Sign in to use this feature.

Years

Between: -

Subjects

remove_circle_outline
remove_circle_outline
remove_circle_outline

Journals

Article Types

Countries / Regions

Search Results (7)

Search Parameters:
Keywords = cationic amphiphilic porphyrin

Order results
Result details
Results per page
Select all
Export citation of selected articles as:
16 pages, 31814 KB  
Article
Photodynamic Inhibition of Herpes Simplex Virus 1 Infection by Tricationic Amphiphilic Porphyrin with a Long Alkyl Chain
by Igor Jurak, Maja Cokarić Brdovčak, Lara Djaković, Ivana Bertović, Klaudia Knežević, Martin Lončarić, Antonija Jurak Begonja and Nela Malatesti
Pharmaceutics 2023, 15(3), 956; https://doi.org/10.3390/pharmaceutics15030956 - 15 Mar 2023
Cited by 9 | Viewed by 3233
Abstract
Photodynamic therapy (PDT) is broadly used to treat different tumors, and it is a rapidly developing approach to inactivating or inhibiting the replication of fungi, bacteria, and viruses. Herpes simplex virus 1 (HSV-1) is an important human pathogen and a frequently used model [...] Read more.
Photodynamic therapy (PDT) is broadly used to treat different tumors, and it is a rapidly developing approach to inactivating or inhibiting the replication of fungi, bacteria, and viruses. Herpes simplex virus 1 (HSV-1) is an important human pathogen and a frequently used model to study the effects of PDT on enveloped viruses. Although many photosensitizers (PSs) have been tested for their antiviral properties, analyses are usually limited to assessing the reduction in viral yield, and thus the molecular mechanisms of photodynamic inactivation (PDI) remain poorly understood. In this study, we investigated the antiviral properties of TMPyP3-C17H35, a tricationic amphiphilic porphyrin-based PS with a long alkyl chain. We show that light-activated TMPyP3-C17H35 can efficiently block virus replication at certain nM concentrations without exerting obvious cytotoxicity. Moreover, we show that the levels of viral proteins (immediate-early, early, and late genes) were greatly reduced in cells treated with subtoxic concentrations of TMPyP3-C17H35, resulting in markedly decreased viral replication. Interestingly, we observed a strong inhibitory effect of TMPyP3-C17H35 on the virus yield only when cells were treated before or shortly after infection. In addition to the antiviral activity of the internalized compound, we show that the compound dramatically reduces the infectivity of free virus in the supernatant. Overall, our results demonstrate that activated TMPyP3-C17H35 effectively inhibits HSV-1 replication and that it can be further developed as a potential novel treatment and used as a model to study photodynamic antimicrobial chemotherapy. Full article
(This article belongs to the Special Issue Antimicrobial Sonodynamic and Photodynamic Therapies)
Show Figures

Figure 1

25 pages, 3842 KB  
Article
Supramolecular Self-Assembly of Porphyrin and Metallosurfactant as a Drug Nanocontainer Design
by Ruslan R. Kashapov, Yuliya S. Razuvayeva, Svetlana S. Lukashenko, Syumbelya K. Amerhanova, Anna P. Lyubina, Alexandra D. Voloshina, Victor V. Syakaev, Vadim V. Salnikov and Lucia Y. Zakharova
Nanomaterials 2022, 12(12), 1986; https://doi.org/10.3390/nano12121986 - 9 Jun 2022
Cited by 8 | Viewed by 2678
Abstract
The combined method of treating malignant neoplasms using photodynamic therapy and chemotherapy is undoubtedly a promising and highly effective treatment method. The development and establishment of photodynamic cancer therapy is closely related to the creation of sensitizers based on porphyrins. The present study [...] Read more.
The combined method of treating malignant neoplasms using photodynamic therapy and chemotherapy is undoubtedly a promising and highly effective treatment method. The development and establishment of photodynamic cancer therapy is closely related to the creation of sensitizers based on porphyrins. The present study is devoted to the investigation of the spectroscopic, aggregation, and solubilization properties of the supramolecular system based on 5,10,15,20-tetrakis(4-sulfonatophenyl)porphyrin (TSPP) and lanthanum-containing surfactant (LaSurf) in an aqueous medium. The latter is a complex of lanthanum nitrate and two cationic amphiphilic molecules of 4-aza-1-hexadecylazoniabicyclo[2.2.2]octane bromide. The mixed TSPP–LaSurf complexes can spontaneously assemble into various nanostructures capable of binding the anticancer drug cisplatin. Morphological behavior, stability, and ability to drug binding of nanostructures can be tailored by varying the molar ratio and the concentration of components. The guest binding is shown to be additional factor controlling structural rearrangements and properties of the supramolecular TSPP–LaSurf complexes. Full article
(This article belongs to the Special Issue Feature Papers in Nanomaterials Science)
Show Figures

