Sign in to use this feature.

Years

Between: -

Subjects

remove_circle_outline
remove_circle_outline
remove_circle_outline

Journals

Article Types

Countries / Regions

Search Results (6)

Search Parameters:
Keywords = casuarinin

Order results
Result details
Results per page
Select all
Export citation of selected articles as:
19 pages, 5197 KB  
Article
Multitarget Potential of Phytochemicals from Traditional Medicinal Tree, Terminalia arjuna (Roxb. ex DC.) Wight & Arnot as Potential Medicaments for Cardiovascular Disease: An In-Silico Approach
by Vikas Kumar, Nitin Sharma, Raha Orfali, Chirag N. Patel, Radwan Alnajjar, Rakshandha Saini, Anuradha Sourirajan, Prem Kumar Khosla, Kamal Dev and Shagufta Perveen
Molecules 2023, 28(3), 1046; https://doi.org/10.3390/molecules28031046 - 20 Jan 2023
Cited by 6 | Viewed by 4339
Abstract
Cardiovascular diseases (CVDs) are the leading cause of mortality worldwide. Terminalia arjuna (Roxb. ex DC.) Wight & Arnot of the Combretaceae family is one of the most frequently approved and utilized medicinal trees in the traditional medicinal system, which was used for the [...] Read more.
Cardiovascular diseases (CVDs) are the leading cause of mortality worldwide. Terminalia arjuna (Roxb. ex DC.) Wight & Arnot of the Combretaceae family is one of the most frequently approved and utilized medicinal trees in the traditional medicinal system, which was used for the treatment of a variety of diseases, including cardiovascular disorders. The present study aims to identify phytochemicals from T. arjuna, that do not exhibit any toxicity and have significant cardioprotective activity using an in-silico technique. Four different cardiovascular proteins, namely human angiotensin receptor (PDB ID: 4YAY), P38 mitogen-activated protein kinase (MAPK, PDB ID: 4DLI), 3-hydroxy-3-methylglutaryl-coenzyme A (HMG-Co A) reductase (PDB ID: 1HW9), and human C-reactive protein (PDB ID: 1B09), were used as target proteins to identify potential inhibitors using a virtual screening of the phytochemicals in T. arjuna revealed casuarinin as a potential inhibitor of all selected target proteins with strong binding energy. Furthermore, MD simulations for a 100 ns time scale also revealed that most of the key protein contacts of all target proteins were retained throughout the simulation trajectories. Binding free energy calculations using the MM-GBSA approach also support a strong inhibitory effect of casuarinin on target proteins. Casuarinin’s effective binding to these proteins lays the groundwork for the development of broad-spectrum drugs as well as the understanding of the underlying mechanism against cardiovascular diseases through in vivo and clinical studies. Full article
Show Figures

Figure 1

18 pages, 3330 KB  
Article
Association of Polygenic Variants Involved in Immunity and Inflammation with Duodenal Ulcer Risk and Their Interaction with Irregular Eating Habits
by Sunmin Park, Meiling Liu and Shaokai Huang
Nutrients 2023, 15(2), 296; https://doi.org/10.3390/nu15020296 - 6 Jan 2023
Cited by 10 | Viewed by 3656
Abstract
Genetic and environmental factors are associated with developing and progressing duodenal ulcer (DU) risk. However, the exact nature of the disease pathophysiology and the single nucleotide polymorphism (SNP)—lifestyle interaction has yet to be determined. The purpose of the present study was to examine [...] Read more.
Genetic and environmental factors are associated with developing and progressing duodenal ulcer (DU) risk. However, the exact nature of the disease pathophysiology and the single nucleotide polymorphism (SNP)—lifestyle interaction has yet to be determined. The purpose of the present study was to examine the SNPs linked to DU risk and their interaction with lifestyles and diets in a large hospital-based cohort of Asians. Based on an earlier diagnosis, the participants were divided into the DU (case; n = 1088) and non-DU (control, n = 56,713) groups. The SNP associated with DU risk were obtained from a genome-wide association study (GWAS), and those promoted genetic impact with SNP–SNP interactions were identified with generalized multifactor dimensionality reduction analysis. The interaction between polygenic risk score (PRS) calculated from the selected genetic variants and nutrient were examined. They were related to actin modification, immune response, and cell migration by modulating leucine-rich repeats (LRR) domain binding, Shaffer interferon regulatory factor 4 (IRF4) targets in myeloma vs. mature B lymphocyte, and Reactome runt-related transcription factor 3 (RUNX3). Among the selected SNPs, rs11230563 (R225W) showed missense mutation and low binding affinity with different food components in the autodock analysis. Glycyrrhizin, physalin B, janthitrem F, and casuarinin lowered it in only wild CD6 protein but not in mutated CD6. Plastoquinone 8, solamargine, saponin D, and matesaponin 2 decreased energy binding affinity in mutated CD6 proteins. The PRS of the 5-SNP and 6-SNP models exhibited a positive association with DU risk (OR = 3.14). The PRS of the 5-SNP PRS model interacted with irregular eating habits and smoking status. In participants with irregular eating habits or smokers, DU incidence was much higher in the participants with high PRS than in those with low PRS. In conclusion, the genetic impact of DU risk was mainly in regulating immunity, inflammation, and actin modification. Adults who are genetically susceptible to DU need to eat regularly and to be non-smokers. The results could be applied to personalize nutrition. Full article
(This article belongs to the Special Issue Nutrigenomic and Metabolism)
Show Figures

