Sign in to use this feature.

Years

Between: -

Subjects

remove_circle_outline
remove_circle_outline
remove_circle_outline
remove_circle_outline
remove_circle_outline
remove_circle_outline
remove_circle_outline

Journals

Article Types

Countries / Regions

Search Results (9)

Search Parameters:
Keywords = chest tube output

Order results
Result details
Results per page
Select all
Export citation of selected articles as:
18 pages, 1396 KB  
Article
Perioperative Changes in Hemostatic Properties as Assessed by Multiplate, Siemens PFA-200, and ROTEM—A Comparative Study
by Zrinka Starcevic, Martina Zrno-Mihaljevic, Hrvoje Gasparovic, Marijan Pasalic, Mirna Petricevic, Klaus Goerlinger and Mate Petricevic
J. Clin. Med. 2025, 14(5), 1640; https://doi.org/10.3390/jcm14051640 - 28 Feb 2025
Viewed by 1550
Abstract
Objectives: This study sought to determine the platelet function and viscoelastic blood properties in the pre- and postoperative period using three different point-of-care (POC) devices (Multiplate®, Siemens PFA-200® and ROTEM®). We aimed to investigate the association between preoperative [...] Read more.
Objectives: This study sought to determine the platelet function and viscoelastic blood properties in the pre- and postoperative period using three different point-of-care (POC) devices (Multiplate®, Siemens PFA-200® and ROTEM®). We aimed to investigate the association between preoperative POC test results and bleeding outcomes. Postoperative changes in blood hemostatic properties were also evaluated, as well as the agreement between two platelet function analyzers and rotational thromboelastometry parameters. Methods: The study was conducted in a prospective observational fashion. Patients undergoing elective coronary artery bypass graft surgery (CABG) were enrolled. Hemostatic blood properties were assessed using three different POC devices; two platelet function analyzers were used: (1) Impedance aggregometry (Multiplate®) with the arachidonic acid (ASPI) test and adenosine diphosphate (ADP) test. (2) The Siemens INNOVANCE® PFA-200 System with the following assays: the PFA Collagen/EPI test, PFA Collagen/ADP test, and the INNOVANCE® PFA P2Y test. Viscoelastic blood properties were assessed using ROTEM® delta (TEM Innovations GmbH, Munich, Germany). POC tests were performed simultaneously at two different time points: (1) before surgery and (2) on postoperative day 4, respectively. The primary outcome was defined as amounts of perioperative bleeding and transfusion requirements, classified according to the universal definition for perioperative bleeding (UDPB) score. Results: The study recruited a total number of 63 patients undergoing elective isolated coronary artery bypass graft surgery (CABG). Based on the packed red blood cell (PRBC) transfusion requirements, patients with excessive bleeding were not just only frequently transfused (87.5% vs. 48.9%, p = 0.007) but were also transfused with higher amounts of PRBCs (1338.75 mL ± SD 1416.49 vs. 289.36 mL ± 373.07, p < 0.001). The FIBTEM A30 results significantly correlated with excessive bleeding (Correlation Coefficient Rho = −0.280, p = 0.028). Regression analysis revealed FIBTEM A 30 as a strongest predictor of 24 h chest tube output (CTO) (R Square 0.108, p = 0.009). The receiver operating characteristics curve (ROC) analysis showed that a preoperative FIBTEM A30 < 10.86 mm predicted excessive bleeding with 94% sensitivity and 50% specificity (ROC AUC 68.4%). The multiplate ASPI test results were significantly higher (35.24 AUC ± SD 22.24 vs. 19.43 AUC ± SD 10.74) and the proportion of Aspirin responders was significantly lower (42.4% vs. 76.7%, p = 0.006) in patients considered to have insignificant bleeding. On postoperative day 4, we found platelet hyperreactivity in the ASPItest coupled with a ROTEM-documented shift towards hypercoagulability. Conclusions: Modern hemostatic management and perioperative antiplatelet therapy (APT) administration/discontinuation management should be guided by thromboelastometry and platelet function testing. Prospective interventional trials are necessary to validate such an approach in multicentric studies. Full article
(This article belongs to the Section Cardiovascular Medicine)
Show Figures

