (0.853), while CNN performs worst (0.561). Overall, SD-CVD provides a high-quality benchmark and strong baselines to support future research on robust and interpretable Arabic cyber-violence detection. Full article
Show Figures

Figure 1

23 pages, 998 KB  
Article
A SIEM-Integrated Cybersecurity Prototype for Insider Threat Anomaly Detection Using Enterprise Logs and Behavioural Biometrics
by Mohamed Salah Mohamed and Abdullahi Arabo
Electronics 2026, 15(1), 248; https://doi.org/10.3390/electronics15010248 - 5 Jan 2026
Viewed by 288
Abstract
Insider threats remain a serious concern for organisations in both public and private sectors. Detecting anomalous behaviour in enterprise environments is critical for preventing insider incidents. While many prior studies demonstrate promising results using deep learning on offline datasets, few address real-time operationalisation [...] Read more.
Insider threats remain a serious concern for organisations in both public and private sectors. Detecting anomalous behaviour in enterprise environments is critical for preventing insider incidents. While many prior studies demonstrate promising results using deep learning on offline datasets, few address real-time operationalisation or calibrated alert control within a Security Information and Event Management (SIEM) workflow. This paper presents a SIEM-integrated prototype that fuses the Computer Emergency Response Team Insider Threat Test Dataset (CERT) enterprise logs (Logon, Device, HTTP, and Email) with behavioural biometrics from the Balabit mouse dynamics dataset. Per-modality one-dimensional convolutional neural network (1D CNN) branches are trained independently using imbalance-aware strategies, including downsampling, class weighting, and focal loss. A unified 20 × N feature schema ensures train–serve parity and consistent feature validation during live inference. Post-training calibration using Platt and isotonic regression enables analyst-controlled threshold tuning and stable alert budgeting inside the SIEM. The models are deployed in Splunk’s Machine Learning Toolkit (MLTK), where dashboards visualise anomaly timelines, risky users or hosts, and cross-stream overlaps. Evaluation emphasises operational performance, precision–recall balance, calibration stability, and throughput rather than headline accuracy. Results show calibrated, controllable alert volumes: for Device, precision ≈0.70 at recall ≈0.30 (PR-AUC = 0.468, ROC-AUC = 0.949); for Logon, ROC-AUC = 0.936 with an ultra-low false-positive rate at a conservative threshold. Batch CPU inference sustains ≈70.5 k windows/s, confirming real-time feasibility. This study’s main contribution is to demonstrate a calibrated, multi-modal CNN framework that integrates directly within a live SIEM pipeline. It provides a reproducible path from offline anomaly detection research to Security Operations Centre (SOC)-ready deployment, bridging the gap between academic models and operational Cybersecurity practice. Full article
(This article belongs to the Special Issue AI in Cybersecurity, 2nd Edition)
Show Figures

Figure 1

26 pages, 1071 KB  
Article
FC-SBAAT: A Few-Shot Image Classification Approach Based on Feature Collaboration and Sparse Bias-Aware Attention in Transformers
by Min Wang, Chengyu Yang, Lin Sha, Jiaqi Li and Shikai Tang
Symmetry 2026, 18(1), 95; https://doi.org/10.3390/sym18010095 - 5 Jan 2026
Viewed by 228
Abstract
Few-shot classification aims to generalize from very limited samples, providing an effective solution for data-scarce scenarios. From a symmetry viewpoint, an ideal Few-Shot classifier should be invariant to class permutations and treat support and query features in a balanced manner, preserving intra-class cohesion [...] Read more.
Few-shot classification aims to generalize from very limited samples, providing an effective solution for data-scarce scenarios. From a symmetry viewpoint, an ideal Few-Shot classifier should be invariant to class permutations and treat support and query features in a balanced manner, preserving intra-class cohesion while enlarging inter-class separation in the embedding space. However, existing methods often violate this symmetry because prototypes are estimated from few noisy samples, which induces asymmetric representations and task-dependent biases under complex inter-class relations. To address this, we propose FC-SBAAT, feature collaboration, and Sparse Bias-Aware Attention Transformer, a framework that explicitly leverages symmetry in feature collaboration and prototype construction. First, we enhance symmetric interactions between support and query samples in both attention and contrastive subspaces and adaptively fuse these complementary representations via learned weights. Second, we refine prototypes by symmetrically aggregating intra-class features with learned importance weights, improving prototype quality while maintaining intra-class symmetry and increasing inter-class discrepancy. For matching, we introduce a Sparse Bias-Aware Attention Transformer that corrects asymmetric task bias through bias-aware attention with a low computational overhead. Extensive experiments show that FC-SBAAT achieves 55.71% and 73.87% accuracy for 1-shot and 5-shot tasks on MiniImageNet and 70.37% and 83.86% on CUB, outperforming prior methods. Full article
Show Figures

