Sign in to use this feature.

Years

Between: -

Subjects

remove_circle_outline
remove_circle_outline
remove_circle_outline
remove_circle_outline

Journals

Article Types

Countries / Regions

Search Results (20)

Search Parameters:
Keywords = chromosomal radiosensitivity

Order results
Result details
Results per page
Select all
Export citation of selected articles as:
17 pages, 2245 KB  
Article
Identification of HMCES as the Core Genetic Determinant Underlying the xhs1 Radiosensitivity Locus in LEA/LEC Rats
by Eisuke Hishida, Masaki Watanabe, Takeru Sasaki, Tatsuya Ashida, Keisuke Shimada, Tadashi Okamura, Takashi Agui and Nobuya Sasaki
Int. J. Mol. Sci. 2026, 27(3), 1278; https://doi.org/10.3390/ijms27031278 - 27 Jan 2026
Viewed by 95
Abstract
Genomic instability caused by defective DNA double-strand break (DSB) repair is a key determinant of cellular radiosensitivity. The Long–Evans cinnamon (LEC) rat is a rare naturally occurring model with marked radiosensitivity, and a major quantitative trait locus, X-ray hypersensitivity 1 (xhs1), [...] Read more.
Genomic instability caused by defective DNA double-strand break (DSB) repair is a key determinant of cellular radiosensitivity. The Long–Evans cinnamon (LEC) rat is a rare naturally occurring model with marked radiosensitivity, and a major quantitative trait locus, X-ray hypersensitivity 1 (xhs1), has been mapped to rat chromosome 4; however, the causal mechanism has remained unclear. Here, we investigated the cellular and molecular basis of xhs1-associated radiosensitivity using LEA and LEC rat-derived cells and human cultured cells. Exploratory RNA-seq of pre-hepatitic liver tissue identified a sequence variant within the Hmces transcript in LEC rats. Consistently, HMCES protein levels were markedly reduced in multiple tissues and liver-derived cell lines from LEC rats. Functional analyses showed that reduced HMCES activity prolonged γH2AX signaling after X-ray irradiation, indicating delayed DSB resolution. Clonogenic survival assays demonstrated increased radiosensitivity in HMCES-deficient cells, which was partially rescued by restoring HMCES expression in stable LEA/LEC lines. Moreover, pimEJ5GFP reporter assays revealed significantly decreased end-joining repair activity in HMCES-knockout human cells. Together, these results establish HMCES as a critical mediator of DSB repair and cellular radioresistance, identify HMCES dysfunction as a core genetic determinant underlying xhs1-associated radiosensitivity, and provide mechanistic insight into radiation response architecture in a naturally occurring radiosensitive model. Full article
(This article belongs to the Special Issue Advances in Animal Molecular Genetics)
Show Figures

Figure 1

18 pages, 7709 KB  
Article
Increased Sensitivity to Ionizing Radiation in a Relevant Subset of Patients with Cancer and Systemic Lupus Erythematosus
by Hannah Schenker, Lukas Kuhlmann, Dorothee Kaudewitz, Barbara Schuster, Sabine Semrau, Charlotte Schmitter, Raphaela Voigt, Ricarda Merten, Hans Geinitz, Rainer Fietkau, Sebastian Böltz, Georg Schett and Luitpold V. Distel
Cells 2025, 14(8), 569; https://doi.org/10.3390/cells14080569 - 9 Apr 2025
Cited by 2 | Viewed by 1343
Abstract
It has long been hypothesized that systemic lupus erythematosus (SLE) increases radiosensitivity, but recent studies have yielded mixed results. We studied individual radiosensitivity in 70 individuals with SLE using chromosomal aberrations as biomarkers of radiosensitivity. In total, 33 patients with SLE and 37 [...] Read more.
It has long been hypothesized that systemic lupus erythematosus (SLE) increases radiosensitivity, but recent studies have yielded mixed results. We studied individual radiosensitivity in 70 individuals with SLE using chromosomal aberrations as biomarkers of radiosensitivity. In total, 33 patients with SLE and 37 patients with SLE and additional oncologic diseases were compared with healthy individuals and with patients with rectal and breast cancer. Individual radiosensitivity was assessed by ex vivo irradiation of G0 blood lymphocytes followed by three-color fluorescence in situ hybridization of chromosomes 1, 2, and 4. SLE patients have slightly higher background rates of chromosomal aberrations than healthy individuals and lower rates than cancer patients. Non-oncologic SLE patients show a rate of chromosomal aberrations similar to that seen in healthy individuals. The outliers in this group, who clearly show increased radiosensitivity, fall between healthy individuals and cancer patients. Patients with SLE and cancer have significantly higher chromosome aberration rates compared to healthy individuals (p < 0.001) and patients with isolated cancer (p = 0.007) or isolated SLE (p = 0.004). The proportion of radiosensitive patients in the oncologic SLE cohort is high, with 45% of patients showing increased radiosensitivity. There is a weak association between anti-Ro-52 autoantibodies and radiosensitivity. Based on the radiosensitivity measurement, radiation dose reduction was recommended in 11 oncological SLE patients and was successfully achieved in 5 patients by up to 21% of the dose per fraction. In the oncologic SLE cohort, a substantial portion of individuals show increased radiosensitivity. Full article
Show Figures