Figure 1

16 pages, 1188 KB  
Article
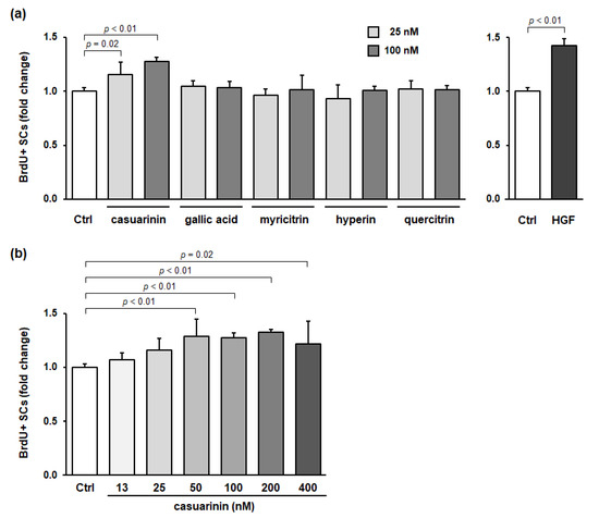
Lemon Myrtle (Backhousia citriodora) Extract and Its Active Compound, Casuarinin, Activate Skeletal Muscle Satellite Cells In Vitro and In Vivo
by Ayumi Yamamoto, Shinichi Honda, Mineko Ogura, Masanori Kato, Ryuichi Tanigawa, Hidemi Fujino and Seiji Kawamoto
Nutrients 2022, 14(5), 1078; https://doi.org/10.3390/nu14051078 - 4 Mar 2022
Cited by 16 | Viewed by 9433
Abstract
Sarcopenia is an age-related skeletal muscle atrophy. Exercise is effective in improving sarcopenia via two mechanisms: activation of skeletal muscle satellite cells (SCs) and stimulation of muscle protein synthesis. In contrast, most nutritional approaches for improving sarcopenia focus mainly on muscle protein synthesis, [...] Read more.
Sarcopenia is an age-related skeletal muscle atrophy. Exercise is effective in improving sarcopenia via two mechanisms: activation of skeletal muscle satellite cells (SCs) and stimulation of muscle protein synthesis. In contrast, most nutritional approaches for improving sarcopenia focus mainly on muscle protein synthesis, and little is known about SC activation. Here, we investigated the effect of lemon myrtle extract (LM) on SC activation both in vitro and in vivo. Primary SCs or myoblast cell lines were treated with LM or its derived compounds, and incorporation of 5-bromo-2′-deoxyuridine, an indicator of cell cycle progression, was detected by immunocytochemistry. We found that LM significantly activated SCs (p < 0.05), but not myoblasts. We also identified casuarinin, an ellagitannin, as the active compound in LM involved in SC activation. The structure–activity relationship analysis showed that rather than the structure of each functional group of casuarinin, its overall structure is crucial for SC activation. Furthermore, SC activation by LM and casuarinin was associated with upregulation of interleukin-6 mRNA expression, which is essential for SC activation and proliferation. Finally, oral administration of LM or casuarinin to rats showed significant activation of SCs in skeletal muscle (p < 0.05), suggesting that LM and casuarinin may serve as novel nutritional interventions for improving sarcopenia through activating SCs. Full article
(This article belongs to the Section Geriatric Nutrition)
Show Figures

