Sign in to use this feature.

Years

Between: -

Subjects

remove_circle_outline
remove_circle_outline
remove_circle_outline
remove_circle_outline
remove_circle_outline
remove_circle_outline

Journals

Article Types

Countries / Regions

Search Results (14)

Search Parameters:
Keywords = chitosan-based biostimulants

Order results
Result details
Results per page
Select all
Export citation of selected articles as:
23 pages, 1168 KB  
Article
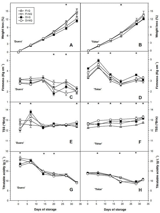
Deficit Irrigation and Preharvest Chitosan Sprays Enhance Fruit Quality and Postharvest Performance in Peach
by Lucía Andreu-Coll, Pedro J. Blaya-Ros, Begoña García-Castellanos, Jesús Vigueras-Fernández, Donaldo Morales-Guevara, José García-García, Jesús García-Brunton, Ángel Calín-Sánchez, Francisca Hernández and Alejandro Galindo
Agronomy 2026, 16(3), 361; https://doi.org/10.3390/agronomy16030361 - 2 Feb 2026
Abstract
Water scarcity in Mediterranean environments has driven the search for sustainable strategies to improve water-use efficiency while maintaining fruit quality. This study evaluated the combined effect of sustained deficit irrigation and preharvest chitosan sprays on fruit quality, bioactive compounds, mineral composition, and postharvest [...] Read more.
Water scarcity in Mediterranean environments has driven the search for sustainable strategies to improve water-use efficiency while maintaining fruit quality. This study evaluated the combined effect of sustained deficit irrigation and preharvest chitosan sprays on fruit quality, bioactive compounds, mineral composition, and postharvest behaviour in two late-season peach cultivars (“Tiétar” and “Duero”) grown under semi-arid Mediterranean conditions. Sustained deficit irrigation was applied throughout the season, together with preharvest chitosan applications during fruit development, to assess individual and interactive effects. Deficit irrigation caused only slight reductions in fruit size while increasing total soluble solids (TSS) concentration and the maturity index (TSS/titratable acidity). Chitosan application increased fruit firmness and modified titratable acidity depending on the irrigation regime (full irrigation or deficit irrigation). The combined treatment (chitosan + deficit irrigation) promoted the accumulation of phenolic compounds and antioxidant activity, particularly in “Tiétar”, increased calcium and iron contents, and showed a longer shelf life. These results indicate that integrating deficit irrigation with preharvest chitosan sprays can mitigate the impact of water scarcity while improving functional and postharvest quality of peaches under Mediterranean conditions. Full article
Show Figures

Figure 1

20 pages, 6100 KB  
Article
Application of Sustainable Crab-Waste-Derived Nanochitosan as a Soil Amendment for Tomato Cultivation in Loam Soil
by Divya Shanmugavel and Omar Solorza-Feria
Sustainability 2026, 18(3), 1213; https://doi.org/10.3390/su18031213 - 25 Jan 2026
Viewed by 163
Abstract
Converting marine biowaste into nano-bioproducts for their application as bio-sourced, circular biostimulants to enhance crop productivity is a promising approach. This study evaluated chitosan–TPP nanoparticles (nanochitosan, ~38 nm) derived from blue crab (Callinectes sapidus) shells as a soil-applied biostimulant and conditioner [...] Read more.
Converting marine biowaste into nano-bioproducts for their application as bio-sourced, circular biostimulants to enhance crop productivity is a promising approach. This study evaluated chitosan–TPP nanoparticles (nanochitosan, ~38 nm) derived from blue crab (Callinectes sapidus) shells as a soil-applied biostimulant and conditioner for tomato (Solanum lycopersicum) grown in loam soil without mineral fertilizer. Our results showed that nanochitosan application as a soil supplement by drench improved the soil moisture content (39% vs. 22%), water-holding capacity (84% vs. 70%), total nitrogen (3.8 vs. 1.4 gm N kg−1), and organic carbon content (48.4 vs. 34.1 gm C kg−1) in nanochitosan-amended soil compared with the non-amended soil. This was accompanied by higher biomass, better root/shoot development and synthesis of phytohormones leading to increased shoot length, early flowering, and increased total soluble solids of fruits in nanochitosan-amended soil compared with control, suggesting that nanochitosan can act both as a beneficial soil conditioner and as a plant biostimulant. The results further show that nanochitosan-based formulations may be used not only as fertilizer-saving bio-inputs but also as bio-based nanochitosan plant biostimulants, which can partly substitute mineral fertilizer application for sustainable production of tomato. Moreover, generic fabrication of such nanochitosan from marine biowaste would support the circular-bioeconomy model to further improve sustainability of agroecosystems. Full article
(This article belongs to the Section Sustainable Agriculture)
Show Figures