Graphical abstract

18 pages, 1677 KB  
Article
USP7 Deregulation Impairs S Phase Specific DNA Repair after Irradiation in Breast Cancer Cells
by Marie Vogt, Sandra Classen, Ann Kristin Krause, Nadja-Juanita Peter, Cordula Petersen, Kai Rothkamm, Kerstin Borgmann and Felix Meyer
Biomedicines 2024, 12(4), 762; https://doi.org/10.3390/biomedicines12040762 - 29 Mar 2024
Cited by 1 | Viewed by 2861
Abstract
The ubiquitin specific protease 7 (USP7) is a deubiquitinating enzyme with numerous substrates. Aberrant expression of USP7 is associated with tumor progression. This study aims to investigate how a deregulated USP7 expression affects chromosomal instability and prognosis of breast cancer patients in silico [...] Read more.
The ubiquitin specific protease 7 (USP7) is a deubiquitinating enzyme with numerous substrates. Aberrant expression of USP7 is associated with tumor progression. This study aims to investigate how a deregulated USP7 expression affects chromosomal instability and prognosis of breast cancer patients in silico and radiosensitivity and DNA repair in breast cancer cells in vitro. The investigations in silico were performed using overall survival and USP7 mRNA expression data of breast cancer patients. The results showed that a high USP7 expression was associated with increased chromosomal instability and decreased overall survival. The in vitro experiments were performed in a luminal and a triple-negative breast cancer cell line. Proliferation, DNA repair, DNA replication stress, and survival after USP7 overexpression or inhibition and irradiation were analyzed. Both, USP7 inhibition and overexpression resulted in decreased cellular survival, distinct radiosensitization and an increased number of residual DNA double-strand breaks in the S phase following irradiation. RAD51 recruitment and base incorporation were decreased after USP7 inhibition plus irradiation and more single-stranded DNA was detected. The results show that deregulation of USP7 activity disrupts DNA repair in the S phase by increasing DNA replication stress and presents USP7 as a promising target to overcome the radioresistance of breast tumors. Full article
Show Figures

Figure 1

16 pages, 3823 KB  
Article
Ex Vivo Chromosomal Radiosensitivity Testing in Patients with Pathological Germline Variants in Breast Cancer High-Susceptibility Genes BReast CAncer 1 and BReast CAncer 2
by Tara Zuhair Kassem, Marius Wunderle, Lukas Kuhlmann, Matthias Ruebner, Hanna Huebner, Juliane Hoyer, André Reis, Peter A. Fasching, Matthias W. Beckmann, Carolin C. Hack, Rainer Fietkau and Luitpold Distel
Curr. Issues Mol. Biol. 2023, 45(8), 6618-6633; https://doi.org/10.3390/cimb45080418 - 10 Aug 2023
Cited by 4 | Viewed by 2621
Abstract
Background: Individual radiosensitivity is an important factor in the occurrence of undesirable consequences of radiotherapy. The potential for increased radiosensitivity has been linked to highly penetrant heterozygous mutations in DNA repair genes such as BRCA1 and BRCA2. By studying the chromosomal radiosensitivity [...] Read more.
Background: Individual radiosensitivity is an important factor in the occurrence of undesirable consequences of radiotherapy. The potential for increased radiosensitivity has been linked to highly penetrant heterozygous mutations in DNA repair genes such as BRCA1 and BRCA2. By studying the chromosomal radiosensitivity of BRCA1/2 mutation carriers compared to the general population, we study whether increased chromosomal radiation sensitivity is observed in patients with BRCA1/2 variants. Methods: Three-color-fluorescence in situ hybridization was performed on ex vivo-irradiated peripheral blood lymphocytes from 64 female patients with a heterozygous germline BRCA1 or BRCA2 mutation. Aberrations in chromosomes #1, #2 and #4 were analyzed. Mean breaks per metaphase (B/M) served as the parameter for chromosomal radiosensitivity. The results were compared with chromosomal radiosensitivity in a cohort of generally healthy individuals and patients with rectal cancer or breast cancer. Results: Patients with BRCA1/2 mutations (n = 64; B/M 0.47) overall showed a significantly higher chromosomal radiosensitivity than general healthy individuals (n = 211; B/M 0.41) and patients with rectal cancer (n = 379; B/M 0.44) and breast cancer (n = 147; B/M 0.45) without proven germline mutations. Chromosomal radiosensitivity varied depending on the locus of the BRCA1/2 mutation. Conclusions: BRCA1/2 mutations result in slightly increased chromosomal sensitivity to radiation. A few individual patients have a marked increase in radiation sensitivity. Therefore, these patients are at a higher risk for adverse therapeutic consequences. Full article
(This article belongs to the Special Issue Advanced Research of Ionizing Radiation in Cancers)
Show Figures

