Sign in to use this feature.

Years

Between: -

Subjects

remove_circle_outline
remove_circle_outline
remove_circle_outline
remove_circle_outline
remove_circle_outline
remove_circle_outline
remove_circle_outline

Journals

Article Types

Countries / Regions

Search Results (9)

Search Parameters:
Keywords = ciliary motion

Order results
Result details
Results per page
Select all
Export citation of selected articles as:
12 pages, 15620 KB  
Protocol
A Simple Method for Imaging and Quantifying Respiratory Cilia Motility in Mouse Models
by Richard Francis
Methods Protoc. 2025, 8(5), 113; https://doi.org/10.3390/mps8050113 - 1 Oct 2025
Cited by 1 | Viewed by 993
Abstract
A straightforward ex vivo approach has been developed and refined to enable high-resolution imaging and quantitative assessment of motile cilia function in mouse airway epithelial tissue, allowing critical insights into cilia motility and cilia generated flow using different mouse models or following different [...] Read more.
A straightforward ex vivo approach has been developed and refined to enable high-resolution imaging and quantitative assessment of motile cilia function in mouse airway epithelial tissue, allowing critical insights into cilia motility and cilia generated flow using different mouse models or following different sample treatments. In this method, freshly excised mouse trachea is cut longitudinally through the trachealis muscle which is then sandwiched between glass coverslips within a thin silicon gasket. By orienting the tissue along its longitudinal axis, the natural curling of the trachealis muscle helps maintain the sample in a configuration optimal for imaging along the full tracheal length. High-speed video microscopy, utilizing differential interference contrast (DIC) optics and a fast digital camera capturing at >200 frames per second is then used to record ciliary motion. This enables detailed measurement of both cilia beat frequency (CBF) and waveform characteristics. The application of 1 µm microspheres to the bathing media during imaging allows for additional analysis of fluid flow generated by ciliary activity. The entire procedure typically takes around 40 min to complete per animal: ~30 min for tissue harvest and sample mounting, then ~10 min for imaging samples and acquiring data. Full article
(This article belongs to the Section Biomedical Sciences and Physiology)
Show Figures

Figure 1

19 pages, 290 KB  
Review
Optical Imaging of Cilia in the Head and Neck
by Elizabeth Lee, Lidek Chou, Zhongping Chen and Brian J. F. Wong
J. Clin. Med. 2025, 14(6), 2059; https://doi.org/10.3390/jcm14062059 - 18 Mar 2025
Viewed by 1344
Abstract
Background/Objectives: Cilia are hair-like organelles with various mechanosensory and chemosensory functions. In particular, motile cilia generate directional fluid flow important for multiple processes. Motile ciliopathies have serious clinical implications, including developmental and respiratory disorders. Evaluating the most suitable imaging methods for studying [...] Read more.
Background/Objectives: Cilia are hair-like organelles with various mechanosensory and chemosensory functions. In particular, motile cilia generate directional fluid flow important for multiple processes. Motile ciliopathies have serious clinical implications, including developmental and respiratory disorders. Evaluating the most suitable imaging methods for studying ciliary structure and function has great clinical significance. Methods: Here, we provide an overview of ciliary function, imaging modalities, and applications in ciliopathic diseases. Results: Optical imaging has become a crucial tool for studying ciliary structure and function, providing high-resolution, non-invasive imaging capabilities that are valuable for in vivo applications. Optical coherence tomography (OCT) is well suited for the visualization of ciliary anatomy and quantitative studies of microfluidic flow. Conclusions: A deeper understanding of ciliary biology can lead to novel approaches in diagnosing, treating, and monitoring ciliopathies, contributing to more effective and individualized care. Full article
16 pages, 3183 KB  
Article
Computational Modeling of Motile Cilia-Driven Cerebrospinal Flow in the Brain Ventricles of Zebrafish Embryo
by Huseyin Enes Salman, Nathalie Jurisch-Yaksi and Huseyin Cagatay Yalcin
Bioengineering 2022, 9(9), 421; https://doi.org/10.3390/bioengineering9090421 - 28 Aug 2022
Cited by 3 | Viewed by 3782
Abstract
Motile cilia are hair-like microscopic structures which generate directional flow to provide fluid transport in various biological processes. Ciliary beating is one of the sources of cerebrospinal flow (CSF) in brain ventricles. In this study, we investigated how the tilt angle, quantity, and [...] Read more.
Motile cilia are hair-like microscopic structures which generate directional flow to provide fluid transport in various biological processes. Ciliary beating is one of the sources of cerebrospinal flow (CSF) in brain ventricles. In this study, we investigated how the tilt angle, quantity, and phase relationship of cilia affect CSF flow patterns in the brain ventricles of zebrafish embryos. For this purpose, two-dimensional computational fluid dynamics (CFD) simulations are performed to determine the flow fields generated by the motile cilia. The cilia are modeled as thin membranes with prescribed motions. The cilia motions were obtained from a two-day post-fertilization zebrafish embryo previously imaged via light sheet fluorescence microscopy. We observed that the cilium angle significantly alters the generated flow velocity and mass flow rates. As the cilium angle gets closer to the wall, higher flow velocities are observed. Phase difference between two adjacent beating cilia also affects the flow field as the cilia with no phase difference produce significantly lower mass flow rates. In conclusion, our simulations revealed that the most efficient method for cilia-driven fluid transport relies on the alignment of multiple cilia beating with a phase difference, which is also observed in vivo in the developing zebrafish brain. Full article
(This article belongs to the Special Issue Computational Fluid Dynamics in Medicine and Biology)
Show Figures