Figure 1

48 pages, 681 KB  
Review
Organic Amendments for Sustainable Agriculture: Effects on Soil Function, Crop Productivity and Carbon Sequestration Under Variable Contexts
by Oluwatoyosi O. Oyebiyi, Antonio Laezza, Md Muzammal Hoque, Sounilan Thammavongsa, Meng Li, Sophia Tsipas, Anastasios J. Tasiopoulos, Antonio Scopa and Marios Drosos
C 2026, 12(1), 7; https://doi.org/10.3390/c12010007 - 19 Jan 2026
Viewed by 561
Abstract
Soil amendments play a critical role in improving soil health and supporting sustainable crop production, especially under declining soil fertility and climate-related stress. However, their impact varies because each amendment influences the soil through different biogeochemical processes rather than a single universal mechanism. [...] Read more.
Soil amendments play a critical role in improving soil health and supporting sustainable crop production, especially under declining soil fertility and climate-related stress. However, their impact varies because each amendment influences the soil through different biogeochemical processes rather than a single universal mechanism. This review synthesizes current knowledge on a wide range of soil amendments, including compost, biosolids, green and animal manure, biochar, hydrochar, bagasse, humic substances, algae extracts, chitosan, and newer engineered options such as metal–organic framework (MOF) composites, highlighting their underlying principles, modes of action, and contributions to soil function, crop productivity, and soil carbon dynamics. Across the literature, three main themes emerge: improvement of soil physicochemical properties, enhancement of nutrient cycling and nutrient-use efficiency, and reinforcement of plant resilience to biotic and abiotic stresses. Organic nutrient-based amendments mainly enrich the soil and build organic matter, influencing soil carbon inputs and short- to medium-term increases in soil organic carbon stocks. Biochar, hydrochar, and related materials act mainly as soil conditioners that improve structure, water retention, and soil function. Biostimulant-type amendments, such as algae extracts and chitosan, influence plant physiological responses and stress tolerance. Humic substances exhibit multifunctional effects at the soil–root interface, contributing to improved nutrient efficiency and, in some systems, enhanced carbon retention. The review highlights that no single amendment is universally superior, with outcomes governed by soil–crop context. Its novelty lies in its mechanism-based, cross-amendment synthesis that frames both yield and carbon outcomes as context-dependent rather than universally transferable. Within this framework, humic substances and carbon-rich materials show potential for climate-smart soil management, but long-term carbon sequestration effects remain uncertain and context-dependent. Full article
(This article belongs to the Section Carbon Cycle, Capture and Storage)
Show Figures