Figure 1

10 pages, 1519 KB  
Article
Proof-of-Concept Quantitative Monitoring of Respiration Using Low-Energy Wearable Piezoelectric Thread
by Kenta Horie, Muhammad Salman Al Farisi, Yoshihiro Hasegawa, Miyoko Matsushima, Tsutomu Kawabe and Mitsuhiro Shikida
Electronics 2024, 13(23), 4577; https://doi.org/10.3390/electronics13234577 - 21 Nov 2024
Cited by 5 | Viewed by 2400
Abstract
Currently, wearable sensors can measure vital sign frequencies, such as respiration rate, but they fall short of providing quantitative data, such as respiratory tidal volume. Meanwhile, the airflow at the mouth carries both the frequency and quantitative respiratory signals. In this study, we [...] Read more.
Currently, wearable sensors can measure vital sign frequencies, such as respiration rate, but they fall short of providing quantitative data, such as respiratory tidal volume. Meanwhile, the airflow at the mouth carries both the frequency and quantitative respiratory signals. In this study, we propose a method to calibrate a wearable piezoelectric thread sensor placed on the chest using mouth airflow for accurate quantitative respiration monitoring. Prior to human trials, we introduced an artificial ventilator as a test subject. To validate the proposed concept, we embedded a miniaturized tube airflow sensor at the ventilator’s outlet, which simulates human respiration, and attached a wearable piezoelectric thread to the piston, which moves periodically to mimic human chest movement. The integrated output readings from the wearable sensor aligned with the airflow rate measurements, demonstrating its ability to accurately monitor not only respiration rate but also quantitative metrics such as respiratory volume. Finally, tidal volume measurement was demonstrated using the wearable piezoelectric thread. Full article
(This article belongs to the Section Electronic Materials, Devices and Applications)
Show Figures

Figure 1

29 pages, 955 KB  
Review
Methodological Considerations for Studies Evaluating Bleeding Prediction Using Hemostatic Point-of-Care Tests in Cardiac Surgery
by Mirna Petricevic, Klaus Goerlinger, Milan Milojevic and Mate Petricevic
J. Clin. Med. 2024, 13(22), 6737; https://doi.org/10.3390/jcm13226737 - 8 Nov 2024
Cited by 2 | Viewed by 2640
Abstract
A certain proportion of patients undergoing cardiac surgery may experience bleeding complications that worsen outcomes. Numerous studies have investigated bleeding in cardiac surgery and some evaluate the role of hemostatic point-of-care tests in cardiac surgery patients. The prevalence of excessive bleeding varies in [...] Read more.
A certain proportion of patients undergoing cardiac surgery may experience bleeding complications that worsen outcomes. Numerous studies have investigated bleeding in cardiac surgery and some evaluate the role of hemostatic point-of-care tests in cardiac surgery patients. The prevalence of excessive bleeding varies in the literature, and such variability stems from the lack of a standardized definition of excessive bleeding. Herein, we report numerous definitions of excessive bleeding and methodological considerations for studies evaluating bleeding using hemostatic point-of-care tests in cardiac surgery patients. We evaluated the role of hemostatic point-of-care devices in contemporary research on bleeding complications and hemostatic management in cardiac surgery. The type of studies (prospective vs. retrospective, interventional vs. observational), patient selection (less complex vs. complex cases), as well as data analysis with comprehensive statistical considerations have also been provided. This article provides a comprehensive insight into the research field of bleeding complications in cardiac surgery and may help readers to better understand methodological flaws and how they influence current evidence. Full article
(This article belongs to the Section Cardiology)
Show Figures