Figure 1

15 pages, 3597 KB  
Review
Essential Roles of Efferent Duct Multicilia in Male Fertility
by Mohammed Hoque, Eunice N. Kim, Danny Chen, Feng-Qian Li and Ken-Ichi Takemaru
Cells 2022, 11(3), 341; https://doi.org/10.3390/cells11030341 - 20 Jan 2022
Cited by 20 | Viewed by 6816
Abstract
Cilia are microtubule-based hair-like organelles on the cell surface. Cilia have been implicated in various biological processes ranging from mechanosensation to fluid movement. Ciliary dysfunction leads to a plethora of human diseases, known as ciliopathies. Although non-motile primary cilia are ubiquitous, motile multicilia [...] Read more.
Cilia are microtubule-based hair-like organelles on the cell surface. Cilia have been implicated in various biological processes ranging from mechanosensation to fluid movement. Ciliary dysfunction leads to a plethora of human diseases, known as ciliopathies. Although non-motile primary cilia are ubiquitous, motile multicilia are found in restricted locations of the body, such as the respiratory tract, the oviduct, the efferent duct, and the brain ventricles. Multicilia beat in a whip-like motion to generate fluid flow over the apical surface of an epithelium. The concerted ciliary motion provides the driving force critical for clearing airway mucus and debris, transporting ova from the ovary to the uterus, maintaining sperm in suspension, and circulating cerebrospinal fluid in the brain. In the male reproductive tract, multiciliated cells (MCCs) were first described in the mid-1800s, but their importance in male fertility remained elusive until recently. MCCs exist in the efferent ducts, which are small, highly convoluted tubules that connect the testis to the epididymis and play an essential role in male fertility. In this review, we will introduce multiciliogenesis, discuss mouse models of male infertility with defective multicilia, and summarize our current knowledge on the biological function of multicilia in the male reproductive tract. Full article
(This article belongs to the Section Intracellular and Plasma Membranes)
Show Figures

Figure 1

15 pages, 48708 KB  
Article
Entropy Analysis for Cilia-Generated Motion of Cu-Blood Flow of Nanofluid in an Annulus
by Arshad Riaz, Elena Bobescu, Katta Ramesh and Rahmat Ellahi
Symmetry 2021, 13(12), 2358; https://doi.org/10.3390/sym13122358 - 8 Dec 2021
Cited by 37 | Viewed by 4049
Abstract
In this study, a novel model of entropy generation effects measured in the Cu-blood flow of a nanofluid under the effect of ciliary-oriented motion is proposed. The effects of viscous dissipation are also taken into account. The physical model was composed with the [...] Read more.
In this study, a novel model of entropy generation effects measured in the Cu-blood flow of a nanofluid under the effect of ciliary-oriented motion is proposed. The effects of viscous dissipation are also taken into account. The physical model was composed with the incorporation of a low Reynolds number and long-wavelength phenomena. The exact solutions for the axial velocity, temperature and pressure gradient distribution were achieved successfully. Key findings are presented through a strategy of plotting the significant factors affecting the physical quantities of the stream. It was found that the heat absorption parameter and Brownian motion accounted for the large thermal transfer rate, while the effect of entropy was minimal compared to these factors in the center of the flow but increased on the walls in the case of Cu-blood flow. It can also be added that a more intense flow gave rise to the entropy effects. This study may be helpful in medical science as cilia play vital roles, which include cell migration and external fluid transport, in human tissues and some key organs. Moreover, the considered annulus-shaped geometry gives vital readings that are used in medical equipment such as endoscopes. Full article
Show Figures