Graphical abstract

26 pages, 990 KB  
Review
Advances in the Application of Nanocomposite Hydrogels in Crops
by Diego Gael Hernández-Echave, Gonzalo Casillas-Moreno, Andrés Isaí Romo-Galindo, Tonantzin Anahí Gutiérrez-Gómez, Gilberto Velázquez-Juárez, Moyses Alejandro Rodríguez-Ortega, Rubén Octavio Muñoz-García and Diego Alberto Lomelí-Rosales
Gels 2025, 11(12), 957; https://doi.org/10.3390/gels11120957 - 28 Nov 2025
Viewed by 848
Abstract
Conventional agricultural practices, based on intensive irrigation and heavy fertilizer and pesticide inputs, are increasingly incompatible with climate change, soil degradation, and sustainability goals. Hydrogels have emerged as promising soil amendments to improve water and nutrient management, and fall broadly into two categories: [...] Read more.
Conventional agricultural practices, based on intensive irrigation and heavy fertilizer and pesticide inputs, are increasingly incompatible with climate change, soil degradation, and sustainability goals. Hydrogels have emerged as promising soil amendments to improve water and nutrient management, and fall broadly into two categories: synthetic polyacrylate/polyacrylamide-based systems and natural biobased hydrogels derived from polysaccharides such as alginate, cellulose, and chitosan. The latter, often obtained from agro-industrial residues, offer biodegradable and potentially lower-impact alternatives to persistent synthetic matrices. This review analyzes recent advances in the design and application of nanocomposite hydrogels in agricultural crops, with emphasis on high-value systems such as tomato, chili pepper and maize. Representative studies show that hydrogel–nanofertilizer formulations can increase soil water retention in tomato from ~55–56% to ~78–79%, nearly double swelling capacity in wheat, reduce irrigation requirements by around 15% in legumes, and improve plant biomass by ~30–40% under drought conditions. In parallel, nanocomposite hydrogels loaded with micronutrients, phytochemicals or biostimulants can enhance nutrient uptake, provide 36–80% protection against Fusarium wilt, and reduce postharvest pathogen growth by up to ~90%, while in some cases improving the nutraceutical quality of fruits. These outcomes illustrate a dual mechanism of action in which the hydrogel matrix acts as a micro-reservoir that buffers water and nutrients, whereas nano- and phytochemical components operate as physiological eustressors that modulate plant defense and metabolism. Finally, we discuss environmental and translational challenges, including hydrogel biodegradation pathways, the long-term fate and ecotoxicity of released nanoparticles, regulatory uncertainty, and market and field acceptance. Addressing these gaps through integrative agronomic, ecotoxicological, and regulatory studies is essential to ensure that nanocomposite hydrogels evolve into truly sustainable smart carriers for fertilizers, pesticides, and biostimulants in future cropping systems. Full article
(This article belongs to the Special Issue Polysaccharide Gels for Biomedical and Environmental Applications)
Show Figures

Graphical abstract

23 pages, 4988 KB  
Article
Chitosan-Coated Alginate Matrices with Protein-Based Biostimulants: A Controlled-Release System for Sustainable Agriculture
by Daniel Szopa, Katarzyna Pstrowska and Anna Witek-Krowiak
Materials 2025, 18(3), 591; https://doi.org/10.3390/ma18030591 - 28 Jan 2025
Cited by 13 | Viewed by 3361
Abstract
Developing biodegradable complex fertilizers is crucial for sustainable agriculture to reduce the environmental impact of mineral fertilizers and enhance soil quality. This study evaluated chitosan-based hydrogel coatings for sodium alginate matrices encapsulating amino acid hydrolysates from mealworm larvae, known for their plant growth-promoting [...] Read more.
Developing biodegradable complex fertilizers is crucial for sustainable agriculture to reduce the environmental impact of mineral fertilizers and enhance soil quality. This study evaluated chitosan-based hydrogel coatings for sodium alginate matrices encapsulating amino acid hydrolysates from mealworm larvae, known for their plant growth-promoting properties. The research aims to identify the potential of biopolymer matrices for producing biodegradable slow-release fertilizers and to outline future development pathways necessary for this technology to be usable in the fertilizer industry. Chitosan coatings prepared with citric acid and crosslinked with ascorbic acid optimized plant growth, while those using acetic acid negatively affected it. Water absorption and nutrient release tests showed that chitosan coatings reduced water uptake and slowed initial nutrient release compared to uncoated samples. Leaching assays confirmed controlled-release behavior, with an initial burst followed by stability, driven by alginate–chitosan interactions and ion exchange. The X-ray diffraction (XRD) analysis revealed that adding hydrolysate and chitosan increased amorphousness and reduced porosity, improving structural properties. Thermogravimetric analysis (TGA) and Fourier-transform infrared (FTIR) spectroscopy demonstrated enhanced homogeneity and the presence of chemical interactions, which led to improvements in the material’s thermal stability and chemical characteristics. Biodegradation tests indicated greater durability of chitosan-coated composites, although hydrolysate incorporation accelerated decomposition due to its acidic pH. Germination tests confirmed no phytotoxicity and highlighted the potential of biopolymeric matrices for slow nutrient release. These findings indicate the possibilities of chitosan-coated alginate matrices as sustainable fertilizers, emphasizing the importance of adjusting coating composition and hydrolysate pH for enhanced efficacy and environmental benefits. The main recommendation for future research focuses on optimizing the chitosan coating process by exploring whether adding hydrolysate to the chitosan solution can reduce diffusional losses. Additionally, investigating the use of glycerol in the alginate matrix to minimize pore size and subsequent losses during coating is suggested. Future studies should prioritize analyzing percentage losses during the crosslinking of the alginate matrix, chitosan coating, and final shell crosslinking. This pioneering research highlights the potential for encapsulating liquid fertilizers in biopolymer matrices, offering promising applications in modern sustainable agriculture, which has not been studied in other publications. Full article
(This article belongs to the Section Biomaterials)
Show Figures

