Entropy Analysis for Cilia-Generated Motion of Cu-Blood Flow of Nanofluid in an Annulus
Abstract
:1. Introduction
2. Materials and Methods
3. Solutions
4. Entropy Generation
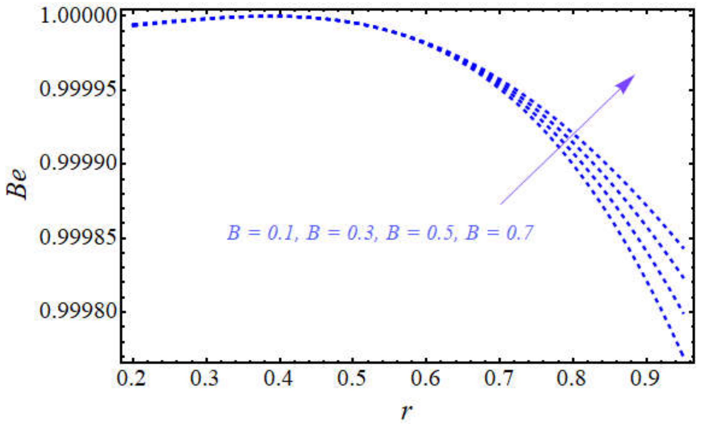
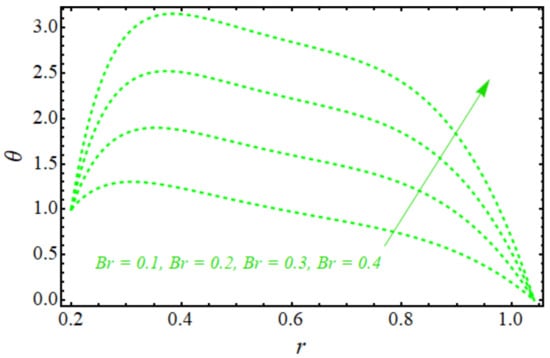
5. Graphical Results and Discussion
6. Conclusions
- It is found that beating cilia produce large temperature differences between the lower wall and the upper wall by increasing the viscous dissipation magnitude.
- It is also noted that the nanofluid executes a greater heat transfer rate in the case of the viscous dissipation term, which is decided by comparing the results with a previous study.
- Furthermore, we come to the fact that a large amount of viscous dissipation produces a lot of entropy in the flow, and entropy is an increasing function of the flow rate.
- It can be stated from the figures that the rate of entropy due to the heat phenomenon is greater than that due to the total entropy of the system in the case when we enhance the values of the heat source constant, B.
- From streamlines, it is found that due to the viscous dissipation, large contours are produced, which reflect the lesser speed of the nanofluid due to the dissipation effects.
Author Contributions
Funding
Institutional Review Board Statement
Informed Consent Statement
Data Availability Statement
Acknowledgments
Conflicts of Interest
Appendix A
References
- Maxwell, J.C. A Treatise on Electricity and Magnetism, 2nd ed.; Clarendon Press: Oxford, UK, 1873; p. 1. [Google Scholar]
- Ganji, D.D.; Malvandi, A. Heat Transfer Enhancement using Nanofluid Flow in Microchannels: Simulation of Heat and Mass Transfer; William Andrew: Amsterdam, The Netherlands, 2016. [Google Scholar]
- Waini, I.; Ishak, A.; Pop, I. Hybrid nanofluid flow towards a stagnation point on a stretching/shrinking cylinder. Sci. Rep. 2020, 10, 9296. [Google Scholar] [CrossRef] [PubMed]
- Mahdavi, M.; Sharifpur, M.; Ahmadi, M.H.; Meyer, J.P. Nanofluid flow and shear layers between two parallel plates: A simulation approach. Eng. Appl. 2020, 14, 1536–1545. [Google Scholar] [CrossRef]
- Gul, T.; Gul, R.S.; Noman, W.; Saeed, A.; Mukhtar, S.; Alghamdi, W.; Alrabaiah, H. CNTs-nanofluid flow in a rotating system between the gap of a disk and cone. Phys. Scr. 2020, 95, 125202. [Google Scholar] [CrossRef]
- Tassaddiq, A.; Khan, S.; Bilal, M.; Gul, T.; Mukhtar, S.; Shah, Z.; Bonyah, E. Heat and mass transfer together with hybrid nanofluid flow over a rotating disk. AIP Adv. 2020, 10, 055317. [Google Scholar] [CrossRef]
- Ramzan, M.; Chung, J.D.; Kadry, S.; Chu, Y.M.; Akhtar, M. Nanofluid flow containing carbon nanotubes with quartic autocatalytic chemical reaction and Thompson and Troian slip at the boundary. Sci. Rep. 2020, 10, 18710. [Google Scholar]
- Eid, M.R.; Mabood, F.; Mahny, K.L. On 3D Prandtl nanofluid flow with higher-order chemical reaction. Proc. Inst. Mech. Eng. Part C J. Mech. Eng. Sci. 2020, 235, 0954406220975429. [Google Scholar] [CrossRef]
- Eid, M.R. Effects of NP shapes on non-Newtonian bio-nanofluid flow in suction/blowing process with convective condition: Sisko model. J. Non-Equil. Thermodyn. 2020, 45, 97–108. [Google Scholar] [CrossRef]