Figure 1

41 pages, 2644 KB  
Article
Anatomy-Guided Hybrid CNN–ViT Model with Neuro-Symbolic Reasoning for Early Diagnosis of Thoracic Diseases Multilabel
by Naif Almughamisi, Gibrael Abosamra, Adnan Albar and Mostafa Saleh
Diagnostics 2026, 16(1), 159; https://doi.org/10.3390/diagnostics16010159 - 4 Jan 2026
Viewed by 288
Abstract
Background/Objectives: The clinical adoption of AI in radiology requires models that balance high accuracy with interpretable, anatomically plausible reasoning. This study presents an integrated diagnostic framework that addresses this need by unifying a hybrid deep-learning architecture with explicit anatomical guidance and neuro-symbolic [...] Read more.
Background/Objectives: The clinical adoption of AI in radiology requires models that balance high accuracy with interpretable, anatomically plausible reasoning. This study presents an integrated diagnostic framework that addresses this need by unifying a hybrid deep-learning architecture with explicit anatomical guidance and neuro-symbolic inference. Methods: The proposed system employs a dual-path model: an enhanced EfficientNetV2 backbone extracts hierarchical local features, whereas a refined Vision Transformer captures global contextual dependencies across the thoracic cavity. These representations are fused and critically disciplined through auxiliary segmentation supervision using CheXmask. This anchors the learned features to lung and cardiac anatomy, reducing reliance on spurious artifacts. This anatomical basis is fundamental to the interpretability pipeline. It confines Gradient-weighted Class Activation Mapping (Grad-CAM) visual explanations to clinically valid regions. Then, a novel neuro-symbolic reasoning layer is introduced. Using a fuzzy logic engine and radiological ontology, this module translates anatomically aligned neural activations into structured, human-readable diagnostic statements that explicitly articulate the model’s clinical rationale. Results: Evaluated on the NIH ChestX-ray14 dataset, the framework achieved a macro-AUROC of 0.9056 and a macro-accuracy of 93.9% across 14 pathologies, with outstanding performance on emphysema (0.9694), hernia (0.9711), and cardiomegaly (0.9589). The model’s generalizability was confirmed through external validation on the CheXpert dataset, yielding a macro-AUROC of 0.85. Conclusions: This study demonstrates a cohesive path toward clinically transparent and trustworthy AI by seamlessly integrating data-driven learning with anatomical knowledge and symbolic reasoning. Full article
(This article belongs to the Special Issue Artificial Intelligence for Health and Medicine)
Show Figures