Figure 1

16 pages, 3799 KB  
Article
Field Crop Evaluation of Polymeric Nanoparticles of Garlic Extract–Chitosan as Biostimulant Seed Nano-Priming in Cereals and Transcriptomic Insights
by María Mondéjar-López, Alberto José López-Jiménez, Lourdes Gómez-Gómez, Oussama Ahrazem, Joaquín Calixto García-Martínez and Enrique Niza
Polymers 2024, 16(23), 3385; https://doi.org/10.3390/polym16233385 - 30 Nov 2024
Cited by 5 | Viewed by 1598
Abstract
Current crop management worldwide is shifting toward the use of environmentally friendly products. With this objective, we developed a new phytosanitary product with biostimulant properties based on the encapsulation of garlic extract at a lower dose (<0.1%) in chitosan nanoparticles as a seed [...] Read more.
Current crop management worldwide is shifting toward the use of environmentally friendly products. With this objective, we developed a new phytosanitary product with biostimulant properties based on the encapsulation of garlic extract at a lower dose (<0.1%) in chitosan nanoparticles as a seed nano-priming agent. In the present study, the morphology of the nanoparticles, their stability under prolonged storage conditions, and their efficacy as a biostimulant are evaluated on cereals in rainfed crops, and the activities were correlated with a transcriptomic analysis. The nanoparticles showed a spherical shape and had a maximum size close to 200 nm with satisfactory stability at 4 °C, reducing the probability of aggregation processes in the nanoparticles. The biostimulant properties of the nano-priming agent were evaluated in a field experiment with wheat, barley, and oat seeds at 30 and 90 days, showing that plants treated with nanoparticles showed significant differences with higher values in root development, leaf length, and total plant weight. Finally, through a RNA-SEQ analysis of the treated wheat seeds, we have confirmed that the nano-treatment showed a higher increases in regard to development, metabolism, and plant response genes compared with untreated seeds. Full article
(This article belongs to the Section Polymer Composites and Nanocomposites)
Show Figures

Figure 1

23 pages, 6928 KB  
Article
The Application of Stress Modifiers as an Eco-Friendly Approach to Alleviate the Water Scarcity in Ajwain (Carum copticum L.) Plants
by Saeid Heydarzadeh, Ahmad Tobeh, Sodabeh Jahanbakhsh, Salim Farzaneh, Ermenegilda Vitale and Carmen Arena
Plants 2024, 13(23), 3354; https://doi.org/10.3390/plants13233354 - 29 Nov 2024
Cited by 4 | Viewed by 1348
Abstract
Stress modifiers are recognized as biostimulants providing beneficial effects on various plant species. However, the specific potential of modulators such as melatonin, chitosan, humic acid, and selenium in enhancing the resistance of ajwain (Carum copticum L.) plants to water scarcity remains an [...] Read more.
Stress modifiers are recognized as biostimulants providing beneficial effects on various plant species. However, the specific potential of modulators such as melatonin, chitosan, humic acid, and selenium in enhancing the resistance of ajwain (Carum copticum L.) plants to water scarcity remains an open question. To address this knowledge gap, we conducted a randomized, field block-designed factorial experiment over two years (2022–2023) to compare the effectiveness of these biostimulants in mitigating the impact of water shortage on ajwain plants. This study involved three irrigation regimes: 100% field water capacity (FC100%—unstressed), 75% irrigation deficit (FC75%—moderate) and 50% irrigation deficit (FC50%—severe), and four modifier treatments (melatonin, chitosan, humic acid, selenium), plus untreated controls. Plant growth, seed yields, essential oil production, as well as eco-physiological traits were studied to assess the efficacy of these compounds as stress modulators. Water regimes and stress modifier applications, as a single factor or in synergy, significantly affected plant physiology and seed yield, highlighting the importance of sustainability in agricultural practices. Compared to FC100%, biological and seed yield, chlorophyll, and nutrient content decreased under FC75% and FC50%, while essential oil production, proline, soluble sugars, flavonoids, phenols and antioxidant enzymatic activity increased. Notably, regardless of the type of modulator used, the application of these modifiers improved all physiological attributes under moderate and severe irrigation deficits. Among the involved compounds, melatonin induced the most pronounced effects, leading to higher biological and seed yield, essential and fixed oil production, relative leaf water content, chlorophyll and nutrient concentration, and antioxidant activity. Our results demonstrate that such compounds effectively function as stress modulators against water scarcity in ajwain plants by preserving specific eco-physiological traits and promoting water saving. These findings provide valuable insights into their use as a nature-based solution for addressing water stress in sustainable agriculture and climate change challenges. Full article
(This article belongs to the Section Plant Response to Abiotic Stress and Climate Change)
Show Figures