Figure 1

18 pages, 2868 KB  
Article
Assessment of Individual Radiosensitivity in Breast Cancer Patients Using a Combination of Biomolecular Markers
by Matus Durdik, Eva Markova, Pavol Kosik, Katarina Vigasova, Sachin Gulati, Lukas Jakl, Katarina Vrobelova, Marta Fekete, Ingrid Zavacka, Margita Pobijakova, Zuzana Dolinska and Igor Belyaev
Biomedicines 2023, 11(4), 1122; https://doi.org/10.3390/biomedicines11041122 - 7 Apr 2023
Cited by 6 | Viewed by 2526
Abstract
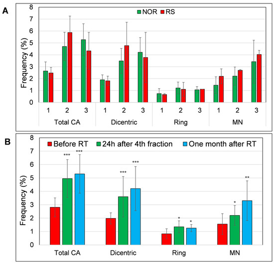
About 5% of patients undergoing radiotherapy (RT) develop RT-related side effects. To assess individual radiosensitivity, we collected peripheral blood from breast cancer patients before, during and after the RT, and γH2AX/53BP1 foci, apoptosis, chromosomal aberrations (CAs) and micronuclei (MN) were analyzed and correlated [...] Read more.
About 5% of patients undergoing radiotherapy (RT) develop RT-related side effects. To assess individual radiosensitivity, we collected peripheral blood from breast cancer patients before, during and after the RT, and γH2AX/53BP1 foci, apoptosis, chromosomal aberrations (CAs) and micronuclei (MN) were analyzed and correlated with the healthy tissue side effects assessed by the RTOG/EORTC criteria. The results showed a significantly higher level of γH2AX/53BP1 foci before the RT in radiosensitive (RS) patients in comparison to normal responding patients (NOR). Analysis of apoptosis did not reveal any correlation with side effects. CA and MN assays displayed an increase in genomic instability during and after RT and a higher frequency of MN in the lymphocytes of RS patients. We also studied time kinetics of γH2AX/53BP1 foci and apoptosis after in vitro irradiation of lymphocytes. Higher levels of primary 53BP1 and co-localizing γH2AX/53BP1 foci were detected in cells from RS patients as compared to NOR patients, while no difference in the residual foci or apoptotic response was found. The data suggested impaired DNA damage response in cells from RS patients. We suggest γH2AX/53BP1 foci and MN as potential biomarkers of individual radiosensitivity, but they need to be evaluated with a larger cohort of patients for clinics. Full article
(This article belongs to the Section Cancer Biology and Oncology)
Show Figures