Figure 1

24 pages, 29209 KB  
Article
WSI-GT: Pseudo-Label Guided Graph Transformer for Whole-Slide Histology
by Zhongao Sun, Alexander Khvostikov, Andrey Krylov, Ilya Mikhailov and Pavel Malkov
Mach. Learn. Knowl. Extr. 2026, 8(1), 8; https://doi.org/10.3390/make8010008 - 29 Dec 2025
Viewed by 263
Abstract
Whole-slide histology images (WSIs) can exceed 100 k × 100 k pixels, making direct pixel-level segmentation infeasible and requiring patch-level classification as a practical alternative for downstream WSI segmentation. However, most approaches either treat patches independently, ignoring spatial and biological context, or rely [...] Read more.
Whole-slide histology images (WSIs) can exceed 100 k × 100 k pixels, making direct pixel-level segmentation infeasible and requiring patch-level classification as a practical alternative for downstream WSI segmentation. However, most approaches either treat patches independently, ignoring spatial and biological context, or rely on deep graph models prone to oversmoothing and loss of local tissue detail. We present WSI-GT (Pseudo-Label Guided Graph Transformer), a simple yet effective architecture that addresses these challenges and enables accurate WSI-level tissue segmentation. WSI-GT combines a lightweight local graph convolution block for neighborhood feature aggregation with a pseudo-label guided attention mechanism that preserves intra-class variability and mitigates oversmoothing. To cope with sparse annotations, we introduce an area-weighted sampling strategy that balances class representation while maintaining tissue topology. WSI-GT achieves a Macro F1 of 0.95 on PATH-DT-MSU WSS2v2, improving by up to 3 percentage points over patch-based CNNs and by about 2 points over strong graph baselines. It further generalizes well to the Placenta benchmark and standard graph node classification datasets, highlighting both clinical relevance and broader applicability. These results position WSI-GT as a practical and scalable solution for graph-based learning on extremely large images and for generating clinically meaningful WSI segmentations. Full article
(This article belongs to the Special Issue Deep Learning in Image Analysis and Pattern Recognition, 2nd Edition)
Show Figures

Graphical abstract

27 pages, 17269 KB  
Article
Deep Architectures Fail to Generalize: A Lightweight Alternative for Agricultural Domain Transfer in Hyperspectral Images
by Praveen Pankajakshan, Aravind Padmasanan and S. Sundar
Sensors 2026, 26(1), 174; https://doi.org/10.3390/s26010174 - 26 Dec 2025
Viewed by 313
Abstract
We present a novel framework for hyperspectral satellite image classification that explicitly balances spatial nearness with spectral similarity. The proposed method is trained on closed-set datasets, and it generalizes well to open-set agricultural scenarios that include both class distribution shifts and presence of [...] Read more.
We present a novel framework for hyperspectral satellite image classification that explicitly balances spatial nearness with spectral similarity. The proposed method is trained on closed-set datasets, and it generalizes well to open-set agricultural scenarios that include both class distribution shifts and presence of novel and absence of known classes. This scenario is reflective of real-world agricultural conditions, where geographic regions, crop types, and seasonal dynamics vary widely and labeled data are scarce and expensive. The input data are projected onto a lower-dimensional spectral manifold, and a pixel-wise classifier generates an initial class probability saliency map. A kernel-based spectral-spatial weighting strategy fuses the spatial-spectral features. The proposed approach improves the classification accuracy by 7.2215% over spectral-only models on benchmark datasets. Incorporating an additional unsupervised learning refinement step further improves accuracy, surpassing several recent state-of-the-art methods. Requiring only 1–10% labeled training data and at most two tuneable parameters, the framework operates with minimal computational overhead, qualifying it as a data-efficient and scalable few-shot learning solution. Recent deep architectures although exhibit high accuracy under data rich conditions, often show limited transferability under low-label, open-set agricultural conditions. We demonstrate transferability to new domains—including unseen crop classes (e.g., paddy), seasons, and regions (e.g., Piedmont, Italy)—without re-training. Rice paddy fields play a pivotal role in global food security but are also a significant contributor to greenhouse gas emissions, especially methane, and extent mapping is very critical. This work presents a novel perspective on hyperspectral classification and open-set adaptation, suited for sustainable agriculture with limited labels and low-resource domain generalization. Full article
(This article belongs to the Special Issue Hyperspectral Sensing: Imaging and Applications)
Show Figures