Figure 1

16 pages, 1612 KB  
Article
Sustainable Practices for Arid Climates: Evaluating Combined Mulches with Biostimulant in Combating Soil Salinity and Cowpea Cultivation
by Esraa A. Saber, Mohssen Elbagory, Nasser I. Abdel-Kader, Mohamed E. Ahmed, Lamyaa A. Abd El-Rahman, Tamer H. Khalifa and Alaa El-Dein Omara
Horticulturae 2024, 10(11), 1213; https://doi.org/10.3390/horticulturae10111213 - 17 Nov 2024
Cited by 3 | Viewed by 1563
Abstract
Salinity and water security are significant challenges in arid climates, necessitating effective practices to enhance crop productivity in these stressful environments. To address this, a study was conducted during the summer seasons of 2022 and 2023 using a randomized, completely block setup with [...] Read more.
Salinity and water security are significant challenges in arid climates, necessitating effective practices to enhance crop productivity in these stressful environments. To address this, a study was conducted during the summer seasons of 2022 and 2023 using a randomized, completely block setup with three replications. The research assessed the effects of different mulch materials, unmulched (bare soil), white plastic, rice straw, and sawdust, combined with biostimulant foliar applications (control, bulk chitosan at 250 mg/L, and two concentrations of chitosan nanoparticles at 125 mg/L and 62.5 mg/L) on physiochemical and biological properties of salt-affected soil, as well as on the growth and yield of cowpeas. The findings of this study indicate that different mulch materials exert distinct effects based on their type. For instance, white plastic mulch with chitosan nanoparticles at a concentration of 62.5 mg/L markedly decreased soil salinity (by 10.80% and 14.64%) and ESP (by 6.93% and 6.80%). In contrast, white plastic mulch paired with a control foliar application significantly increased the soil moisture content (by 23.93% and 27.63%) compared to un-mulched soil. The combination of organic mulches and biostimulant foliar treatments significantly enhanced soil health by increasing the pH, organic carbon, nutrient content, and beneficial bacteria while reducing the bulk density and suppressing harmful fungi. Biostimulant foliar treatments have a modest affected soil property. Additionally, this study highlights that integrating specific mulching materials with biostimulant foliar treatments can significantly improve cowpea’s vegetative growth, yield, and nutrient content. This suggests that combining mulches and biostimulants may provide a sustainable solution for enhancing cowpea production in saline environments. Full article
Show Figures

