Sign in to use this feature.

Years

Between: -

Subjects

remove_circle_outline
remove_circle_outline
remove_circle_outline
remove_circle_outline
remove_circle_outline

Journals

Article Types

Countries / Regions

Search Results (6)

Search Parameters:
Keywords = chloromethylisothiazolinone (CMIT)

Order results
Result details
Results per page
Select all
Export citation of selected articles as:
10 pages, 216 KB  
Article
Absence of Adverse Effects on Pulmonary Histopathology and Functions Following Inhalation Exposure to Chloromethylisothiazolinone/Methylisothiazolinone
by Sam Kacew and Esref Demir
Toxics 2025, 13(6), 482; https://doi.org/10.3390/toxics13060482 - 6 Jun 2025
Cited by 1 | Viewed by 1058
Abstract
In South Korea, issues have been raised regarding exposure to humidifier disinfectant products containing certain chemicals postulated to induce lung diseases in consumers. Several rodent studies utilizing whole-body inhalation, which comprises freely moving animals breathing through the nares, and intranasal instillation involving restraint, [...] Read more.
In South Korea, issues have been raised regarding exposure to humidifier disinfectant products containing certain chemicals postulated to induce lung diseases in consumers. Several rodent studies utilizing whole-body inhalation, which comprises freely moving animals breathing through the nares, and intranasal instillation involving restraint, were conducted by various Korean Governmental Agencies on these products to investigate whether there is a causal relationship between these products and the development of lung diseases. In particular, the humidifier disinfectant product Kathon, containing chloromethylisothiazolinone and methylisothiazolinone (CMIT and MIT), when directly introduced into inhalation chambers at varying concentrations for up to 13 weeks, produced no significant histopathological alterations and no marked changes in pulmonary function parameters. Further, there was no evidence of cytotoxicity; total and differential cell counts did not differ from control. In addition, the levels of cytokine markers of inflammation were not markedly altered. In contrast to published papers utilizing intratracheal and intranasal instillation, where the animal is anesthetized and chemical bypasses the defense mechanisms in the respiratory tract, then reaches the pulmonary region, ignoring recommended dose levels was found to initiate fibrotic responses in mice and rats. However, the usefulness of experimental results to extrapolate to humans obtained following intratracheal and intranasal instillation studies is of limited value because the data generated did not use a realistic design and appropriate dosimetry. Therefore, these findings have significant drawbacks in their use to characterize an inhalation risk for pulmonary fibrosis in humans and cannot be used for the extrapolation of such risk to humans. It is thus evident that the inhalation data generated by the Korean Regulatory Agencies are more realistic and show that exposure to CMIT and MIT does not initiate pulmonary fibrosis. Although inhalation studies still do not fully replicate real-world human exposure scenarios and have limitations for direct extrapolation to humans, they are nevertheless more appropriate than intratracheal or intranasal instillation models. Full article
(This article belongs to the Topic Environmental Toxicology and Human Health—2nd Edition)
Show Figures

Graphical abstract

15 pages, 8090 KB  
Article
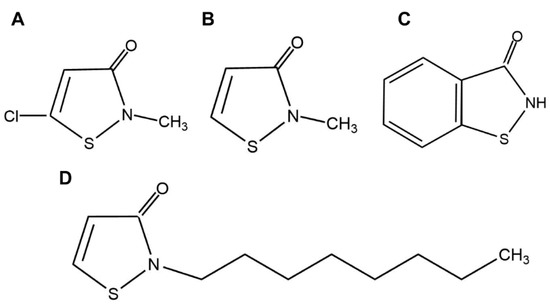
A Study on the Behavior Patterns of Liquid Aerosols Using Disinfectant Chloromethylisothiazolinone/Methylisothiazolinone Solution
by Yong-Hyun Kim, Mi-Kyung Song and Kyuhong Lee
Molecules 2021, 26(19), 5725; https://doi.org/10.3390/molecules26195725 - 22 Sep 2021
Cited by 2 | Viewed by 2944
Abstract
This study evaluates the behavioral characteristics of components (methylisothiazolinone (MIT) and chloromethylisothiazolinone (CMIT)) contained in disinfectant solutions when they convert to liquid aerosols. The analytical method for MIT and CMIT quantitation was established and optimized using sorbent tube/thermal desorber-gas chromatography-mass spectrometry system; their [...] Read more.
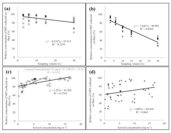
This study evaluates the behavioral characteristics of components (methylisothiazolinone (MIT) and chloromethylisothiazolinone (CMIT)) contained in disinfectant solutions when they convert to liquid aerosols. The analytical method for MIT and CMIT quantitation was established and optimized using sorbent tube/thermal desorber-gas chromatography-mass spectrometry system; their behavioral characteristics are discussed using the quantitative results of these aerosols under different liquid aerosol generation conditions. MIT and CMIT showed different behavioral characteristics depending on the aerosol mass concentration and sampling time (sampling volume). When the disinfectant solution was initially aerosolized, MIT and CMIT were primarily collected on glass filter (MIT = 91.8 ± 10.6% and CMIT = 90.6 ± 5.18%), although when the generation and filter sampling volumes of the aerosols increased to 30 L, the relative proportions collected on the filter decreased (MIT = 79.0 ± 12.0% and CMIT = 39.7 ± 8.35%). Although MIT and CMIT had relatively high vapor pressure, in liquid aerosolized state, they primarily accumulated on the filter and exhibited particulate behavior. Their relative proportions in the aerosol were different from those in disinfectant solution. In the aerosol with mass concentration of ≤5 mg m−3, the relative proportion deviations of MIT and CMIT were large; when the mass concentration of the aerosol increased, their relative proportions constantly converged at a lower level than those in the disinfectant solution. Hence, it can be concluded that the behavioral characteristics and relative proportions need to be considered to perform the quantitative analysis of the liquid aerosols and evaluate various toxic effects using the quantitative data. Full article
Show Figures