Graphical abstract

46 pages, 12108 KB  
Review
Structural Revisions in Natural Ellagitannins
by Hidetoshi Yamada, Shinnosuke Wakamori, Tsukasa Hirokane, Kazutada Ikeuchi and Shintaro Matsumoto
Molecules 2018, 23(8), 1901; https://doi.org/10.3390/molecules23081901 - 30 Jul 2018
Cited by 60 | Viewed by 10140
Abstract
Ellagitannins are literally a class of tannins. Triggered by the oxidation of the phenolic parts on β-pentagalloyl-d-glucose, ellagitannins are generated through various structural conversions, such as the coupling of the phenolic parts, oxidation to highly complex structures, and the formation of [...] Read more.
Ellagitannins are literally a class of tannins. Triggered by the oxidation of the phenolic parts on β-pentagalloyl-d-glucose, ellagitannins are generated through various structural conversions, such as the coupling of the phenolic parts, oxidation to highly complex structures, and the formation of dimer and lager analogs, which expand the structural diversity. To date, more than 1000 natural ellagitannins have been identified. Since these phenolic compounds exhibit a variety of biological activities, ellagitannins have potential applications in medicine and health enhancement. Within the context of identifying suitable applications, considerations need to be based on correct structural features. This review describes the structural revisions of 32 natural ellagitannins, namely alnusiin; alnusnin A and B; castalagin; castalin; casuarinin; cercidinin A and B; chebulagic acid; chebulinic acid; corilagin; geraniin; isoterchebin; nobotanin B, C, E, G, H, I, J, and K; punicalagin; punicalin; punigluconin; roxbin B; sanguiin H-2, H-3, and H-6; stachyurin; terchebin; vescalagin; and vescalin. The major focus is on the outline of the initial structural determination, on the processes to find the errors in the structure, and on the methods for the revision of the structure. Full article
Show Figures

Graphical abstract

16 pages, 791 KB  
Article
Determination of Phenolic Compounds and Antioxidant Activity in Leaves from Wild Rubus L. Species
by Jan Oszmiański, Aneta Wojdyło, Paulina Nowicka, Mirosława Teleszko, Tomasz Cebulak and Mateusz Wolanin
Molecules 2015, 20(3), 4951-4966; https://doi.org/10.3390/molecules20034951 - 18 Mar 2015
Cited by 64 | Viewed by 9662
Abstract
Twenty-six different wild blackberry leaf samples were harvested from various localities throughout southeastern Poland. Leaf samples were assessed regarding their phenolic compound profiles and contents by LC/MS QTOF, and their antioxidant activity by ABTS and FRAP. Thirty-three phenolic compounds were detected (15 flavonols, [...] Read more.
Twenty-six different wild blackberry leaf samples were harvested from various localities throughout southeastern Poland. Leaf samples were assessed regarding their phenolic compound profiles and contents by LC/MS QTOF, and their antioxidant activity by ABTS and FRAP. Thirty-three phenolic compounds were detected (15 flavonols, 13 hydroxycinnamic acids, three ellagic acid derivatives and two flavones). Ellagic acid derivatives were the predominant compounds in the analyzed leaves, especially sanguiin H-6, ellagitannins, lambertianin C, and casuarinin. The content of phenolic compounds was significantly correlated with the antioxidant activity of the analyzed samples. The highest level of phenolic compounds was measured for R. perrobustus, R. wimmerianus, R. pedemontanus and R. grabowskii. The study showed that wild blackberry leaves can be considered a good source of antioxidant compounds. There is clear potential for the utilization of blackberry leaves as a food additive, medicinal source or herbal tea. Full article
(This article belongs to the Section Metabolites)
Show Figures

Figure 1

14 pages, 328 KB  
Article
Anti-Candida Targets and Cytotoxicity of Casuarinin Isolated from Plinia cauliflora Leaves in a Bioactivity-Guided Study
by Tatiana M. Souza-Moreira, Juliana A. Severi, Keunsook Lee, Kanya Preechasuth, Emerson Santos, Neil A. R. Gow, Carol A. Munro, Wagner Vilegas and Rosemeire C. L. R. Pietro
Molecules 2013, 18(7), 8095-8108; https://doi.org/10.3390/molecules18078095 - 9 Jul 2013
Cited by 19 | Viewed by 7128
Abstract
In addition to the bio-guided investigation of the antifungal activity of Plinia cauliflora leaves against different Candida species, the major aim of the present study was the search for targets on the fungal cell. The most active antifungal fraction was purified by chromatography [...] Read more.
In addition to the bio-guided investigation of the antifungal activity of Plinia cauliflora leaves against different Candida species, the major aim of the present study was the search for targets on the fungal cell. The most active antifungal fraction was purified by chromatography and characterized by NMR and mass spectrometry. The antifungal activity was evaluated against five Candida strains according to referenced guidelines. Cytotoxicity against fibroblast cells was determined. The likely targets of Candida albicans cells were assessed through interactions with ergosterol and cell wall composition, porosity and architecture. The chemical major component within the most active antifungal fraction of P. cauliflora leaves identified was the hydrolysable tannin casuarinin. The cytotoxic concentration was higher than the antifungal one. The first indication of plant target on cellular integrity was suggested by the antifungal activity ameliorated when using an osmotic support. The most important target for the tannin fraction studied was suggested by ultrastructural analysis of yeast cell walls revealing a denser mannan outer layer and wall porosity reduced. It is possible to imply that P. cauliflora targeted the C. albicans cell wall inducing some changes in the architecture, notably the outer glycoprotein layer, affecting the cell wall porosity without alteration of the polysaccharide or protein level. Full article
(This article belongs to the Section Natural Products Chemistry)
Show Figures

Graphical abstract

Back to TopTop