Figure 1

18 pages, 610 KB  
Review
Developing Sustainable Agriculture Systems in Medicinal and Aromatic Plant Production by Using Chitosan and Chitin-Based Biostimulants
by Wenli Sun, Mohamad Hesam Shahrajabian, Spyridon A. Petropoulos and Nazanin Shahrajabian
Plants 2023, 12(13), 2469; https://doi.org/10.3390/plants12132469 - 28 Jun 2023
Cited by 62 | Viewed by 7261
Abstract
Chitosan is illustrated in research as a stimulant of plant tolerance and resistance that promotes natural defense mechanisms against biotic and abiotic stressors, and its use may lessen the amount of agrochemicals utilized in agriculture. Recent literature reports indicate the high efficacy of [...] Read more.
Chitosan is illustrated in research as a stimulant of plant tolerance and resistance that promotes natural defense mechanisms against biotic and abiotic stressors, and its use may lessen the amount of agrochemicals utilized in agriculture. Recent literature reports indicate the high efficacy of soil or foliar usage of chitin and chitosan in the promotion of plant growth and the induction of secondary metabolites biosynthesis in various species, such as Artemisia annua, Curcuma longa, Dracocephalum kotschyi, Catharanthus roseus, Fragaria × ananassa, Ginkgo biloba, Iberis amara, Isatis tinctoria, Melissa officinalis, Mentha piperita, Ocimum basilicum, Origanum vulgare ssp. Hirtum, Psammosilene tunicoides, Salvia officinalis, Satureja isophylla, Stevia rebaudiana, and Sylibum marianum, among others. This work focuses on the outstanding scientific contributions to the field of the production and quality of aromatic and medicinal plants, based on the different functions of chitosan and chitin in sustainable crop production. The application of chitosan can lead to increased medicinal plant production and protects plants against harmful microorganisms. The effectiveness of chitin and chitosan is also due to the low concentration required, low cost, and environmental safety. On the basis of showing such considerable characteristics, there is increasing attention on the application of chitin and chitosan biopolymers in horticulture and agriculture productions. Full article
Show Figures

Figure 1

10 pages, 1416 KB  
Communication
Chitosan Oligosaccharide Lactate Increases Productivity and Quality of Baby Leaf Red Perilla
by Piotr Salachna and Łukasz Łopusiewicz
Agronomy 2022, 12(5), 1182; https://doi.org/10.3390/agronomy12051182 - 14 May 2022
Cited by 8 | Viewed by 4300
Abstract
Perilla (Perilla frutescens) belongs to the Lamiaceae family, is used as a spicy culinary herb leafy vegetable as well as medicinal and ornamental plant. However, little is known about protocols for baby leaf perilla production. Native chitosan is a well-known biostimulant [...] Read more.
Perilla (Perilla frutescens) belongs to the Lamiaceae family, is used as a spicy culinary herb leafy vegetable as well as medicinal and ornamental plant. However, little is known about protocols for baby leaf perilla production. Native chitosan is a well-known biostimulant used in crop plant production. Nevertheless, the influence of water-soluble chitosan oligosaccharide lactate (ChOL) on plant growth and bioactive compounds content remains unknown. The present pot experiment determines the effects of ChOL (0, 50 and 100 mg/L) on growth and selected biochemical characteristics of baby leaf red perilla. Compared to the untreated plants, ChOL application at 50 and 100 mg/L increased plant height (by 14.6% and 13.2%), the fresh weight of the above-ground part of plants (by 17.1% and 26.7%), leaves (by 21.8% and 35.5%) and roots (by 52.2%). The levels of total reducing sugars, polyphenolics, flavonoids and anthocyanins in perilla leaves were significantly higher in all plants treated with ChOL at all tested concentrations. This was confirmed by macromolecules (FT-IR) studies showing higher band intensity for key functional groups in leaf samples. The application of ChOL also enhanced the antioxidant activity by using DPPH, ABTS and O2 radical scavenging activity assays. Based on the research, results suggested that ChOL may be used an effective plant biostimulant for high quality production of baby leaf red perilla. Full article
(This article belongs to the Special Issue A New Decade of Horticultural and Medicinal Plants Cultivation)
Show Figures

