Sign in to use this feature.

Years

Between: -

Subjects

remove_circle_outline
remove_circle_outline
remove_circle_outline
remove_circle_outline
remove_circle_outline
remove_circle_outline

Journals

Article Types

Countries / Regions

Search Results (6)

Search Parameters:
Keywords = cascaded collision operator

Order results
Result details
Results per page
Select all
Export citation of selected articles as:
29 pages, 8912 KB  
Article
Collision-Free Trajectory Planning Optimization Algorithms for Two-Arm Cascade Combination System
by Jingjing Xu, Long Tao, Yanhu Pei, Qiang Cheng, Hongyan Chu and Tao Zhang
Mathematics 2024, 12(14), 2245; https://doi.org/10.3390/math12142245 - 18 Jul 2024
Viewed by 1809
Abstract
As a kind of space robot, the two-arm cascade combination system (TACCS) has been applied to perform auxiliary operations at different locations outside space cabins. The motion coupling relation of two arms and complex surrounding obstacles make the collision-free trajectory planning optimization of [...] Read more.
As a kind of space robot, the two-arm cascade combination system (TACCS) has been applied to perform auxiliary operations at different locations outside space cabins. The motion coupling relation of two arms and complex surrounding obstacles make the collision-free trajectory planning optimization of TACCS more difficult, which has become an urgent problem to be solved. For the above problem, this paper proposed collision-free and time–energy–minimum trajectory planning optimization algorithms, considering the motion coupling of two arms. In this method, the screw-based inverse kinematics (IK) model of TACCS is established to provide the basis for the motion planning in joint space by decoupling the whole IK problem into two IK sub-problems of two arms; the minimum distance calculation model is established based on the hybrid geometric enveloping way and basic distance functions, which can provide the efficient and accurate data basis for the obstacle-avoidance constraint condition of the trajectory optimization. Moreover, the single and bi-layer optimization algorithms are presented by taking motion time and energy consumption as objectives and considering obstacle-avoidance and kinematics constraints. Finally, through example cases, the results indicate that the bi-layer optimization has higher convergence efficiency under the premise of ensuring the optimization effect by separating variables and constraint terms. This work can provide theoretical and methodological support for the efficient and intelligent applications of TACCS in the space arena. Full article
Show Figures

Figure 1

22 pages, 956 KB  
Article
Adaptive Spatial Scheduling for Event Traffic in LoRaWAN Networks
by Vassilis Asteriou, Konstantinos Kantelis, Georgia A. Beletsioti, Anastasios Valkanis, Petros Nicopolitidis and Georgios Papadimitriou
Sensors 2024, 24(7), 2222; https://doi.org/10.3390/s24072222 - 30 Mar 2024
Viewed by 2053
Abstract
Low-Power Wide-Area Networks constitute a leading, emerging Internet-of-Things technology, with important applications in environmental and industrial monitoring and disaster prevention and management. In such sensor networks, external detectable events can trigger synchronized alarm report transmissions. In LoRaWANs, and more generally in networks with [...] Read more.
Low-Power Wide-Area Networks constitute a leading, emerging Internet-of-Things technology, with important applications in environmental and industrial monitoring and disaster prevention and management. In such sensor networks, external detectable events can trigger synchronized alarm report transmissions. In LoRaWANs, and more generally in networks with a random access-based medium access algorithm, this can lead to a cascade of frame collisions, temporarily resulting in degraded performance and diminished system operational capacity, despite LoRaWANs’ physical layer interference and collision reduction techniques. In this paper, a novel scheduling algorithm is proposed that can increase system reliability in the case of such events. The new adaptive spatial scheduling algorithm is based on learning automata, as well as previous developments in scheduling over LoRaWANs, and it leverages network feedback information and traffic spatial correlation to increase network performance while maintaining high reliability. The proposed algorithm is investigated via an extensive simulation under a variety of network conditions and compared with a previously proposed scheduler for event-triggered traffic. The results show a decrease of up to 30% in average frame delay compared to the previous approach and an order of magnitude lower delay compared to the baseline algorithm. These findings highlight the importance of using spatial information in adaptive schemes for improving network performance, especially in location-sensitive applications. Full article
(This article belongs to the Special Issue Advanced Applications of WSNs and the IoT)
Show Figures