- Mondal, S.K.; Pal, D. Computational analysis of bioconvective flow of nanofluid containing gyrotactic microorganisms over a nonlinear stretching sheet with variable viscosity using HAM. J. Comput. Des. Eng. 2020, 7, 251–267. [Google Scholar] [CrossRef] [Green Version]
- Warke, A.S.; Ramesh, K.; Mebarek-Oudina, F.; Abidi, A. Numerical investigation of the stagnation point flow of radiative magnetomicropolar liquid past a heated porous stretching sheet. J. Therm. Anal. Calorim. 2021, 1–12. [Google Scholar] [CrossRef]
- Pushpa, B.V.; Sankar, M.; Mebarek-Oudina, F. Buoyant convective flow and heat dissipation of cu–h2o nanoliquids in an annulus through a thin baffle. J. Nanofluids 2021, 10, 292–304. [Google Scholar] [CrossRef]
- Marzougui, S.; Mebarek-Oudina, F.; Magherbi, M.; Mchirgui, A. Entropy generation and heat transport of Cu–water nanoliquid in porous lid-driven cavity through magnetic field. Int. J. Numer. Methods Heat Fluid Flow 2021. [Google Scholar] [CrossRef]
- Mebarek-Oudina, F.; Fares, R.; Aissa, A.; Lewis, R.W.; Abu-Hamdeh, N.H. Entropy and convection effect on magnetized hybrid nano-liquid flow inside a trapezoidal cavity with zigzagged wall. Int. Commun. Heat Mass Transf. 2021, 125, 105279. [Google Scholar] [CrossRef]
- Shafiq, A.; Mebarek-Oudina, F.; Sindhu, T.N.; Abidi., A. A study of dual stratification on stagnation point Walters’ B nanofluid flow via radiative Riga plate: A statistical approach. Eur. Phys. J. Plus. 2021, 136, 407. [Google Scholar] [CrossRef]
- Arain, M.B.; Bhatti, M.M.; Zeeshan, A.; Alzahrani, F.S. Bioconvection reiner-rivlin nanofluid flow between rotating circular plates with induced magnetic effects, activation energy and squeezing phenomena. Mathematics 2021, 9, 2139. [Google Scholar] [CrossRef]
- Goodarzi, M.; Tlili, I.; Moria, H.; Cardoso, E.M.; Alkanhal, T.A.; Anqi, A.E.; Safaei, M.R. Boiling flow of graphene nanoplatelets nano-suspension on a small copper disk. Powder Technol. 2021, 377, 10–19. [Google Scholar] [CrossRef]
- Goggolidou, P. (Ed.) Cilia: Development and Disease; CRC Press: Boca Raton, FL, USA, 2018. [Google Scholar]
- Sadaf, H.; Nadeem, S. Influences of slip and Cu-blood nanofluid in a physiological study of cilia. Comput. Methods Programs Biomed. 2016, 131, 169–180. [Google Scholar] [CrossRef] [PubMed]
- Shaheen, S.; Maqbool, K.; Siddiqui, A.M. Micro rheology of Jeffrey nanofluid through cilia beating subject to the surrounding temperature. Rheol. Acta 2020, 59, 565–573. [Google Scholar] [CrossRef]
- Imran, A.; Akhtar, R.; Zhiyu, Z.; Shoaib, M.; Raja, M.A.Z. Heat transfer analysis of biological nanofluid flow through ductus efferentes. AIP Adv. 2020, 10, 035029. [Google Scholar] [CrossRef] [Green Version]
- Nadeem, S.; Sadaf, H. Trapping study of nanofluids in an annulus with cilia. AIP Adv. 2015, 5, 127204. [Google Scholar] [CrossRef] [Green Version]
- Nadeem, S.; Sadaf, H. Ciliary motion phenomenon of viscous nanofluid in a curved channel with wall properties. Eur. Phys. J. Plus. 2016, 131, 65. [Google Scholar] [CrossRef]