Figure 1

13 pages, 847 KB  
Article
Chitosan-Based Bioactive Formulations for the Control of Powdery Mildew in Viticulture
by David Ruano-Rosa, Eva Sánchez-Hernández, Rubén Baquero-Foz, Pablo Martín-Ramos, Jesús Martín-Gil, Sergio Torres-Sánchez and José Casanova-Gascón
Agronomy 2022, 12(2), 495; https://doi.org/10.3390/agronomy12020495 - 16 Feb 2022
Cited by 19 | Viewed by 4867
Abstract
Grapevine is highly susceptible to fungal diseases, whose incidence and severity increase due to climate change. The present work focuses on the assessment of eight combinations of natural products with chitosan oligomers with fungicidal capacity that may be effective in the integrated control [...] Read more.
Grapevine is highly susceptible to fungal diseases, whose incidence and severity increase due to climate change. The present work focuses on the assessment of eight combinations of natural products with chitosan oligomers with fungicidal capacity that may be effective in the integrated control of powdery mildew, in compliance with Article 14 of the European Directive 2009/128/EC. Their efficacy was evaluated in field conditions against natural infections, in a plot with high disease pressure during a growing season (assaying both foliar or root application), and against overwintering inoculums (chasmothecia) through in vitro tests. In addition, their possible biostimulant capacities were evaluated based on harvest yields. Treatments based on chitosan oligomers in combination with secondary metabolites of Streptomyces spp. and chitosan oligomers combined with hydrolyzed gluten showed the best results in terms of disease control. Given the high efficacy of these formulations, comparable to that of conventional antifungals, they constitute an interesting alternative for the control of this disease whose treatment can, in some cases, represent almost half of the production costs. Full article
(This article belongs to the Special Issue Selected Papers from 11th Iberian Agroengineering Congress)
Show Figures

Graphical abstract

12 pages, 325 KB  
Article
Lipid and Yield Evaluation in Salicornia bigelovii by the Influence of Chitosan-IBA, in Conditions of the Sonora Desert
by Gerardo Zapata-Sifuentes, Pablo Preciado-Rangel, Reyna Roxana Guillén-Enríquez, Francisca Sánchez Bernal, Ramon Jaime Holguin-Peña, Carlos Borbón-Morales and Edgar Omar Rueda-Puente
Agronomy 2021, 11(3), 428; https://doi.org/10.3390/agronomy11030428 - 26 Feb 2021
Cited by 7 | Viewed by 3776
Abstract
The present investigation aimed to evaluate the effect of Chitosan-Indole Butyric Acid (IBA) in the seed of Salicornia bigelovii under field conditions in Sonora, Mexico. During two vegetative cycles (2018/2019–2019/2020), cuttings of S. bigelovii were treated with 100 and 50% Chitosan from shrimp [...] Read more.
The present investigation aimed to evaluate the effect of Chitosan-Indole Butyric Acid (IBA) in the seed of Salicornia bigelovii under field conditions in Sonora, Mexico. During two vegetative cycles (2018/2019–2019/2020), cuttings of S. bigelovii were treated with 100 and 50% Chitosan from shrimp exoskeletons and indole butyric acid at 0.937 and 1.25 g·kg−1 and placed in basins under conditions of the Sonora desert, Mexico. Variables were measured: seed production, physicochemical analysis and lipid profile of the seed. The results affected significant increases (p < 0.05) in the evaluated variables, highlighting the treatment based on Chitosan 100%—IBA 0.937 g·kg−1. The results based on chitosan and IBA in cuttings, are a biostimulant in the morpho-physiology, yield production, and lipid content of S. bigelovii. Large-scale studies as a production system should be considered in further studies. Full article
28 pages, 24971 KB  
Article
The Influence of Trichoderma harzianum Rifai T-22 and Other Biostimulants on Rhizosphere Beneficial Microorganisms of Carrot
by Elżbieta Patkowska, Elżbieta Mielniczuk, Agnieszka Jamiołkowska, Barbara Skwaryło-Bednarz and Marzena Błażewicz-Woźniak
Agronomy 2020, 10(11), 1637; https://doi.org/10.3390/agronomy10111637 - 23 Oct 2020
Cited by 33 | Viewed by 8521
Abstract
The principles of good agricultural and horticultural practice, which consider both giving environmental protection and high yielding of plants, require modern cultivation methods. Modern cultivation of horticultural plants uses, for example, cover crops, living mulches, plant growth-promoting microorganisms (PGPMs), plant growth regulators (PGRs) [...] Read more.
The principles of good agricultural and horticultural practice, which consider both giving environmental protection and high yielding of plants, require modern cultivation methods. Modern cultivation of horticultural plants uses, for example, cover crops, living mulches, plant growth-promoting microorganisms (PGPMs), plant growth regulators (PGRs) and other biostimulants protecting the soil against degradation and plants against phytopathogens and stress. The purpose of field and laboratory studies was to determine the effect of Trianum P (containing Trichoderma harzianum Rifai T-22 spores), Beta-Chikol (a.s.—chitosan), Timorex Gold 24 EC (based on tea tree oil) and fungicide Zaprawa Nasienna T 75 DS/WS (a.s.—tiuram 75%) on the health of carrot (Daucus carota L.) plants and the microorganism population in the rhizosphere of this plant. Moreover, the antagonistic effect of rhizosphere fungi on selected carrot fungal pathogens was determined. Laboratory mycological analysis allowed one to determine the qualitative and quantitative composition of fungi colonizing the underground parts of carrot plants. In addition, the total population of fungi and bacteria was determined (including Bacillus sp. and Pseudomonas sp.) based on the microbiological analysis of the rhizosphere soil. The application of the plant growth-promoting fungus (Trichoderma harzianum T-22), chitosan and tea tree oil positively influenced the growth, development and health status of carrot plants. T. harzianum T-22, chitosan and fungicide most effectively protected carrots against infection by soil-borne fungi from the genus Alternaria, Fusarium, Haematonectria, Sclerotinia and Rhizoctonia. The rhizosphere population of Bacillus sp. and Pseudomonas sp. in the treatments with Trianum P or Zaprawa Nasienna T 75 DS/WS was bigger than in the other experimental treatments. A reverse relationship was observed in the population of rhizosphere fungi. T. harzianum T-22, chitosan and tea tree oil promoted the growth of antagonistic fungi (Albifimbria sp., Clonostachys sp., Penicillium sp., Talaromyces sp. and Trichoderma sp.) in the carrot rhizosphere. Antagonistic activity of these fungi towards Alternaria dauci, Alternaria radicina, Sclerotiniasclerotiorum and Rhizoctonia solani was higher after the application of the preparations compared to control. Consequently, Trianum P, Beta-Chikol and Timorex Gold 24 EC can be recommended as plant biostimulants in ecological agricultural production, including Daucus carota cultivation. Full article
Show Figures