Figure 1

10 pages, 250 KB  
Article
Cytogenetic Effects in Patients after Computed Tomography Examination
by Elizaveta Neronova and Sergei Aleksanin
Life 2022, 12(12), 1983; https://doi.org/10.3390/life12121983 - 27 Nov 2022
Cited by 2 | Viewed by 2786
Abstract
Millions of people around the world are exposed to low doses of ionizing radiation from diagnostic computed tomography (CT) scans. Currently available data on the potential cancer risk after CT scans are contradictory and therefore demand further investigations. The aim of the current [...] Read more.
Millions of people around the world are exposed to low doses of ionizing radiation from diagnostic computed tomography (CT) scans. Currently available data on the potential cancer risk after CT scans are contradictory and therefore demand further investigations. The aim of the current study was to obtain estimations of genome damage after CT scans in 42 non-cancer patients and to conduct a comparison of the results with 22 control subjects. The frequency of dicentric ring chromosomes and chromosome breaks was significantly increased in irradiated patients compared to the controls. The distribution of dicentrics among the cells demonstrated non-Poisson distribution that reflected non-uniform and partial-body radiation exposure. A fraction of patients followed Poisson distribution, which is typical for uniform whole-body exposures. Some patients demonstrated a level of dicentrics similar to the control subjects. The individual variations in the frequency and dicentric distribution suggested complex mechanisms of chromosome aberration induction and elimination that could be associated with individual radiosensitivity, as well as previous diagnostics that used ionizing radiation or the redistribution of small fractions of irradiated lymphocytes within the circulatory pull. In conclusion, CT scans may cause genome damage and possible increases in cancer risk. The introduction of a specific follow-up of such patients, especially in the case of repeated CT scans, is suggested. Full article
(This article belongs to the Special Issue State-of-the-Art in Biomedicine in Russia Federation)
17 pages, 2094 KB  
Communication
Hypersensitivity and Induced Radioresistance in Chinese Hamster Cells Exposed to Radiations with Different LET Values
by Ekaterina Koryakina, Vladimir I. Potetnya, Marina Troshina, Raisa Baykuzina, Sergey Koryakin, Anatoliy Lychagin, Aleksei Solovev, Vyacheslav Saburov, Vladimir Pikalov, Petr Shegay, Sergey Ivanov and Andrey Kaprin
Int. J. Mol. Sci. 2022, 23(12), 6765; https://doi.org/10.3390/ijms23126765 - 17 Jun 2022
Cited by 3 | Viewed by 2192
Abstract
We study the impact of radiation LET on manifestation of HRS/IRR response in Chinese hamster cells ovary cells exposed to radiations used in radiotherapy. Earlier we have investigated this response to carbon ions (455 MeV/amu) in the pristine Bragg curve plateau and behind [...] Read more.
We study the impact of radiation LET on manifestation of HRS/IRR response in Chinese hamster cells ovary cells exposed to radiations used in radiotherapy. Earlier we have investigated this response to carbon ions (455 MeV/amu) in the pristine Bragg curve plateau and behind the Bragg peak, 60Co γ-rays, and 14.5 MeV neutrons. Now we present results of cytogenetic metaphase analysis in plateau-phase CHO-K1 cells irradiated with scanning beam protons (83 MeV) at doses < 1 Gy and additional data for 14.5 MeV neutrons. Dose curves for frequency of total chromosome aberrations (CA, protons), paired fragments (protons, neutrons), aberrant cells (neutrons) had typical HRS/IRR structure: HRS region (up to 0.1 and 0.15 Gy), IRR region (0.1–0.6 Gy and 0.15–0.35 Gy) for protons and neutrons, respectively, and regular dose dependence. Taken together with previous results, the data show that LET increase shifts the HRS upper border (from 0.08–0.1 Gy for γ-rays, protons and plateau carbons to 0.12–0.15 Gy for “tail” carbons and neutrons). The IRR regions shortens (0.52–0.4 γ-rays and protons, 0.25 plateau carbons, 0.2 Gy “tail” carbons and neutrons). CA level of IRR increases by 1.5–2.5 times for carbons as compared to γ-rays and protons. Outside HRS/IRR the yield of CA also enhanced with LET increase. The results obtained for different LET radiations suggest that CHO-K1 cells with G1-like CA manifested the general feature of the HRS/IRR phenomena. Full article
(This article belongs to the Special Issue Advances in Radiation Toxicity)
Show Figures