Figure 1

19 pages, 7742 KB  
Article
Cascaded Fuzzy Reward Mechanisms in Deep Reinforcement Learning for Comprehensive Path Planning in Textile Robotic Systems
by Di Zhao, Zhenyu Ding, Wenjie Li, Sen Zhao and Yuhong Du
Appl. Sci. 2024, 14(2), 851; https://doi.org/10.3390/app14020851 - 19 Jan 2024
Cited by 3 | Viewed by 2163
Abstract
With the rapid advancement of industrial automation and artificial intelligence technologies, particularly in the textile industry, robotic technology is increasingly challenged with intelligent path planning and executing high-precision tasks. This study focuses on the automatic path planning and yarn-spool-assembly tasks of textile robotic [...] Read more.
With the rapid advancement of industrial automation and artificial intelligence technologies, particularly in the textile industry, robotic technology is increasingly challenged with intelligent path planning and executing high-precision tasks. This study focuses on the automatic path planning and yarn-spool-assembly tasks of textile robotic arms, proposing an end-to-end planning and control model that integrates deep reinforcement learning. The innovation of this paper lies in the introduction of a cascaded fuzzy reward system, which is integrated into the end-to-end model to enhance learning efficiency and reduce ineffective exploration, thereby accelerating the convergence of the model. A series of experiments conducted in a simulated environment demonstrate the model’s exceptional performance in yarn-spool-assembly tasks. Compared to traditional reinforcement learning methods, our model shows potential advantages in improving task success rates and reducing collision rates. The cascaded fuzzy reward system, a core component of our end-to-end deep reinforcement learning model, offers a novel and more robust solution for the automated path planning of robotic arms. In summary, the method proposed in this study provides a new perspective and potential applications for industrial automation, especially in the operation of robotic arms in complex and uncertain environments. Full article
(This article belongs to the Topic Industrial Robotics: 2nd Volume)
Show Figures

Figure 1

12 pages, 3960 KB  
Article
Influence of Temperature and Incidence Angle on the Irradiation Cascade Effect of 6H-SiC: Molecular Dynamics Simulations
by Yaolin Chen, Hongxia Liu, Cong Yan and Hao Wei
Micromachines 2023, 14(11), 2126; https://doi.org/10.3390/mi14112126 - 19 Nov 2023
Cited by 1 | Viewed by 1767
Abstract
SiC devices have been typically subjected to extreme environments and complex stresses during operation, such as intense radiation and large diurnal amplitude differences on the lunar surface. Radiation displacement damage may lead to degradation or failure of the performance of semiconductor devices. In [...] Read more.
SiC devices have been typically subjected to extreme environments and complex stresses during operation, such as intense radiation and large diurnal amplitude differences on the lunar surface. Radiation displacement damage may lead to degradation or failure of the performance of semiconductor devices. In this paper, the effects of temperature and incidence angle on the irradiation cascade effect of 6H-SiC were investigated separately using the principles of molecular dynamics. Temperatures were set to 100 K, 150 K, 200 K, 250 K, 300 K, 350 K, 400 K and 450 K. The incidence direction was parallel to the specified crystal plane, with angles of 8°, 15°, 30°, 45°, 60° and 75° to the negative direction of the Z-axis. In this paper, the six types of defects were counted, and the microscopic distribution images and trajectories of each type of defect were extracted. The results show a linear relationship between the peak of the Frenkel pair and temperature. The recombination rate of Frenkel pairs depends on the local temperature and degree of aggregation at the center of the cascade collision. Increasing the angle of incidence first inhibits and then promotes the production of total defects and Frenkel pairs. The lowest number of total defects, Frenkel pairs and antisite defects are produced at a 45° incident angle. At an incidence angle of 75°, larger size hollow clusters and anti-clusters are more likely to appear in the 6H-SiC. Full article
(This article belongs to the Section D1: Semiconductor Devices)
Show Figures