- Nadeem, S.; Sadaf, H. Theoretical analysis of Cu-blood nanofluid for metachronal wave of cilia motion in a curved channel. IEEE Trans. Nanobiosci. 2015, 14, 447–454. [Google Scholar] [CrossRef] [PubMed]
- Javid, K.; Ali, N.; Bilal, M. A numerical simulation of the creeping flow of TiO2-SiO2/C2H6O2 hybrid-nano-fluid through a curved configuration due to metachronal waves propulsion of beating cilia. Eur. Phys. J. Plus. 2020, 135, 49. [Google Scholar] [CrossRef]
- Awais, M.; Shah, Z.; Perveen, N.; Ali, A.; Kumam, P.; Thounthong, P. MHD effects on ciliary-induced peristaltic flow coatings with rheological hybrid nanofluid. Coatings 2020, 10, 186. [Google Scholar] [CrossRef] [Green Version]
- Maqbool, K.; Shaheen, S.; Siddiqui, A.M. Effect of nano-particles on MHD flow of tangent hyperbolic fluid in a ciliated tube: An application to fallopian tube. Math. Biosci. Eng. 2019, 16, 2927–2941. [Google Scholar] [CrossRef] [PubMed]
- Akbar, N.S.; Tripathi, D.; Khan, Z.H.; Bég, O.A. Mathematical model for ciliary-induced transport in MHD flow of Cu-H2O nanofluids with magnetic induction. Chin. J. Phys. 2017, 55, 947–962. [Google Scholar] [CrossRef]
- Abrar, M.N.; Haq, R.U.; Awais, M.; Rashid, I. Entropy analysis in a cilia transport of nanofluid under the influence of magnetic field. Nucl. Eng. Technol. 2017, 49, 1680–1688. [Google Scholar] [CrossRef]
- Awan, S.E.; Awais, M.; Raja, M.A.Z.; Parveen, N.; Ali, H.M.; Khan, W.U.; He, Y. Numerical treatment for dynamics of second law analysis and magnetic induction effects on ciliary induced peristaltic transport of hybrid nanomaterial. Front. Phys. 2021, 9, 68. [Google Scholar] [CrossRef]
- Abrar, M.N.; Sagheer, M.; Hussain, S. Entropy generation during peristaltically flowing nanofluid in an axisymmetric channel with flexible walls. Phys Scr. 2020, 95, 035206. [Google Scholar] [CrossRef]
- Bhatti, M.M.; Elelamy, A.F.; Sait, S.M.; Ellahi, R. Hydrodynamics Interactions of Metachronal Waves on Particulate-Liquid Motion through a Ciliated Annulus: Application of Bio-Engineering in Blood Clotting and Endoscopy. Symmetry 2020, 12, 532. [Google Scholar] [CrossRef] [Green Version]
- Ahmad Farooq, A.; Shah, Z.; Alzahrani, E.O. Heat Transfer Analysis of a Magneto-Bio-Fluid Transport with Variable Thermal Viscosity Through a Vertical Ciliated Channel. Symmetry 2019, 11, 1240. [Google Scholar] [CrossRef] [Green Version]
- Munawar, S.; Saleem, N. Second Law Analysis of Ciliary Pumping Transport in an Inclined Channel Coated with Carreau Fluid under a Magnetic Field. Coatings 2020, 10, 240. [Google Scholar] [CrossRef] [Green Version]
- Bejan, A. A study of entropy generation in fundamental convective heat transfer. J. Heat Transfer. 1979, 101, 718–725. [Google Scholar] [CrossRef]
- Pakdemirli, M.; Yilbas, B.S. Entropy generation in a pipe due to non-Newtonian fluid flow: Constant viscosity case. Sadhana 2006, 31, 21–29. [Google Scholar] [CrossRef] [Green Version]
- Aïboud, S.; Saouli, S. Entropy analysis for viscoelastic magnetohydrodynamic flow over a stretching surface. Int. J. Non Linear Mech. 2010, 45, 482–489. [Google Scholar] [CrossRef]