Figure 1

10 pages, 2150 KB  
Article
MTF1 Is Essential for the Expression of MT1B, MT1F, MT1G, and MT1H Induced by PHMG, but Not CMIT, in the Human Pulmonary Alveolar Epithelial Cells
by Sang-Hoon Jeong, Cherry Kim, Jaeyoung Kim, Yoon-Jeong Nam, Hong Lee, Ariunaa Togloom, Ja-Young Kang, Jin-Young Choi, Hyejin Lee, Myeong-Ok Song, Eun-Kee Park, Yong-Wook Baek, Ju-Han Lee and Ki-Yeol Lee
Toxics 2021, 9(9), 203; https://doi.org/10.3390/toxics9090203 - 29 Aug 2021
Cited by 13 | Viewed by 5074
Abstract
The inhalation of humidifier disinfectants (HDs) is linked to HD-associated lung injury (HDLI). Polyhexamethylene guanidine (PHMG) is significantly involved in HDLI, but the correlation between chloromethylisothiazolinone (CMIT) and HDLI remains ambiguous. Additionally, the differences in the molecular responses to PHMG and CMIT are [...] Read more.
The inhalation of humidifier disinfectants (HDs) is linked to HD-associated lung injury (HDLI). Polyhexamethylene guanidine (PHMG) is significantly involved in HDLI, but the correlation between chloromethylisothiazolinone (CMIT) and HDLI remains ambiguous. Additionally, the differences in the molecular responses to PHMG and CMIT are poorly understood. In this study, RNA sequencing (RNA-seq) data showed that the expression levels of metallothionein-1 (MT1) isoforms, including MT1B, MT1E, MT1F, MT1G, MT1H, MT1M, and MT1X, were increased in human pulmonary alveolar epithelial cells (HPAEpiCs) that were treated with PHMG but not in those treated with CMIT. Moreover, upregulation of MT1B, MT1F, MT1G, and MT1H was observed only in PHMG-treated HPAEpiCs. The protein expression level of metal regulatory transcription factor 1 (MTF1), which binds to the promoters of MT1 isoforms, was increased in PHMG-treated HPAEpiCs but not in CMIT-treated HPAEpiCs. However, the expression of early growth response 1 (EGR1) and nuclear receptor superfamily 3, group C, member 1 (NR3C1), other transcriptional regulators involved in MT1 isomers, were increased regardless of treatment with PHMG or CMIT. These results suggest that MTF1 is an essential transcription factor for the induction of MT1B, MT1F, MT1G, and MT1H by PHMG but not by CMIT. Full article
(This article belongs to the Section Toxicology)
Show Figures

Figure 1

10 pages, 404 KB  
Article
Effects of Kathon, a Chemical Used Widely as a Microbicide, on the Survival of Two Species of Mosquitoes
by Wen-Ze He, Li-Long Pan, Wen-Hao Han, Shaaban Abd-Rabou, Shu-Sheng Liu and Xiao-Wei Wang
Molecules 2021, 26(14), 4177; https://doi.org/10.3390/molecules26144177 - 9 Jul 2021
Viewed by 2942
Abstract
In recent decades, demands for novel insecticides against mosquitoes are soaring, yet candidate chemicals with desirable properties are limited. Kathon is a broad-spectrum isothiazolinone microbicide, but other applications remain uncharacterized. First, we treated larvae of Culex quinquefasciatus and Aedes albopictus, two major [...] Read more.
In recent decades, demands for novel insecticides against mosquitoes are soaring, yet candidate chemicals with desirable properties are limited. Kathon is a broad-spectrum isothiazolinone microbicide, but other applications remain uncharacterized. First, we treated larvae of Culex quinquefasciatus and Aedes albopictus, two major mosquito vectors of human viral diseases, with Kathon at 15 mg/L (a concentration considered safe in cosmetic and body care products), and at lower concentrations, and found that Kathon treatment resulted in high mortality of larvae. Second, sublethal concentration of Kathon can cause significantly prolonged larval development of C. quinquefasciatus. Third, we explored the effects of two constituents of Kathon, chloromethylisothiazolinone (CMIT) and methylisothiazolinone (MIT), on the survival of larvae, and found that CMIT was the major toxic component. Further, we explored the mechanisms of action of Kathon against insect cells and found that Kathon reduces cell viability and adenosine triphosphate production but promotes the release of lactate dehydrogenase in Drosophila melanogaster S2 cells. Our results indicate that Kathon is highly toxic to mosquito larvae, and we highlight its potential in the development of new larvicides for mosquito control. Full article
(This article belongs to the Section Applied Chemistry)
Show Figures