Figure 1

25 pages, 5663 KB  
Article
LENet: A Semantic Segmentation Network for Complex Landforms in Remote Sensing Imagery via Axial Semantic Modeling and Deformation-Aware Compensation
by Yaning Liu, Jing Ren, Jiakun Wang, Shaoda Li, Rui Chen, Dongsheng Zhong, Wei Zhao, Aiping Yang and Ronghao Yang
Remote Sens. 2026, 18(1), 59; https://doi.org/10.3390/rs18010059 - 24 Dec 2025
Viewed by 216
Abstract
Accurate semantic segmentation of complex landforms in remote sensing imagery is hindered by pronounced intra-class heterogeneity, blurred boundaries, and irregular geomorphic structures. To overcome these challenges, this study presents LENet (Landforms Expert Segmentation Net), a novel segmentation network that combines axial semantic modeling [...] Read more.
Accurate semantic segmentation of complex landforms in remote sensing imagery is hindered by pronounced intra-class heterogeneity, blurred boundaries, and irregular geomorphic structures. To overcome these challenges, this study presents LENet (Landforms Expert Segmentation Net), a novel segmentation network that combines axial semantic modeling with deformation-aware compensation. LENet follows an encoder–decoder framework, where the decoder integrates three key modules: the Expert Enhancement Block (EEBlock) for capturing long-range dependencies along axial directions; the Feature Expert Compensator (FEC) employing deformable convolutions with channel–spatial decoupled weights to emphasize ambiguous intra-class regions; and the Cross-Sparse Attention (CSA) mechanism that suppresses background noise via multi-rate sparsity masks and enhances intra-class consistency through cosine-similarity weighting. Experiments conducted on the PKLD plateau karst and GVLM landslide datasets demonstrate that LENet achieves IoU scores of 70.39% and 80.95% and Recall values of 83.33% and 91.38%, surpassing eight state-of-the-art methods. These results confirm that LENet effectively balances global contextual understanding and local detail refinement, providing a robust and accurate solution for complex landform segmentation in remote sensing imagery. Full article
Show Figures

Graphical abstract

43 pages, 5410 KB  
Article
GTNet: A Graph–Transformer Neural Network for Robust Ecological Health Monitoring in Smart Cities
by Mohammad Aldossary
Mathematics 2026, 14(1), 64; https://doi.org/10.3390/math14010064 - 24 Dec 2025
Viewed by 432
Abstract
Urban towns and smart city governments face increasing challenges in maintaining ecological balance as urbanization, industrial activity, and climate dynamics evolve. The degradation of ecological gardens, biodiversity parks, and waterways adversely affects ecosystem stability, air and water quality, and community well-being. Conventional urban [...] Read more.
Urban towns and smart city governments face increasing challenges in maintaining ecological balance as urbanization, industrial activity, and climate dynamics evolve. The degradation of ecological gardens, biodiversity parks, and waterways adversely affects ecosystem stability, air and water quality, and community well-being. Conventional urban ecological systems rely on reactive assessment methods that detect damage only after it occurs, leading to delayed interventions, higher maintenance costs, and irreversible environmental harm. This study introduces a Graph–Transformer Neural Network (GTNet) as a data-driven and predictive framework for sustainable urban ecological management. GTNet provides real-time estimation of smart city garden health, addressing the gap in proactive environmental monitoring. The model captures spatial relationships and contextual dependencies among multimodal environmental features using Dynamic Graph Convolutional Neural Network (DGCNN) and Vision Transformer (ViT) layers. The preprocessing pipeline integrates Principal Component Aggregation with Orthogonal Constraints (PCAOC) for dimensionality reduction, Weighted Cross-Variance Selection (WCVS) for feature relevance, and Selective Equilibrium Resampling (SER) for class balancing, ensuring robustness and interpretability across complex ecological datasets. Two new metrics, Contextual Consistency Score (CCS) and Complexity-Weighted Accuracy (CWA), are introduced to evaluate model reliability and performance under diverse environmental conditions. Experimental results on Melbourne’s multi-year urban garden datasets demonstrate that GTNet outperforms baseline models such as Predictive Clustering Trees, LSTM networks, and Random Forests, achieving an AUC of 98.9%, CCS of 0.94, and CWA of 0.96. GTNet’s scalability, predictive accuracy, and computational efficiency establish it as a powerful framework for AI-driven ecological governance. This research supports the transition of future smart cities from reactive to proactive, transparent, and sustainable environmental management. Full article
Show Figures