Figure 1

21 pages, 23959 KB  
Article
Photodynamic Inactivation of Legionella pneumophila Biofilm Formation by Cationic Tetra- and Tripyridylporphyrins in Waters of Different Hardness
by Martina Mušković, Iva Ćavar, Andrija Lesar, Martin Lončarić, Nela Malatesti and Ivana Gobin
Int. J. Mol. Sci. 2021, 22(16), 9095; https://doi.org/10.3390/ijms22169095 - 23 Aug 2021
Cited by 7 | Viewed by 3505
Abstract
The bacterium Legionella pneumophila is still one of the probable causes of waterborne diseases, causing serious respiratory illnesses. In the aquatic systems, L. pneumophila exists inside free-living amoebae or can form biofilms. Currently developed disinfection methods are not sufficient for complete eradication of [...] Read more.
The bacterium Legionella pneumophila is still one of the probable causes of waterborne diseases, causing serious respiratory illnesses. In the aquatic systems, L. pneumophila exists inside free-living amoebae or can form biofilms. Currently developed disinfection methods are not sufficient for complete eradication of L. pneumophila biofilms in water systems of interest. Photodynamic inactivation (PDI) is a method that results in an antimicrobial effect by using a combination of light and a photosensitizer (PS). In this work, the effect of PDI in waters of natural origin and of different hardness, as a treatment against L. pneumophila biofilm, was investigated. Three cationic tripyridylporphyrins, which were previously described as efficient agents against L. pneumophila alone, were used as PSs. We studied how differences in water hardness affect the PSs’ stability, the production of singlet oxygen, and the PDI activity on L. pneumophila adhesion and biofilm formation and in biofilm destruction. Amphiphilic porphyrin showed a stronger tendency for aggregation in hard and soft water, but its production of singlet oxygen was higher in comparison to tri- and tetracationic hydrophilic porphyrins that were stable in all water samples. All three studied porphyrins were shown to be effective as PDI agents against the adhesion of the L. pneumophila to polystyrene, against biofilm formation, and in the destruction of the formed biofilm, in their micromolar concentrations. However, a higher number of dissolved ions, i.e., water hardness, generally reduced somewhat the PDI activity of all the porphyrins at all tested biofilm growth stages. Full article
(This article belongs to the Section Molecular Microbiology)
Show Figures