- Sheikholeslami, M.; Ellahi, R.; Shafee, A.; Li, Z. Numerical investigation for second law analysis of ferrofluid inside a porous semi annulus: An application of entropy generation and exergy loss. Int. J. Numer. Methods Heat Fluid Flow 2019, 29, 1079–1102. [Google Scholar] [CrossRef]
- Galanis, N.; Rashidi, M.M. Entropy generation in non-Newtonian fluids due to heat and mass transfer in the entrance region of ducts. Heat Mass Transf. 2012, 48, 1647–1662. [Google Scholar] [CrossRef]
- Rashidi, M.M.; Parsa, A.B.; Beg, O.A.; Shamekhi, L.; Sadri, S.M.; Bég, T.A. Parametric analysis of entropy generation in magneto-hemodynamic flow in a semi-porous channel with OHAM and DTM. Appl. Bionics Biomech. 2014, 11, 47–60. [Google Scholar] [CrossRef] [Green Version]
- Ellahi, R.; Sait, S.M.; Shehzad, N.; Ayaz, Z. A hybrid investigation on numerical and analytical solutions of electro-magnetohydrodynamics flow of nanofluid through porous media with entropy generation. Int. J. Numer. Methods Heat Fluid Flow 2019, 30, 834–854. [Google Scholar] [CrossRef]
- Bhatti, M.M.; Abbas, T.; Rashidi, M.M.; Ali, M.E.S. Numerical simulation of entropy generation with thermal radiation on MHD Carreaunanofluid towards a shrinking sheet. Entropy 2016, 18, 200. [Google Scholar] [CrossRef] [Green Version]
- AbdollahzadehJamalabadi, M.Y.; Hooshmand, P.; Hesabi, A.; Kwak, M.K.; Pirzadeh, I.I.; Keikha, A.J.; Negahdari, M. Numerical investigation of thermal radiation and viscous effects on entropy generation in forced convection blood flow over an axisymmetric stretching sheet. Entropy 2016, 18, 203. [Google Scholar] [CrossRef] [Green Version]
- Upreti, H.; Pandey, A.K.; Kumar, M. Assessment of entropy generation and heat transfer in three-dimensional hybrid nanofluids flow due to convective surface and base fluids. J. Porous Media 2021, 24, 35–50. [Google Scholar] [CrossRef]















Publisher’s Note: MDPI stays neutral with regard to jurisdictional claims in published maps and institutional affiliations. |
© 2021 by the authors. Licensee MDPI, Basel, Switzerland. This article is an open access article distributed under the terms and conditions of the Creative Commons Attribution (CC BY) license (https://creativecommons.org/licenses/by/4.0/).
Share and Cite
Riaz, A.; Bobescu, E.; Ramesh, K.; Ellahi, R. Entropy Analysis for Cilia-Generated Motion of Cu-Blood Flow of Nanofluid in an Annulus. Symmetry 2021, 13, 2358. https://doi.org/10.3390/sym13122358
Riaz A, Bobescu E, Ramesh K, Ellahi R. Entropy Analysis for Cilia-Generated Motion of Cu-Blood Flow of Nanofluid in an Annulus. Symmetry. 2021; 13(12):2358. https://doi.org/10.3390/sym13122358
Chicago/Turabian StyleRiaz, Arshad, Elena Bobescu, Katta Ramesh, and Rahmat Ellahi. 2021. "Entropy Analysis for Cilia-Generated Motion of Cu-Blood Flow of Nanofluid in an Annulus" Symmetry 13, no. 12: 2358. https://doi.org/10.3390/sym13122358
APA StyleRiaz, A., Bobescu, E., Ramesh, K., & Ellahi, R. (2021). Entropy Analysis for Cilia-Generated Motion of Cu-Blood Flow of Nanofluid in an Annulus. Symmetry, 13(12), 2358. https://doi.org/10.3390/sym13122358