Figure 1

13 pages, 3863 KB  
Article
Are the Efficacy and Safety of Chest Tubes in Uniportal Video-Assisted Thoracic Surgery Related to the Level of Intercostal Space Insertion or to the Drain Type? A Prospective Multicenter Study
by Dania Nachira, Pietro Bertoglio, Mahmoud Ismail, Antonio Giulio Napolitano, Giuseppe Calabrese, Khrystyna Kuzmych, Maria Teresa Congedo, Carolina Sassorossi, Elisa Meacci, Leonardo Petracca Ciavarella, Marco Chiappetta, Filippo Lococo, Piergiorgio Solli and Stefano Margaritora
J. Clin. Med. 2024, 13(2), 430; https://doi.org/10.3390/jcm13020430 - 12 Jan 2024
Cited by 8 | Viewed by 2736
Abstract
Objectives: The aim of this study is to evaluate if the efficacy and safety of chest tube placement are influenced by the level of intercostal space insertion (uniportal VATS vs. biportal VATS) or by the type of drain employed (standard vs. smart coaxial [...] Read more.
Objectives: The aim of this study is to evaluate if the efficacy and safety of chest tube placement are influenced by the level of intercostal space insertion (uniportal VATS vs. biportal VATS) or by the type of drain employed (standard vs. smart coaxial drain). Methods: Data on patients who underwent either uniportal or biportal VATS upper lobectomies with lymphadenectomy were prospectively collected in three European centers. The uniportal VATS group with a 28 Fr standard chest tube (U-VATS standard) was compared with the uniportal VATS group with a 28 Fr smart drain (U-VATS smart), and U-VATS smart was also compared with biportal VATS with a 28 Fr smart drain inserted in the VIII intercostal space (Bi-VATS smart). Results: When comparing the U-VATS standard group with the U-VATS smart, a higher fluid output was recorded in the U-VATS smart (p: 0.004) in the III post-operative day (p.o.) and overall (p: 0.027), with a lower 90-day re-admission in the U-VATS smart (p: 0.04). The Bi-VATS smart group compared to U-VATS smart showed a higher fluid output in the I p.o. (p < 0.001), with no difference in total fluid amount or hospitalization. The Bi-VATS smart recorded a lower incidence (p < 0.001) of residual pleural space or effusion (p: 0.004) at chest X-rays prior to drain removal but a higher level of pain and chronic intercostal neuralgia (p: 0.03). Conclusions: Chest tube insertion through the same incision space in uniportal VATS seems to be safe and effective. Smart drains can improve the fluid output in uniportal VATS, as if the drainage were inserted in a lower space (i.e., biportal VATS), but with less discomfort. Full article
(This article belongs to the Special Issue Thoracic Surgery: Current Practice and Future Directions)
Show Figures