Figure 1

23 pages, 6012 KB  
Article
A Pseudo-Point-Based Adaptive Fusion Network for Multi-Modal 3D Detection
by Chenghong Zhang, Wei Wang, Bo Yu and Hanting Wei
Electronics 2026, 15(1), 59; https://doi.org/10.3390/electronics15010059 - 23 Dec 2025
Viewed by 203
Abstract
A 3D multi-modal detection method using a monocular camera and LiDAR has drawn much attention due to its low cost and strong applicability, making it highly valuable for autonomous driving and unmanned aerial vehicles (UAVs). However, conventional fusion approaches relying on static arithmetic [...] Read more.
A 3D multi-modal detection method using a monocular camera and LiDAR has drawn much attention due to its low cost and strong applicability, making it highly valuable for autonomous driving and unmanned aerial vehicles (UAVs). However, conventional fusion approaches relying on static arithmetic operations often fail to adapt to dynamic, complex scenarios. Furthermore, existing ROI alignment techniques, such as local projection and cross-attention, are inadequate for mitigating the feature misalignment triggered by depth estimation noise in pseudo-point clouds. To address these issues, this paper proposes a pseudo-point-based 3D object detection method that achieves biased fusion of multi-modal data. First, a meta-weight fusion module dynamically generates fusion weights based on global context, adaptively balancing the contributions of point clouds and images. Second, a module combining bidirectional cross-attention and a gating filter mechanism is introduced to eliminate the ROI feature misalignment caused by depth completion noise. Finally, a class-agnostic box fusion strategy is introduced to aggregate highly overlapping detection boxes at the decision level, improving localization accuracy. Experiments on the KITTI dataset show that the proposed method achieves APs of 92.22%, 85.03%, and 82.25% on Easy, Moderate, and Hard difficulty levels, respectively, demonstrating leading performance. Ablation studies further validate the effectiveness and computational efficiency of each module. Full article
Show Figures

Figure 1

23 pages, 9916 KB  
Article
Online Prototype Angular Balanced Self-Distillation for Non-Ideal Annotation in Remote Sensing Image Segmentation
by Hailun Liang, Haowen Zheng, Jing Huang, Hui Ma and Yanyan Liang
Remote Sens. 2026, 18(1), 22; https://doi.org/10.3390/rs18010022 - 22 Dec 2025
Viewed by 331
Abstract
This paper proposes an Online Prototype Angular Balanced Self-Distillation (OPAB) framework to address the challenges posed by non-ideal annotation in remote sensing image semantic segmentation. “Non-ideal annotation” typically refers to scenarios where long-tailed class distributions and label noise coexist in both training and [...] Read more.
This paper proposes an Online Prototype Angular Balanced Self-Distillation (OPAB) framework to address the challenges posed by non-ideal annotation in remote sensing image semantic segmentation. “Non-ideal annotation” typically refers to scenarios where long-tailed class distributions and label noise coexist in both training and testing sets. Existing methods often tackle these two issues separately, overlooking the conflict between noisy samples and minority classes as well as the unreliable early stopping caused by non-clean validation sets, which exacerbates the model’s tendency to memorize noisy samples. OPAB mitigates the imbalance problem by employing an improved bilateral-branch network (BBN) that integrates max-min angular regularization (MMA) and category-level inverse weighting to achieve balanced hyperspherical representations. The balanced hyperspherical representations further facilitate noise-clean sample separation and early stopping estimation based on large category-wise Local Intrinsic Dimensionality (LID). Moreover, OPAB introduces a bootstrap teacher label refinement strategy coupled with a student full-parameter retraining mechanism to avoid memorizing noisy samples. Experimental results on ISPRS datasets demonstrate that OPAB achieves a 2.0% mIoU improvement under non-ideal annotation conditions and achieves 89% mIoU after cross-set correction, showcasing strong robustness across different backbones and effective iterative calibration capability. Full article
(This article belongs to the Section AI Remote Sensing)
Show Figures