Graphical abstract

10 pages, 1211 KB  
Article
Biostimulants for Plant Growth Promotion and Sustainable Management of Phytoparasitic Nematodes in Vegetable Crops
by Trifone D’Addabbo, Sebastiano Laquale, Michele Perniola and Vincenzo Candido
Agronomy 2019, 9(10), 616; https://doi.org/10.3390/agronomy9100616 - 7 Oct 2019
Cited by 40 | Viewed by 7888
Abstract
The parasitism of root-knot nematodes, Meloidogyne spp., can cause heavy yield losses to vegetable crops. Plant biostimulants are often reported for a side-suppressive effect on these pests and many commercial products are increasingly included in sustainable nematode control strategies. Source materials of most [...] Read more.
The parasitism of root-knot nematodes, Meloidogyne spp., can cause heavy yield losses to vegetable crops. Plant biostimulants are often reported for a side-suppressive effect on these pests and many commercial products are increasingly included in sustainable nematode control strategies. Source materials of most biostimulants derived from plant or seaweed raw materials were documented for a reliable suppression of root-knot nematode species, whereas the suppressiveness of microbial biostimulants was found largely variable, as related to the crop and to environmental factors. Chitosan-based biostimulants were also stated for a variable phytonematode suppression, though clearly demonstrated only by a few number of studies. In a preliminary experimental case study, four commercial biostimulants based on quillay extract (QE), sesame oil (SO), seaweeds (SE), or neem seed cake (NC) were comparatively investigated for their effects against the root-knot nematode M. incognita on potted tomato. Soil treatments with all the four biostimulants resulted in a significant reduction of nematode eggs and galls on tomato roots, though NC and SO were significantly more suppressive than QE or SE. In addition, almost all biostimulant treatments also resulted in a significant improvement of tomato growth compared to the non-treated control. These preliminary results seem to confirm the literature data and clearly indicate the potential role of biostimulants for a safe nematode management both in organic and integrated crop systems. Full article
Show Figures

Figure 1

Back to TopTop