Figure 1

16 pages, 6866 KB  
Article
Nanocellulose/Fullerene Hybrid Films Assembled at the Air/Water Interface as Promising Functional Materials for Photo-electrocatalysis
by Francesco Milano, Maria Rachele Guascito, Paola Semeraro, Shadi Sawalha, Tatiana Da Ros, Alessandra Operamolla, Livia Giotta, Maurizio Prato and Ludovico Valli
Polymers 2021, 13(2), 243; https://doi.org/10.3390/polym13020243 - 12 Jan 2021
Cited by 9 | Viewed by 3556
Abstract
Cellulose nanomaterials have been widely investigated in the last decade, unveiling attractive properties for emerging applications. The ability of sulfated cellulose nanocrystals (CNCs) to guide the supramolecular organization of amphiphilic fullerene derivatives at the air/water interface has been recently highlighted. Here, we further [...] Read more.
Cellulose nanomaterials have been widely investigated in the last decade, unveiling attractive properties for emerging applications. The ability of sulfated cellulose nanocrystals (CNCs) to guide the supramolecular organization of amphiphilic fullerene derivatives at the air/water interface has been recently highlighted. Here, we further investigated the assembly of Langmuir hybrid films that are based on the electrostatic interaction between cationic fulleropyrrolidines deposited at the air/water interface and anionic CNCs dispersed in the subphase, assessing the influence of additional negatively charged species that are dissolved in the water phase. By means of isotherm acquisition and spectroscopic measurements, we demonstrated that a tetra-sulfonated porphyrin, which was introduced in the subphase as anionic competitor, strongly inhibited the binding of CNCs to the floating fullerene layer. Nevertheless, despite the strong inhibition by anionic molecules, the mutual interaction between fulleropyrrolidines at the interface and the CNCs led to the assembly of robust hybrid films, which could be efficiently transferred onto solid substrates. Interestingly, ITO-electrodes that were modified with five-layer hybrid films exhibited enhanced electrical capacitance and produced anodic photocurrents at 0.4 V vs Ag/AgCl, whose intensity (230 nA/cm2) proved to be four times higher than the one that was observed with the sole fullerene derivative (60 nA/cm2). Full article
Show Figures

Graphical abstract

14 pages, 4421 KB  
Article
Antibacterial Activity of Synthetic Cationic Iron Porphyrins
by Artak Tovmasyan, Ines Batinic-Haberle and Ludmil Benov
Antioxidants 2020, 9(10), 972; https://doi.org/10.3390/antiox9100972 - 10 Oct 2020
Cited by 23 | Viewed by 4104
Abstract
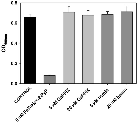
Widespread antibiotic resistance demands new strategies for fighting infections. Porphyrin-based compounds were long ago introduced as photosensitizers for photodynamic therapy, but light-independent antimicrobial activity of such compounds has not been systematically explored. The results of this study demonstrate that synthetic cationic amphiphilic iron [...] Read more.
Widespread antibiotic resistance demands new strategies for fighting infections. Porphyrin-based compounds were long ago introduced as photosensitizers for photodynamic therapy, but light-independent antimicrobial activity of such compounds has not been systematically explored. The results of this study demonstrate that synthetic cationic amphiphilic iron N-alkylpyridylporphyrins exert strong bactericidal action at concentrations as low as 5 μM. Iron porphyrin, FeTnHex-2-PyP, which is well tolerated by laboratory animals, efficiently killed Gram-negative and Gram-positive microorganisms. Its bactericidal activity was oxygen-independent and was controlled by the lipophilicity and accumulation of the compound in bacterial cells. Such behavior is in contrast with the anionic gallium protoporphyrin IX, whose efficacy depends on cellular heme uptake systems. Under aerobic conditions, however, the activity of FeTnHex-2-PyP was limited by its destruction due to redox-cycling. Neither iron released from the Fe-porphyrin nor other decomposition products were the cause of the bactericidal activity. FeTnHex-2-PyP was as efficient against antibiotic-sensitive E. coli and S. aureus as against their antibiotic-resistant counterparts. Our data demonstrate that development of amphiphilic, positively charged metalloporphyrins might be a promising approach in the introduction of new weapons against antibiotic-resistant strains. Full article
Show Figures