Figure 1

16 pages, 3051 KB  
Article
Automated Classification of Enamel Caries from Intraoral Images Using Deep Learning Models: A Diagnostic Study
by Faris Yahya I. Asiri
J. Clin. Med. 2025, 14(24), 8959; https://doi.org/10.3390/jcm14248959 - 18 Dec 2025
Viewed by 791
Abstract
Background: Dental caries is a prevalent global oral health issue. The early detection of enamel caries, the initial stage of decay, is critical to preventive dentistry but is often limited by the subjectivity and variability of conventional diagnostic methods. Objective: This study aims [...] Read more.
Background: Dental caries is a prevalent global oral health issue. The early detection of enamel caries, the initial stage of decay, is critical to preventive dentistry but is often limited by the subjectivity and variability of conventional diagnostic methods. Objective: This study aims to develop and evaluate two explainable deep learning models for the automated classification of enamel caries from intraoral images. Dataset and Methodology: A publicly available dataset of 2000 intraoral images showing early-stage enamel caries, advanced enamel caries, no-caries was used. The dataset was split into training, validation, and test sets in a 70:15:15 ratio, and data preprocessing and augmentation were applied to the training set to balance the dataset and prevent model overfitting. Two models were developed, ExplainableDentalNet, a custom lightweight CNN, and Interpretable ResNet50-SE, a fine-tuned ResNet50 model with Squeeze-and-Excitation blocks, and both were integrated with Gradient-Weighted Class Activation Mapping (Grad-CAM) for visual interpretability. Results: As evaluated on the test set, ExplainableDentalNet achieved an overall accuracy of 96.66% and a Matthews Correlation Coefficient [MCC] = 0.95, while Interpretable ResNet50-SE achieved 98.30% accuracy (MCC = 0.975). McNemar’s test indicated no significant prediction bias, with p > 0.05, and internal bootstrap and cross-validation analyses indicated stable performance. Conclusions: The proposed explainable models demonstrated high diagnostic accuracy in enamel caries classification on the studied dataset. While the present findings are promising, future clinical applications will require external validation on multi-center datasets. Full article
(This article belongs to the Special Issue Artificial Intelligence (AI) in Dental Clinical Practice)
Show Figures

Figure 1

20 pages, 1504 KB  
Article
Early Prediction of Acute Respiratory Distress Syndrome in Critically Ill Polytrauma Patients Using Balanced Random Forest ML: A Retrospective Cohort Study
by Nesrine Ben El Hadj Hassine, Sabri Barbaria, Omayma Najah, Halil İbrahim Ceylan, Muhammad Bilal, Lotfi Rebai, Raul Ioan Muntean, Ismail Dergaa and Hanene Boussi Rahmouni
J. Clin. Med. 2025, 14(24), 8934; https://doi.org/10.3390/jcm14248934 - 17 Dec 2025
Viewed by 691
Abstract
Background/Objectives: Acute respiratory distress syndrome (ARDS) represents a critical complication in polytrauma patients, characterized by diffuse lung inflammation and bilateral pulmonary infiltrates with mortality rates reaching 45% in intensive care units (ICU). The heterogeneous nature of ARDS and complex clinical presentation in severely [...] Read more.
Background/Objectives: Acute respiratory distress syndrome (ARDS) represents a critical complication in polytrauma patients, characterized by diffuse lung inflammation and bilateral pulmonary infiltrates with mortality rates reaching 45% in intensive care units (ICU). The heterogeneous nature of ARDS and complex clinical presentation in severely injured patients poses substantial diagnostic challenges, necessitating early prediction tools to guide timely interventions. Machine learning (ML) algorithms have emerged as promising approaches for clinical decision support, demonstrating superior performance compared to traditional scoring systems in capturing complex patterns within high-dimensional medical data. Based on the identified research gaps in early ARDS prediction for polytrauma populations, our study aimed to: (i) develop a balanced random forest (BRF) ML model for early ARDS prediction in critically ill polytrauma patients, (ii) identify the most predictive clinical features using ANOVA-based feature selection, and (iii) evaluate model performance using comprehensive metrics addressing class imbalance challenges. Methods: This retrospective cohort study analyzed 407 polytrauma patients admitted to the ICU of the Center of Traumatology and Major Burns of Ben Arous, Tunisia, between 2017 and 2021. We implemented a comprehensive ML pipeline that incorporates Tomek Links undersampling, ANOVA F-test feature selection for the top 10 predictive variables, and SMOTE oversampling with a conservative sampling rate of 0.3. The BRF classifier was trained with class weighting and evaluated using stratified 5-fold cross-validation. Performance metrics included AUROC, PR-AUC, sensitivity, specificity, F1-score, and Matthews correlation coefficient. Results: Among 407 patients, 43 developed ARDS according to the Berlin definition, representing a 10.57% incidence. The BRF model demonstrated exceptional predictive performance with an AUROC of 0.98, a sensitivity of 0.91, a specificity of 0.80, an F1-score of 0.84, and an MCC of 0.70. Precision–recall AUC reached 0.86, demonstrating robust performance despite class imbalance. During stratified cross-validation, AUROC values ranged from 0.93 to 0.99 across folds, indicating consistent model stability. The top 10 selected features included procalcitonin, PaO2 at ICU admission, 24-h pH, massive transfusion, total fluid resuscitation, presence of pneumothorax, alveolar hemorrhage, pulmonary contusion, hemothorax, and flail chest injury. Conclusions: Our BRF model provides a robust, clinically applicable tool for early prediction of ARDS in polytrauma patients using readily available clinical parameters. The comprehensive two-step resampling approach, combined with ANOVA-based feature selection, successfully addressed class imbalance while maintaining high predictive accuracy. These findings support integrating ML approaches into critical care decision-making to improve patient outcomes and resource allocation. External validation in diverse populations remains essential for confirming generalizability and clinical implementation. Full article
(This article belongs to the Section Respiratory Medicine)
Show Figures