Figure 1

31 pages, 12662 KB  
Review
Using Paramecium as a Model for Ciliopathies
by Megan Valentine and Judith Van Houten
Genes 2021, 12(10), 1493; https://doi.org/10.3390/genes12101493 - 24 Sep 2021
Cited by 13 | Viewed by 9884
Abstract
Paramecium has served as a model organism for the studies of many aspects of genetics and cell biology: non-Mendelian inheritance, genome duplication, genome rearrangements, and exocytosis, to name a few. However, the large number and patterning of cilia that cover its surface have [...] Read more.
Paramecium has served as a model organism for the studies of many aspects of genetics and cell biology: non-Mendelian inheritance, genome duplication, genome rearrangements, and exocytosis, to name a few. However, the large number and patterning of cilia that cover its surface have inspired extraordinary ultrastructural work. Its swimming patterns inspired exquisite electrophysiological studies that led to a description of the bioelectric control of ciliary motion. A genetic dissection of swimming behavior moved the field toward the genes and gene products underlying ciliary function. With the advent of molecular technologies, it became clear that there was not only great conservation of ciliary structure but also of the genes coding for ciliary structure and function. It is this conservation and the legacy of past research that allow us to use Paramecium as a model for cilia and ciliary diseases called ciliopathies. However, there would be no compelling reason to study Paramecium as this model if there were no new insights into cilia and ciliopathies to be gained. In this review, we present studies that we believe will do this. For example, while the literature continues to state that immotile cilia are sensory and motile cilia are not, we will provide evidence that Paramecium cilia are clearly sensory. Other examples show that while a Paramecium protein is highly conserved it takes a different interacting partner or conducts a different ion than expected. Perhaps these exceptions will provoke new ideas about mammalian systems. Full article
(This article belongs to the Special Issue Genetics of Rare Disease)
Show Figures