Figure 1

18 pages, 2324 KB  
Article
Preclinical Head and Neck Squamous Cell Carcinoma Models for Combined Targeted Therapy Approaches
by Nina Schoenwaelder, Mareike Krause, Thomas Freitag, Björn Schneider, Sarah Zonnur, Annette Zimpfer, Anne Sophie Becker, Inken Salewski, Daniel Fabian Strüder, Heiko Lemcke, Christina Grosse-Thie, Christian Junghanss and Claudia Maletzki
Cancers 2022, 14(10), 2484; https://doi.org/10.3390/cancers14102484 - 18 May 2022
Cited by 8 | Viewed by 3091
Abstract
This study aimed to refine combined targeted approaches on well-characterized, low-passage tumor models. Upon in vivo xenografting in immunodeficient mice, three cell lines from locally advanced or metastatic HNSCC were established. Following quality control and basic characterization, drug response was examined after therapy [...] Read more.
This study aimed to refine combined targeted approaches on well-characterized, low-passage tumor models. Upon in vivo xenografting in immunodeficient mice, three cell lines from locally advanced or metastatic HNSCC were established. Following quality control and basic characterization, drug response was examined after therapy with 5-FU, Cisplatin, and cyclin-dependent kinase inhibitors (abemaciclib, THZ1). Our cell lines showed different in vitro growth kinetics, morphology, invasive potential, and radiosensitivity. All cell lines were sensitive to 5-FU, Cisplatin, and THZ1. One cell line (HNSCC48 P0 M1) was sensitive to abemaciclib. Here, Cyto-FISH revealed a partial CDKN2a deletion, which resulted from a R58* mutation. Moreover, this cell line demonstrated chromosome 12 polysomy, accompanied by an increase in CDK4-specific copy numbers. In HNSCC16 P1 M1, we likewise identified polysomy-associated CDK4-gains. Although not sensitive to abemaciclib per se, the cell line showed a G1-arrest, an increased number of acidic organelles, and a swollen structure. Notably, intrinsic resistance was conquered by Cisplatin because of cMYC and IDO-1 downregulation. Additionally, this Cisplatin-CDKI combination induced HLA-ABC and PD-L1 upregulation, which may enhance immunogenicity. Performing functional and molecular analysis on patient-individual HNSCC-models, we identified CDK4-gains as a biomarker for abemaciclib response prediction and describe an approach to conquer intrinsic CDKI resistance. Full article
(This article belongs to the Special Issue Patient-Derived Cancer Models)
Show Figures

Figure 1

18 pages, 4750 KB  
Article
Influence of Gender on Radiosensitivity during Radiochemotherapy of Advanced Rectal Cancer
by Barbara Schuster, Markus Hecht, Manfred Schmidt, Marlen Haderlein, Tina Jost, Maike Büttner-Herold, Klaus Weber, Axel Denz, Robert Grützmann, Arndt Hartmann, Hans Geinitz, Rainer Fietkau and Luitpold V. Distel
Cancers 2022, 14(1), 148; https://doi.org/10.3390/cancers14010148 - 29 Dec 2021
Cited by 18 | Viewed by 2455
Abstract
Gender is increasingly recognized as an important factor in medicine, although it has long been neglected in medical research in many areas. We have studied the influence of gender in advanced rectal cancer with a special focus on radiosensitivity. For this purpose, we [...] Read more.
Gender is increasingly recognized as an important factor in medicine, although it has long been neglected in medical research in many areas. We have studied the influence of gender in advanced rectal cancer with a special focus on radiosensitivity. For this purpose, we studied a cohort of 495 men (84.1% ≥ T3, 63.6% N1, 17.6%, M1) and 215 women (84.2% ≥ T3, 56.7% N1, 22.8%, M1) who all suffered from advanced rectal cancer and were treated with radiochemotherapy. The energy deposited, DNA double-strand break (dsb) repair, occurrence of chromosomal aberrations, duration of therapy, tumor regression and tumor-infiltrating lymphocytes, laboratory parameters, quality of life and survival were assessed. The residual DNA dsb damage 24 h after irradiation in lymphocytes was identical in both sexes. Furthermore, chromosomal aberrations accurately reflecting radiosensitivity, were similar in both sexes. There were no gender-dependent differences in tumor regression, tumor-infiltrating lymphocytes and outcome indicating no differences in the radiosensitivity of cancer cells. The irradiated tumor volume in women was slightly lower than in men, related to body weight, no difference was observed. However, when the total energy deposited was calculated and related to the body weight, women were exposed to higher amounts of ionizing radiation. During radiochemotherapy, decreases in blood lymphocyte counts and albumin and several quality-of-life parameters such as nausea and vomiting, loss of appetite, and diarrhea were significantly worse in women. There is no difference in radiation sensitivity between men and women in both normal tissue and tumors. During radiochemotherapy, the quality of life deteriorates more in women than in men. However, women also recover quickly and there are no long-term differences in quality of life. Full article
(This article belongs to the Special Issue Colorectal Cancers: From Present Problems to Future Solutions)
Show Figures