Graphical abstract

20 pages, 3287 KB  
Article
Dual-Branch Superpixel and Class-Center Attention Network for Efficient Semantic Segmentation
by Yunting Zhang, Hongbin Yu, Haonan Wang, Mengru Zhou, Tao Zhang and Yeh-Cheng Chen
Sensors 2025, 25(24), 7637; https://doi.org/10.3390/s25247637 - 16 Dec 2025
Viewed by 368
Abstract
With the advancement of deep learning, image semantic segmentation has achieved remarkable progress. However, the complexity and real-time requirements of practical applications pose greater challenges for segmentation algorithms. To address these, we propose a dual-branch network guided by attention mechanisms that tackles common [...] Read more.
With the advancement of deep learning, image semantic segmentation has achieved remarkable progress. However, the complexity and real-time requirements of practical applications pose greater challenges for segmentation algorithms. To address these, we propose a dual-branch network guided by attention mechanisms that tackles common limitations in existing methods, such as coarse edge segmentation, insufficient contextual understanding, and high computational overhead. Specifically, we introduce a superpixel sampling weighting module that models pixel dependencies based on different regional affiliations, thereby enhancing the network’s sensitivity to object boundaries while preserving local features. Furthermore, a class-center attention module is designed to extract class-centered features and facilitate category-aware modeling. This module reduces the computational overhead and redundancy of traditional self-attention mechanisms, thereby improving the network’s global feature representation. Additionally, learnable parameters are employed to adaptively fuse features from both branches, enabling the network to better focus on critical information. We validate our method on three benchmark datasets (PASCAL VOC 2012, Cityscapes, and ADE20K) by comparing it with mainstream models including FCN, DeepLabV3+, and DANet, with evaluation metrics of mIoU and PA. Our method delivers superior segmentation performance in these experiments. These results underscore the effectiveness of the proposed algorithm in balancing segmentation accuracy and model efficiency. Full article
(This article belongs to the Section Sensing and Imaging)
Show Figures