Figure 1

16 pages, 309 KB  
Review
Current and Future Treatments in Primary Ciliary Dyskinesia
by Tamara Paff, Heymut Omran, Kim G. Nielsen and Eric G. Haarman
Int. J. Mol. Sci. 2021, 22(18), 9834; https://doi.org/10.3390/ijms22189834 - 11 Sep 2021
Cited by 79 | Viewed by 15542
Abstract
Primary ciliary dyskinesia (PCD) is a rare genetic ciliopathy in which mucociliary clearance is disturbed by the abnormal motion of cilia or there is a severe reduction in the generation of multiple motile cilia. Lung damage ensues due to recurrent airway infections, sometimes [...] Read more.
Primary ciliary dyskinesia (PCD) is a rare genetic ciliopathy in which mucociliary clearance is disturbed by the abnormal motion of cilia or there is a severe reduction in the generation of multiple motile cilia. Lung damage ensues due to recurrent airway infections, sometimes even resulting in respiratory failure. So far, no causative treatment is available and treatment efforts are primarily aimed at improving mucociliary clearance and early treatment of bacterial airway infections. Treatment guidelines are largely based on cystic fibrosis (CF) guidelines, as few studies have been performed on PCD. In this review, we give a detailed overview of the clinical studies performed investigating PCD to date, including three trials and several case reports. In addition, we explore precision medicine approaches in PCD, including gene therapy, mRNA transcript and read-through therapy. Full article
17 pages, 10039 KB  
Article
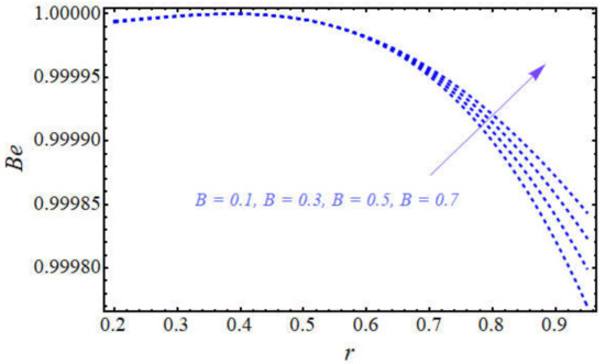
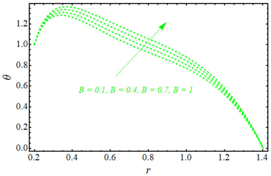
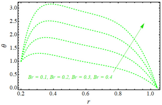
Second Law Analysis of Ciliary Pumping Transport in an Inclined Channel Coated with Carreau Fluid under a Magnetic Field
by Sufian Munawar and Najma Saleem
Coatings 2020, 10(3), 240; https://doi.org/10.3390/coatings10030240 - 5 Mar 2020
Cited by 26 | Viewed by 2702
Abstract
A complete thermal analysis is performed for the propulsion of cilia in an inclined channel. Coating around the channel walls is provided by a Carreau fluid under a uniform magnetic field. Uniformly grown cilia produce propulsive metachronal waves by moving in a coordinated [...] Read more.
A complete thermal analysis is performed for the propulsion of cilia in an inclined channel. Coating around the channel walls is provided by a Carreau fluid under a uniform magnetic field. Uniformly grown cilia produce propulsive metachronal waves by moving in a coordinated rhythm along the channel surface and adapt an elliptic path along the direction of flow. Using lubrication approximations, the governing equations, formulated in the wave frame of reference, are solved by the perturbation method. Validation of the analytic solution is provided by computing the solution numerically with the shooting method. This study is concerned with the parametric consequences on pertinent flow and heat transfer quantities, such as streamlines, velocity profile, temperature profile, entropy lines and the Bejan number. The results reveal that large cilia propel the axial velocity near the channel wall but put hindrance to the axial velocity and the temperature profile in the central part of the channel. The entropy production in the channel reduces for large cilia and a high Hartmann number. Full article
Show Figures

Figure 1

22 pages, 12402 KB  
Article
Three-Dimensional Numerical Analysis of Periciliary Liquid Layer: Ciliary Abnormalities in Respiratory Diseases
by Shayan M. Vanaki, David Holmes, Pahala Gedara Jayathilake and Richard Brown
Appl. Sci. 2019, 9(19), 4033; https://doi.org/10.3390/app9194033 - 26 Sep 2019
Cited by 15 | Viewed by 3503
Abstract
Human pulmonary epithelial cells are protected by two layers of fluid—the outer watery periciliary liquid layer (PCL) and the uppermost non-Newtonian mucus layer (ML). Aerosols and inhaled toxic particles are trapped by the ML which must then be removed swiftly to avoid adverse [...] Read more.
Human pulmonary epithelial cells are protected by two layers of fluid—the outer watery periciliary liquid layer (PCL) and the uppermost non-Newtonian mucus layer (ML). Aerosols and inhaled toxic particles are trapped by the ML which must then be removed swiftly to avoid adverse health implications. Epithelial cells are covered with cilia that beat rapidly within the PCL. Such ciliary motion drives the mucus transport. Although cilia can penetrate slightly inside the mucus to assist mucus movement, the motion of the underlying PCL layer within the airway surface liquid (ASL) is significant in mucus and pathogens transport. As such, a detailed parametric study of the influence of different abnormal cilia characteristics, such as low beating frequency, short length, abnormal beating pattern, reduced ciliary density, and epithelium patchiness due to missing cilia on the PCL transport, is carried out numerically. Such abnormalities are found in various chronic respiratory diseases. In addition, the shear stress at the epithelium is assessed due to the importance of shear stress on the epithelial function. Using the immersed boundary (IB) method combined with the finite-difference projection method, we found that the PCL, under standard healthy conditions, has net forward motion but that different diseased conditions decrease the forward motion of the PCL, as is expected based on clinical understanding. Full article
Show Figures

Figure 1

Back to TopTop