Figure 1

13 pages, 701 KB  
Article
Single-Centre Retrospective Evaluation of Intraoperative Hemoadsorption in Left-Sided Acute Infective Endocarditis
by Jurij Matija Kalisnik, Spela Leiler, Hazem Mamdooh, Janez Zibert, Thomas Bertsch, Ferdinand Aurel Vogt, Erik Bagaev, Matthias Fittkau and Theodor Fischlein
J. Clin. Med. 2022, 11(14), 3954; https://doi.org/10.3390/jcm11143954 - 7 Jul 2022
Cited by 20 | Viewed by 3067
Abstract
Background: Cardiac surgery in patients with infective endocarditis (IE) is still associated with high mortality and morbidity; an already present inflammation might further be aggravated due to a cardiopulmonary bypass-induced dysregulated immune response. Intraoperative hemoadsorption therapy may attenuate this septic response. Our objective [...] Read more.
Background: Cardiac surgery in patients with infective endocarditis (IE) is still associated with high mortality and morbidity; an already present inflammation might further be aggravated due to a cardiopulmonary bypass-induced dysregulated immune response. Intraoperative hemoadsorption therapy may attenuate this septic response. Our objective was therefore to assess the efficacy of intraoperative hemoadsorption in active left-sided native- and prosthetic infective endocarditis. Methods: Consecutive high-risk patients with active left-sided infective endocarditis were enrolled between January 2015 and April 2021. Patients with intraoperative hemoadsorption (Cytosorbents, Princeton, NJ, USA) were compared to patients without hemoadsorption (control). Endpoints were the incidence of postoperative sepsis, sepsis-associated death and in-hospital mortality. Predictors for sepsis-associated mortality and in-hospital mortality were analysed by multivariable logistic regression. Results: A total of 202 patients were included, 135 with active left-sided native and 67 with prosthetic valve infective endocarditis. Ninety-nine patients received intraoperative hemoadsorption and 103 patients did not. Ninety-nine propensity-matched pairs were selected for final analyses. Postoperative sepsis and sepsis-related mortality was reduced in the hemoadsorption group (22.2% vs. 39.4%, p = 0.014 and 8.1% vs. 22.2%, p = 0.01, respectively). In-hospital mortality tended to be lower in the hemoadsorption group (14.1% vs. 26.3%, p = 0.052). Key predictors for sepsis-associated mortality and in-hospital mortality were preoperative inotropic support, lactate-levels 24 h after surgery, C-reactive protein levels on postoperative day 1, chest tube output, cumulative inotropes and white blood cell counts on postoperative day 2, and new onset of dialysis. Multivariate regression analysis revealed intraoperative hemoadsorption to be associated with lower sepsis-associated (OR 0.09, 95% CI 0.013–0.62, p = 0.014) as well as in-hospital mortality (OR 0.069, 95% CI 0.006–0.795, p = 0.032). Conclusions: Intraoperative hemoadsorption holds promise to reduce sepsis and sepsis-associated mortality after cardiac surgery for active left-sided native and prosthetic valve infective endocarditis. Full article
(This article belongs to the Special Issue Management of Cardiopulmonary Bypass in Cardiovascular Surgery)
Show Figures

Figure 1

9 pages, 544 KB  
Article
Coaxial Drainage versus Standard Chest Tube after Pulmonary Lobectomy: A Randomized Controlled Study
by Massimiliano Bassi, Emilia Mottola, Sara Mantovani, Davide Amore, Andreina Pagini, Daniele Diso, Jacopo Vannucci, Camilla Poggi, Tiziano De Giacomo, Erino Angelo Rendina, Federico Venuta and Marco Anile
Curr. Oncol. 2022, 29(7), 4455-4463; https://doi.org/10.3390/curroncol29070354 - 22 Jun 2022
Cited by 8 | Viewed by 3475
Abstract
Chest tubes are routinely inserted after thoracic surgery procedures in different sizes and numbers. The aim of this study is to assess the efficacy of Smart Drain Coaxial drainage compared with two standard chest tubes in patients undergoing thoracotomy for pulmonary lobectomy. Ninety-eight [...] Read more.
Chest tubes are routinely inserted after thoracic surgery procedures in different sizes and numbers. The aim of this study is to assess the efficacy of Smart Drain Coaxial drainage compared with two standard chest tubes in patients undergoing thoracotomy for pulmonary lobectomy. Ninety-eight patients (57 males and 41 females, mean age 68.3 ± 7.4 years) with lung cancer undergoing open pulmonary lobectomy were randomized in two groups: 50 received one upper 28-Fr and one lower 32-Fr standard chest tube (ST group) and 48 received one 28-Fr Smart Drain Coaxial tube (SDC group). Hospitalization, quantity of fluid output, air leaks, radiograph findings, pain control and costs were assessed. SDC group showed shorter hospitalization (7.3 vs. 6.1 days, p = 0.02), lower pain in postoperative day-1 (p = 0.02) and a lower use of analgesic drugs (p = 0.04). Pleural effusion drainage was lower in SDC group in the first postoperative day (median 400.0 ± 200.0 mL vs. 450.0 ± 193.8 mL, p = 0.04) and as a mean of first three PODs (median 325.0 ± 137.5 mL vs. 362.5 ± 96.7 mL, p = 0.01). No difference in terms of fluid retention, residual pleural space, subcutaneous emphysema and complications after chest tubes removal was found. In conclusion, Smart Drain Coaxial chest tube seems a feasible option after thoracotomy for pulmonary lobectomy. The SDC group showed a shorter hospitalization and decreased analgesic drugs use and, thus, a reduction of costs. Full article
(This article belongs to the Special Issue Advancements in Thoracic Surgical Oncology)
Show Figures