Figure 1

15 pages, 497 KB  
Article
Learning Analytics with Scalable Bloom’s Taxonomy Labeling of Socratic Chatbot Dialogues
by Kok Wai Lee, Yee Sin Ang and Joel Weijia Lai
Computers 2025, 14(12), 555; https://doi.org/10.3390/computers14120555 - 15 Dec 2025
Viewed by 479
Abstract
Educational chatbots are increasingly deployed to scaffold student learning, yet educators lack scalable ways to assess the cognitive depth of these dialogues in situ. Bloom’s taxonomy provides a principled lens for characterizing reasoning, but manual tagging of conversational turns is costly and difficult [...] Read more.
Educational chatbots are increasingly deployed to scaffold student learning, yet educators lack scalable ways to assess the cognitive depth of these dialogues in situ. Bloom’s taxonomy provides a principled lens for characterizing reasoning, but manual tagging of conversational turns is costly and difficult to scale for learning analytics. We present a reproducible high-confidence pseudo-labeling pipeline for multi-label Bloom classification of Socratic student–chatbot exchanges. The dataset comprises 6716 utterances collected from conversations between a Socratic chatbot and 34 undergraduate statistics students at Nanyang Technological University. From three chronologically selected workbooks with expert Bloom annotations, we trained and compared two labeling tracks: (i) a calibrated classical approach using SentenceTransformer (all-MiniLM-L6-v2) embeddings with one-vs-rest Logistic Regression, Linear SVM, XGBoost, and MLP, followed by per-class precision–recall threshold tuning; and (ii) a lightweight LLM track using GPT-4o-mini after supervised fine-tuning. Class-specific thresholds tuned on 5-fold cross-validation were then applied in a single pass to assign high-confidence pseudo-labels to the remaining unlabeled exchanges, avoiding feedback-loop confirmation bias. Fine-tuned GPT-4o-mini achieved the highest prevalence-weighted performance (micro-F1 =0.814), whereas calibrated classical models yielded stronger balance across Bloom levels (best macro-F1 =0.630 with Linear SVM; best classical micro-F1 =0.759 with Logistic Regression). Both model families reflect the corpus skew toward lower-order cognition, with LLMs excelling on common patterns and linear models better preserving rarer higher-order labels, while results should be interpreted as a proof-of-concept given limited gold labeling, the approach substantially reduces annotation burden and provides a practical pathway for Bloom-aware learning analytics and future real-time adaptive chatbot support. Full article
(This article belongs to the Special Issue Recent Advances in Computer-Assisted Learning (2nd Edition))
Show Figures

Figure 1

26 pages, 1087 KB  
Article
Sustainable Road Safety: Predicting Traffic Accident Severity in Portugal Using Machine Learning
by José Cunha, José Silvestre Silva, Ricardo Ribeiro and Paulo Gomes
Sustainability 2025, 17(24), 11199; https://doi.org/10.3390/su172411199 - 14 Dec 2025
Viewed by 648
Abstract
Road traffic accidents remain a major global challenge, contributing to significant human and economic losses each year. In Portugal, the analysis and prevention of severe accidents are critical for optimizing the allocation of law enforcement resources and improving emergency response strategies. This study [...] Read more.
Road traffic accidents remain a major global challenge, contributing to significant human and economic losses each year. In Portugal, the analysis and prevention of severe accidents are critical for optimizing the allocation of law enforcement resources and improving emergency response strategies. This study aims to develop and evaluate predictive models for accident severity using real-world data collected by the Portuguese Guarda Nacional Republicana (GNR) between 2019 and 2023. Four algorithms, Random Forest, XGBoost, Multilayer Perceptron (MLP), and Deep Neural Networks (DNN), were implemented to capture both linear and non-linear relationships within the dataset. To address the natural class imbalance, class weighting, Synthetic Minority Oversampling Technique (SMOTE), and Random Undersampling were applied. The models were assessed using Recall, F1-score, and G-Mean, with particular emphasis on detecting severe accidents. Results showed that DNNs achieved the best balance between sensitivity and overall performance, especially under SMOTE and class weighting conditions. The findings highlight the potential of classical machine learning and deep learning models to support proactive road safety management and inform resource allocation decisions in high-risk scenarios.This research contributes to sustainability by enabling data-driven road safety management, which reduces human and economic losses associated with traffic accidents and supports more efficient allocation of public resources. By improving the prediction of severe accidents, the study reinforces sustainable development goals related to safe mobility, resilient infrastructure, and effective disaster prevention and response policies. Full article
Show Figures

Figure 1

Back to TopTop