Graphical abstract

16 pages, 1184 KB  
Article
A Validation Study on Immunophenotypic Differences in T-lymphocyte Chromosomal Radiosensitivity between Newborns and Adults in South Africa
by Monique Engelbrecht, Roya Ndimba, Xanthene Miles, Shankari Nair, Matthys Hendrik Botha, Elbie Zwanepoel, Evan de Kock, Maryna de Kock and Charlot Vandevoorde
Radiation 2022, 2(1), 1-16; https://doi.org/10.3390/radiation2010001 - 22 Dec 2021
Viewed by 4142
Abstract
Children have an increased risk of developing radiation-induced secondary malignancies compared to adults, due to their high radiosensitivity and longer life expectancy. In contrast to the epidemiological evidence, there is only a handful of radiobiology studies which investigate the difference in radiosensitivity between [...] Read more.
Children have an increased risk of developing radiation-induced secondary malignancies compared to adults, due to their high radiosensitivity and longer life expectancy. In contrast to the epidemiological evidence, there is only a handful of radiobiology studies which investigate the difference in radiosensitivity between children and adults at a cellular level. In this study, the previous results on the potential age dependency in chromosomal radiosensitivity were validated again by means of the cytokinesis-block micronucleus (CBMN) assay in T-lymphocytes isolated from the umbilical cord and adult peripheral blood of a South African population. The isolated cells were irradiated with 60Co γ-rays at doses ranging from 0.5 Gy to 4 Gy. Increased radiosensitivities of 34%, 42%, 29%, 26% and 16% were observed for newborns compared to adults at 0.5, 1, 2, 3 and 4 Gy, respectively. An immunophenotypic evaluation with flow cytometry revealed a significant change in the fraction of naïve (CD45RA+) T-lymphocytes in CD4+ and CD8+ T-lymphocytes with age. Newborns co-expressed an average of 91.05% CD45RA+ (range: 80.80–98.40%) of their CD4+ cells, while this fraction decreased to an average of 39.08% (range: 12.70–58.90%) for adults. Similar observations were made for CD8+ cells. This agrees with previous published results that the observed differences in chromosomal radiosensitivity between newborn and adult T-lymphocytes could potentially be linked to their immunophenotypic profiles. Full article
Show Figures

Graphical abstract

18 pages, 3894 KB  
Article
A 4-Gene Signature of CDKN1, FDXR, SESN1 and PCNA Radiation Biomarkers for Prediction of Patient Radiosensitivity
by Orla Howe, Lisa White, Daniel Cullen, Grainne O’Brien, Laura Shields, Jane Bryant, Emma Noone, Shirley Bradshaw, Marie Finn, Mary Dunne, Aoife M. Shannon, John Armstrong, Brendan McClean, Aidan Meade, Christophe Badie and Fiona M. Lyng
Int. J. Mol. Sci. 2021, 22(19), 10607; https://doi.org/10.3390/ijms221910607 - 30 Sep 2021
Cited by 10 | Viewed by 3297
Abstract
The quest for the discovery and validation of radiosensitivity biomarkers is ongoing and while conventional bioassays are well established as biomarkers, molecular advances have unveiled new emerging biomarkers. Herein, we present the validation of a new 4-gene signature panel of CDKN1, FDXR, SESN1 [...] Read more.
The quest for the discovery and validation of radiosensitivity biomarkers is ongoing and while conventional bioassays are well established as biomarkers, molecular advances have unveiled new emerging biomarkers. Herein, we present the validation of a new 4-gene signature panel of CDKN1, FDXR, SESN1 and PCNA previously reported to be radiation-responsive genes, using the conventional G2 chromosomal radiosensitivity assay. Radiation-induced G2 chromosomal radiosensitivity at 0.05 Gy and 0.5 Gy IR is presented for a healthy control (n = 45) and a prostate cancer (n = 14) donor cohort. For the prostate cancer cohort, data from two sampling time points (baseline and Androgen Deprivation Therapy (ADT)) is provided, and a significant difference (p > 0.001) between 0.05 Gy and 0.5 Gy was evident for all donor cohorts. Selected donor samples from each cohort also exposed to 0.05 Gy and 0.5 Gy IR were analysed for relative gene expression of the 4-gene signature. In the healthy donor cohort, there was a significant difference in gene expression between IR dose for CDKN1, FXDR and SESN1 but not PCNA and no significant difference found between all prostate cancer donors, unless they were classified as radiation-induced G2 chromosomal radiosensitive. Interestingly, ADT had an effect on radiation response for some donors highlighting intra-individual heterogeneity of prostate cancer donors. Full article
(This article belongs to the Special Issue Molecular Research in Radiobiology)
Show Figures