Figure 1

10 pages, 2414 KB  
Article
Estimating Specific Patient Organ Dose for Chest CT Examinations with Monte Carlo Method
by Yang Yang, Weihai Zhuo, Yiyang Zhao, Tianwu Xie, Chuyan Wang and Haikuan Liu
Appl. Sci. 2021, 11(19), 8961; https://doi.org/10.3390/app11198961 - 26 Sep 2021
Cited by 12 | Viewed by 3751
Abstract
Purpose: The purpose of this study was to preliminarily estimate patient-specific organ doses in chest CT examinations for Chinese adults, and to investigate the effect of patient size on organ doses. Methods: By considering the body-size and body-build effects on the organ doses [...] Read more.
Purpose: The purpose of this study was to preliminarily estimate patient-specific organ doses in chest CT examinations for Chinese adults, and to investigate the effect of patient size on organ doses. Methods: By considering the body-size and body-build effects on the organ doses and taking the mid-chest water equivalent diameter (WED) as a body-size indicator, the chest scan images of 18 Chinese adults were acquired on a multi-detector CT to generate the regional voxel models. For each patient, the lungs, heart, and breasts (glandular breast tissues for both breasts) were segmented, and other organs were semi-automated segmented based on their HU values. The CT scanner and patient models simulated by MCNPX 2.4.0 software (Los Alamos National LaboratoryLos Alamos, USA) were used to calculate lung, breast, and heart doses. CTDIvol values were used to normalize simulated organ doses, and the exponential estimation model between the normalized organ dose and WED was investigated. Results: Among the 18 patients in this study, the simulated doses of lung, heart, and breast were 18.15 ± 2.69 mGy, 18.68 ± 2.87 mGy, and 16.11 ± 3.08 mGy, respectively. Larger patients received higher organ doses than smaller ones due to the higher tube current used. The ratios of lung, heart, and breast doses to the CTDIvol were 1.48 ± 0.22, 1.54 ± 0.20, and 1.41 ± 0.13, respectively. The normalized organ doses of all the three organs decreased with the increase in WED, and the normalized doses decreased more obviously in the lung and the heart than that in the breasts. Conclusions: The output of CT scanner under ATCM is positively related to the attenuation of patients, larger-size patients receive higher organ doses. The organ dose normalized by CTDIvol was negatively correlated with patient size. The organ doses could be estimated by using the indicated CTDIvol combined with the estimated WED. Full article
(This article belongs to the Special Issue Monte Carlo Simulation in Quantum Science and Applied Physics)
Show Figures