Graphical abstract

18 pages, 2906 KB  
Article
Cationic Porphyrins as Effective Agents in Photodynamic Inactivation of Opportunistic Plumbing Pathogen Legionella pneumophila
by Andrija Lesar, Martina Mušković, Gabrijela Begić, Martin Lončarić, Dijana Tomić Linšak, Nela Malatesti and Ivana Gobin
Int. J. Mol. Sci. 2020, 21(15), 5367; https://doi.org/10.3390/ijms21155367 - 28 Jul 2020
Cited by 14 | Viewed by 4682
Abstract
Legionella pneumophila is an environmental bacterium, an opportunistic premise plumbing pathogen that causes the Legionnaires’ disease. L. pneumophila presents a serious health hazard in building water systems, due to its high resistance to standard water disinfection methods. Our aim was to study the [...] Read more.
Legionella pneumophila is an environmental bacterium, an opportunistic premise plumbing pathogen that causes the Legionnaires’ disease. L. pneumophila presents a serious health hazard in building water systems, due to its high resistance to standard water disinfection methods. Our aim was to study the use of photodynamic inactivation (PDI) against Legionella. We investigated and compared the photobactericidal potential of five cationic dyes. We tested toluidine blue (TBO) and methylene blue (MB), and three 3-N-methylpyridylporphyrins, one tetra-cationic and two tri-cationic, one with a short (CH3) and the other with a long (C17H35) alkyl chain, against L. pneumophila in tap water and after irradiation with violet light. All tested dyes demonstrated a certain dark toxicity against L. pneumophila; porphyrins with lower minimal effective concentration (MEC) values than TBO and MB. Nanomolar MEC values, significantly lower than with TBO and MB, were obtained with all three porphyrins in PDI experiments, with amphiphilic porphyrin demonstrating the highest PDI activity. All tested dyes showed increasing PDI with longer irradiation (0–108 J/cm2), especially the two hydrophilic porphyrins. All three porphyrins caused significant changes in cell membrane permeability after irradiation and L. pneumophila, co-cultivated with Acanthamoeba castellanii after treatment with all three porphyrins and irradiation, did not recover in amoeba. We believe our results indicate the considerable potential of cationic porphyrins as effective anti-Legionella agents. Full article
(This article belongs to the Section Molecular Microbiology)
Show Figures

Figure 1

12 pages, 4732 KB  
Article
Amphiphilic Porphyrin Aggregates: A DFT Investigation
by Federica Sabuzi, Manuela Stefanelli, Donato Monti, Valeria Conte and Pierluca Galloni
Molecules 2020, 25(1), 133; https://doi.org/10.3390/molecules25010133 - 29 Dec 2019
Cited by 15 | Viewed by 4937
Abstract
Owing to the attractive potential applications of porphyrin assemblies in photocatalysis, sensors, and material science, studies presently concerning porphyrin aggregation are widely diffused. π–π stacking, H-bonding, metal coordination, hydrophobic effect, and electrostatic forces usually drive porphyrin interaction in solution. However, theoretical studies of [...] Read more.
Owing to the attractive potential applications of porphyrin assemblies in photocatalysis, sensors, and material science, studies presently concerning porphyrin aggregation are widely diffused. π–π stacking, H-bonding, metal coordination, hydrophobic effect, and electrostatic forces usually drive porphyrin interaction in solution. However, theoretical studies of such phenomena are still limited. Therefore, a computational examination of the different porphyrin aggregation approaches is proposed here, taking into account amphiphilic [5-{4-(3-trimethylammonium)propyloxyphenyl}-10,15,20-triphenylporphyrin] chloride, whose aggregation behavior has been previously experimentally investigated. Different functionals have been adopted to investigate the porphyrin dimeric species, considering long-range interactions. Geometry optimization has been performed, showing that for the compound under analysis, H-type and cation–π dimers are the most favored structures that likely co-exist in aqueous solution. Of note, frontier orbital delocalization showed an interesting interaction between the porphyrin units in the dimer at the supramolecular level. Full article
(This article belongs to the Special Issue Spatial Organization of Multi-Porphyrins for Pre-Defined Properties)
Show Figures

Figure 1

Back to TopTop