Figure 1

39 pages, 4029 KB  
Review
Molecular Pathology and Targeted Therapies for Personalized Management of Central Nervous System Germinoma
by Cristina Ilcus, Horatiu Silaghi, Carmen Emanuela Georgescu, Carmen Georgiu, Anca Ileana Ciurea, Simona Delia Nicoara and Cristina Alina Silaghi
J. Pers. Med. 2021, 11(7), 661; https://doi.org/10.3390/jpm11070661 - 14 Jul 2021
Cited by 14 | Viewed by 6367
Abstract
Intracranial germinomas are rare tumours, usually affecting male paediatric patients. They frequently develop in the pineal and suprasellar regions, causing endocrinological disturbances, visual deficits, and increased intracranial pressure. The diagnosis is established on magnetic resonance imaging (MRI), serum and cerebrospinal fluid (CSF) markers, [...] Read more.
Intracranial germinomas are rare tumours, usually affecting male paediatric patients. They frequently develop in the pineal and suprasellar regions, causing endocrinological disturbances, visual deficits, and increased intracranial pressure. The diagnosis is established on magnetic resonance imaging (MRI), serum and cerebrospinal fluid (CSF) markers, and tumour stereotactic biopsy. Imaging techniques, such as susceptibility-weighted imaging (SWI), T2* (T2-star) gradient echo (GRE) or arterial spin labelling based perfusion-weighted MRI (ASL-PWI) facilitate the diagnosis. Germinomas are highly radiosensitive tumours, with survival rates >90% in the context of chemoradiotherapy. However, patients with resistant disease have limited therapeutic options and poor survival. The aim of this review is to highlight the genetic, epigenetic, and immunologic features, which could provide the basis for targeted therapy. Intracranial germinomas present genetic and epigenetic alterations (chromosomal aberrations, KIT, MAPK and PI3K pathways mutations, DNA hypomethylation, miRNA dysregulation) that may represent targets for therapy. Tyrosine kinase and mTOR inhibitors warrant further investigation in these cases. Immune markers, PD-1 (programmed cell death protein 1) and PD-L1 (programmed death-ligand 1), are expressed in germinomas, representing potential targets for immune checkpoint inhibitors. Resistant cases should benefit from a personalized management: genetic and immunological testing and enrolment in trials evaluating targeted therapies in intracranial germinomas. Full article
Show Figures

Figure 1

16 pages, 3420 KB  
Article
Strong Shift to ATR-Dependent Regulation of the G2-Checkpoint after Exposure to High-LET Radiation
by Veronika Mladenova, Emil Mladenov, Michael Scholz, Martin Stuschke and George Iliakis
Life 2021, 11(6), 560; https://doi.org/10.3390/life11060560 - 14 Jun 2021
Cited by 14 | Viewed by 3956
Abstract
The utilization of high linear-energy-transfer (LET) ionizing radiation (IR) modalities is rapidly growing worldwide, causing excitement but also raising concerns, because our understanding of their biological effects is incomplete. Charged particles such as protons and heavy ions have increasing potential in cancer therapy, [...] Read more.
The utilization of high linear-energy-transfer (LET) ionizing radiation (IR) modalities is rapidly growing worldwide, causing excitement but also raising concerns, because our understanding of their biological effects is incomplete. Charged particles such as protons and heavy ions have increasing potential in cancer therapy, due to their advantageous physical properties over X-rays (photons), but are also present in the space environment, adding to the health risks of space missions. Therapy improvements and the protection of humans during space travel will benefit from a better understanding of the mechanisms underpinning the biological effects of high-LET IR. There is evidence that high-LET IR induces DNA double-strand breaks (DSBs) of increasing complexity, causing enhanced cell killing, owing, at least partly, to the frequent engagement of a low-fidelity DSB-repair pathway: alternative end-joining (alt-EJ), which is known to frequently induce severe structural chromosomal abnormalities (SCAs). Here, we evaluate the radiosensitivity of A549 lung adenocarcinoma cells to X-rays, α-particles and 56Fe ions, as well as of HCT116 colorectal cancer cells to X-rays and α-particles. We observe the expected increase in cell killing following high-LET irradiation that correlates with the increased formation of SCAs as detected by mFISH. Furthermore, we report that cells exposed to low doses of α-particles and 56Fe ions show an enhanced G2-checkpoint response which is mainly regulated by ATR, rather than the coordinated ATM/ATR-dependent regulation observed after exposure to low doses of X-rays. These observations advance our understanding of the mechanisms underpinning high-LET IR effects, and suggest the potential utility for ATR inhibitors in high-LET radiation therapy. Full article
(This article belongs to the Special Issue Radiobiology in Space)
Show Figures