Figure 1

12 pages, 1863 KB  
Article
Blunt Chest Trauma in Polytraumatized Patients: Predictive Factors for Urgent Thoracotomy
by Josef Stolberg-Stolberg, Jan Christoph Katthagen, Thomas Hillemeyer, Karsten Wiebe, Jeanette Koeppe and Michael J. Raschke
J. Clin. Med. 2021, 10(17), 3843; https://doi.org/10.3390/jcm10173843 - 27 Aug 2021
Cited by 5 | Viewed by 4205
Abstract
Purpose: Current guidelines on urgent thoracotomy of polytraumatized patients are based on data from perforating chest injuries. We aimed to identify predictive factors for urgent thoracotomy after chest-tube placement for blunt chest trauma in a civilian setting. Methods: Polytraumatized patients (Injury Severity Score [...] Read more.
Purpose: Current guidelines on urgent thoracotomy of polytraumatized patients are based on data from perforating chest injuries. We aimed to identify predictive factors for urgent thoracotomy after chest-tube placement for blunt chest trauma in a civilian setting. Methods: Polytraumatized patients (Injury Severity Score ≥16) with blunt chest trauma, submitted to a level I trauma centre during a period of 12 years that received at least one chest tube were included. Trauma mechanism, chest-tube output, haemoglobin values, need for cellular blood products, coagulopathies, rib fracture pattern, thoracotomy, and mortality were retrospectively analysed. Results: 235 polytraumatized patients were included. Patients that received urgent thoracotomy (UT, n = 10) showed a higher mean chest-tube output within 24 h with a median (Mdn) of 3865 (IQR 2423–5156) mL compared to the group with no additional thoracic surgery (NT, n = 225) with Mdn 185 (IQR 50–463) mL (p < 0.001). The cut-off 24-h chest-tube output value for recommended thoracotomy was 1270 mL (ROC-Curve). UT showed an initial haemoglobin of Mdn 11.7 (IQR 9.2–14.3) g/dL and an INR value of Mdn 1.27 (IQR 1.11–1.69) as opposed to Mdn 12.3 (IQR 10–13.9) g/dL and Mdn 1.13 (IQR 1.05–1.34) in NT (haemoglobin: p = 0.786; INR: p = 0.215). There was an average number of 7.1(±3.4) rib fractures in UT and 6.7(±4.8) in NT (p = 0.649). Conclusions: Chest-tube output remains the single most important predictive factor for urgent thoracotomy also after blunt chest trauma. Patients with a chest-tube output of more than 1300 mL within 24 h after trauma should be considered for transfer to a level I trauma centre with standby thoracic surgery. Full article
(This article belongs to the Special Issue Clinical Research in Trauma Surgery)
Show Figures

Figure 1

13 pages, 937 KB  
Article
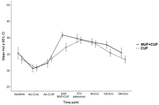
Reevaluating the Importance of Modified Ultrafiltration in Contemporary Pediatric Cardiac Surgery
by Vladimir Milovanovic, Dejan Bisenic, Branko Mimic, Bilal Ali, Massimiliano Cantinotti, Ivan Soldatovic, Irena Vulicevic, Bruno Murzi and Slobodan Ilic
J. Clin. Med. 2018, 7(12), 498; https://doi.org/10.3390/jcm7120498 - 1 Dec 2018
Cited by 17 | Viewed by 4554
Abstract
Objective(s): Modified ultrafiltration has gained wide acceptance as a powerful tool against cardiopulmonary bypass morbidity in pediatric cardiac surgery. The aim of our study was to assess the importance of modified ultrafiltration within conditions of contemporary cardiopulmonary bypass characteristics. Methods: Ninety–eight patients (overall [...] Read more.
Objective(s): Modified ultrafiltration has gained wide acceptance as a powerful tool against cardiopulmonary bypass morbidity in pediatric cardiac surgery. The aim of our study was to assess the importance of modified ultrafiltration within conditions of contemporary cardiopulmonary bypass characteristics. Methods: Ninety–eight patients (overall cohort) weighing less than 12 kg undergoing surgical repair with cardiopulmonary bypass were prospectively enrolled in a randomized protocol to receive modified and conventional ultrafiltration (MUF group) or just conventional ultrafiltration (non-MUF group). A special attention was paid to forty-nine neonates and infants weighing less than 5 kg (lower weight (LW) cohort). Results: Post-filtration hematocrit was significantly higher in the MUF group for both cohorts (overall cohort p = 0.001; LW cohort p = 0.04), but not at other time points. During the postoperative course, patients in the MUF group received fewer packed red blood cells, (overall cohort p = 0.01; LW cohort p = 0.07), but required more fresh frozen plasma (overall cohort p = 0.04; LW cohort p = 0.05). There was no difference between groups in hemodynamic state, chest tube output, duration of mechanical ventilation, respiratory parameters, duration of intensive care unit, and hospitalization stay. Conclusions: If conventional ultrafiltration provides adequate hemoconcentration modified ultrafiltration does not provide additional positive benefits except for reduction in blood cell transfusion, This, however, comes at the cost of needing more fresh frozen plasma. Of particular importance is that this also applies to infants with weight bellow 5 kg where modified ultrafiltration was supposed to have the greatest positive impact. Full article
(This article belongs to the Section Cardiology)
Show Figures

Figure 1

Back to TopTop