Graphical abstract

12 pages, 2067 KB  
Article
Isothiazolinones as Novel Candidate Insecticides for the Control of Hemipteran Insects
by Wenze He, Lilong Pan, Wenhao Han and Xiaowei Wang
Antibiotics 2021, 10(4), 436; https://doi.org/10.3390/antibiotics10040436 - 14 Apr 2021
Cited by 10 | Viewed by 3303
Abstract
Hemipteran insects, such as whiteflies, aphids and planthoppers, resemble one of the most important pest groups threating food security. While many insecticides have been used to control these pests, many issues such as insecticide resistance have been found, highlighting the urgent need to [...] Read more.
Hemipteran insects, such as whiteflies, aphids and planthoppers, resemble one of the most important pest groups threating food security. While many insecticides have been used to control these pests, many issues such as insecticide resistance have been found, highlighting the urgent need to develop novel insecticides. Here, we first observed that a commercial tetramycin solution was highly effective in killing whitefly. The major bioactive constituents were identified to be isothiazolinones, a group of biocides. We then tested the toxicity of several isothiazolinones to five hemipteran insects. The results show that Kathon, a widely used biocide against microorganisms, and its two constituents, chloromethylisothiazolinone (CMIT) and methylisothiazolinone (MIT), can cause considerable levels of mortality to whiteflies and aphids when applied at concentrations close to, or lower than, the upper limit of these chemicals permitted in cosmetic products. The results also indicate that two other isothiazolinones, benzisothiazolinone (BIT) and octylisothiazolinone (OIT) can cause considerable levels of mortality to whitefly and aphids but are less toxic than Kathon. Further, we show that Kathon marginally affects whitefly endosymbionts, suggesting its insecticidal activity is independent of its biocidal activity. These results suggest that some isothiazolinones are promising candidates for the development of a new class of insecticides for the control of hemipteran pests. Full article
Show Figures

Figure 1

14 pages, 1011 KB  
Article
Characteristics of Exposure to Chloromethylisothiazolinone (CMIT) and Methylisothiazolinone (MIT) among Humidifier Disinfectant-Associated Lung Injury (HDLI) Patients in South Korea
by Dong-Uk Park, Seon-Kyung Park, Jiwon Kim, Jihoon Park, Seung-Hun Ryu, Ju-Hyun Park, So-Yeon Lee, Han Bin Oh, Sungkyoon Kim, Kyung Ehi Zoh, Soyoung Park and Jung-Hwan Kwon
Molecules 2020, 25(22), 5284; https://doi.org/10.3390/molecules25225284 - 12 Nov 2020
Cited by 19 | Viewed by 5380
Abstract
This study aimed to quantify both chloromethylisothiazolinone (CMIT) and methylisothiazolinone (MIT) dissolved in different product brands and to characterize the exposure to these chemicals among humidifier disinfectant-associated lung injury (HDLI) patients. Both CMIT and MIT dissolved in different humidifier disinfectant (HD) products were [...] Read more.
This study aimed to quantify both chloromethylisothiazolinone (CMIT) and methylisothiazolinone (MIT) dissolved in different product brands and to characterize the exposure to these chemicals among humidifier disinfectant-associated lung injury (HDLI) patients. Both CMIT and MIT dissolved in different humidifier disinfectant (HD) products were quantified using gas chromatography–mass spectrometry. The inhalation level of CMIT and MIT was estimated based on HD-associated factors as reported by HDLI patients. A total of eleven HD products marketed until the end of 2011 were found to contain CMIT and/or MIT. The level of combined CMIT and/or MIT dissolved in these HD products ranged from 12 to 353 ppm. The level varied among HD products and the year of manufacture. The average inhalation levels were estimated to be 7.5, 4.1, and 3.2 μg/m3 for the definite, probable, and possible groups, respectively. If probable and possible groups were collapsed together, the inhalation level of the collapsed group was significantly different from that of the definite group (p < 0.001). All HDLI patients responded as having used HD not only while sleeping, but also as having a humidifier treated with HD within close proximity every day in insufficiently ventilated spaces. These HD use characteristics of patients may be directly/indirectly linked to the HDLI development. Full article
Show Figures

Figure 1

Back to TopTop