Graphical abstract

15 pages, 16088 KB  
Article
DNA Damage Response during Replication Correlates with CIN70 Score and Determines Survival in HNSCC Patients
by Ioan T. Bold, Ann-Kathrin Specht, Conrad F. Droste, Alexandra Zielinski, Felix Meyer, Till S. Clauditz, Adrian Münscher, Stefan Werner, Kai Rothkamm, Cordula Petersen and Kerstin Borgmann
Cancers 2021, 13(6), 1194; https://doi.org/10.3390/cancers13061194 - 10 Mar 2021
Cited by 10 | Viewed by 3992
Abstract
Aneuploidy is a consequence of chromosomal instability (CIN) that affects prognosis. Gene expression levels associated with aneuploidy provide insight into the molecular mechanisms underlying CIN. Based on the gene signature whose expression was consistent with functional aneuploidy, the CIN70 score was established. We [...] Read more.
Aneuploidy is a consequence of chromosomal instability (CIN) that affects prognosis. Gene expression levels associated with aneuploidy provide insight into the molecular mechanisms underlying CIN. Based on the gene signature whose expression was consistent with functional aneuploidy, the CIN70 score was established. We observed an association of CIN70 score and survival in 519 HNSCC patients in the TCGA dataset; the 15% patients with the lowest CIN70 score showed better survival (p = 0.11), but association was statistically non-significant. This correlated with the expression of 39 proteins of the major repair complexes. A positive association with survival was observed for MSH2, XRCC1, MRE11A, BRCA1, BRCA2, LIG1, DNA2, POLD1, MCM2, RAD54B, claspin, a negative for ERCC1, all related with replication. We hypothesized that expression of these factors leads to protection of replication through efficient repair and determines survival and resistance to therapy. Protein expression differences in HNSCC cell lines did not correlate with cellular sensitivity after treatment. Rather, it was observed that the stability of the DNA replication fork determined resistance, which was dependent on the ATR/CHK1-mediated S-phase signaling cascade. This suggests that it is not the expression of individual DNA repair proteins that causes therapy resistance, but rather a balanced expression and coordinated activation of corresponding signaling cascades. Full article
Show Figures

Figure 1

22 pages, 3376 KB  
Article
Telomere Length Dynamics and Chromosomal Instability for Predicting Individual Radiosensitivity and Risk via Machine Learning
by Jared J. Luxton, Miles J. McKenna, Aidan M. Lewis, Lynn E. Taylor, Sameer G. Jhavar, Gregory P. Swanson and Susan M. Bailey
J. Pers. Med. 2021, 11(3), 188; https://doi.org/10.3390/jpm11030188 - 8 Mar 2021
Cited by 16 | Viewed by 4592
Abstract
The ability to predict a cancer patient’s response to radiotherapy and risk of developing adverse late health effects would greatly improve personalized treatment regimens and individual outcomes. Telomeres represent a compelling biomarker of individual radiosensitivity and risk, as exposure can result in dysfunctional [...] Read more.
The ability to predict a cancer patient’s response to radiotherapy and risk of developing adverse late health effects would greatly improve personalized treatment regimens and individual outcomes. Telomeres represent a compelling biomarker of individual radiosensitivity and risk, as exposure can result in dysfunctional telomere pathologies that coincidentally overlap with many radiation-induced late effects, ranging from degenerative conditions like fibrosis and cardiovascular disease to proliferative pathologies like cancer. Here, telomere length was longitudinally assessed in a cohort of fifteen prostate cancer patients undergoing Intensity Modulated Radiation Therapy (IMRT) utilizing Telomere Fluorescence in situ Hybridization (Telo-FISH). To evaluate genome instability and enhance predictions for individual patient risk of secondary malignancy, chromosome aberrations were assessed utilizing directional Genomic Hybridization (dGH) for high-resolution inversion detection. We present the first implementation of individual telomere length data in a machine learning model, XGBoost, trained on pre-radiotherapy (baseline) and in vitro exposed (4 Gy γ-rays) telomere length measurements, to predict post radiotherapy telomeric outcomes, which together with chromosomal instability provide insight into individual radiosensitivity and risk for radiation-induced late effects. Full article
(This article belongs to the Special Issue Radiation Response Biomarkers for Individualised Cancer Treatments)
Show Figures

Figure 1

Back to TopTop