Figure 1

19 pages, 9004 KB  
Article
High-Resolution and Large-Detection-Range Virtual Antenna Array for Automotive Radar Applications
by Haythem Abdullah, Mohamed Mabrouk, Ahmed Abd-Elnaby Kabeel and Amr Hussein
Sensors 2021, 21(5), 1702; https://doi.org/10.3390/s21051702 - 2 Mar 2021
Cited by 20 | Viewed by 6916
Abstract
Collision avoidance and autonomous control of vehicles have become essential needs for providing a high-quality and safe life. This paper introduces a new generic scheme for a virtual antenna array (VAA) and its application in a train collision-avoidance system (TCAS). The proposed TCAS [...] Read more.
Collision avoidance and autonomous control of vehicles have become essential needs for providing a high-quality and safe life. This paper introduces a new generic scheme for a virtual antenna array (VAA) and its application in a train collision-avoidance system (TCAS). The proposed TCAS shall have the capability of identifying the range and angle of an object in front of a moving train and provide the required alerts. Thereby, a new virtual array distribution for both the transmitting and the receiving antenna arrays is introduced to get a long-range object detection and high-resolution multi-input multi-output (MIMO) system. This can be accomplished because the VAA radiation pattern is the multiplication of the radiation patterns for both the transmitting and receiving antenna arrays, which is different than each one of them alone. In this work, the VAA is utilized in radar systems in which the radar range depends on the multiplication of the gain of the transmitting and receiving antennas. So, we introduce a new scheme for the general design of VAA-based radars. A prototype for the antenna system was fixed on a of Texas Instruments platform for the cascading radar. One of the main problems of the VAA is the loss of radiated power in undesired directions, which affects the maximum detection range in beamforming systems and degrades the diversity gain in MIMO applications. These issues have been solved by the introduction of the practical implementation of a proposed high-gain, low side lobe level VAA system for automotive radar that is based on the integration of four AWR1243 RF chips operating in a frequency range of 76 GHz to 81 GHz. It was implemented using low-power 45 nm (TI) RFCMOS technology. The measured gain of the realized VAA was 47.2 dBi, which was 1.815 times higher than that of the Texas instrumentation linear frequency modulated continuous wave (TI’ LFMCW) radar, which was 26 dBi. The proposed VAA saved 45% of the required implementation area compared to the TI’ LFMCW antenna array. The VAA system was fabricated and tested in an anechoic chamber, and it was found that the simulated and measured patterns of the proposed VAA were highly matched in terms of half-power beamwidth and side lobe level. Full article
(This article belongs to the Section Electronic Sensors)
Show Figures

Figure 1

16 pages, 2867 KB  
Article
Numerical Modelling of Microchannel Gas Flows in the Transition Flow Regime Using the Cascaded Lattice Boltzmann Method
by Qing Liu and Xiang-Bo Feng
Entropy 2020, 22(1), 41; https://doi.org/10.3390/e22010041 - 27 Dec 2019
Cited by 11 | Viewed by 3219
Abstract
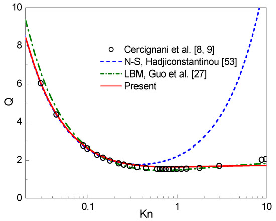
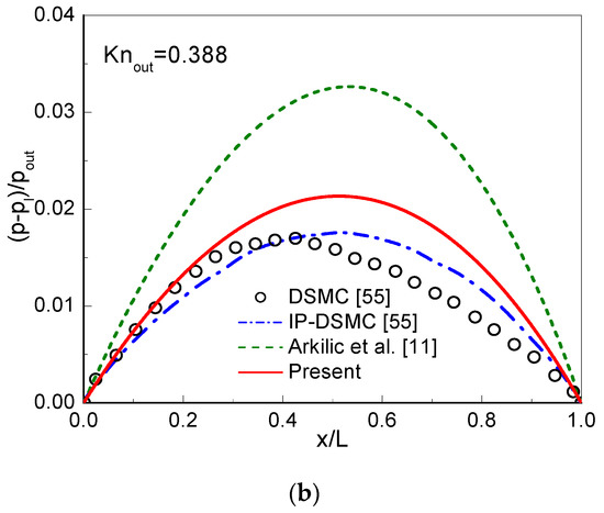
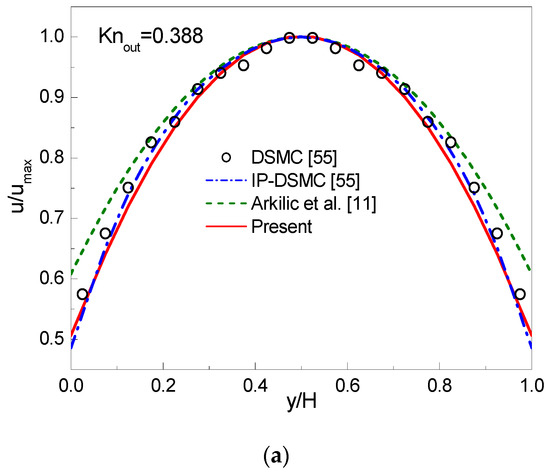
In this article, a lattice Boltzmann (LB) method for studying microchannel gas flows is developed in the framework of the cascaded collision operator. In the cascaded lattice Boltzmann (CLB) method, the Bosanquet-type effective viscosity is employed to capture the rarefaction effects, and the [...] Read more.
In this article, a lattice Boltzmann (LB) method for studying microchannel gas flows is developed in the framework of the cascaded collision operator. In the cascaded lattice Boltzmann (CLB) method, the Bosanquet-type effective viscosity is employed to capture the rarefaction effects, and the combined bounce-back/specular-reflection scheme together with the modified second-order slip boundary condition is adopted so as to match the Bosanquet-type effective viscosity. Numerical simulations of microchannel gas flow with periodic and pressure boundary conditions in the transition flow regime are carried out to validate the CLB method. The predicted results agree well with the analytical, numerical, and experimental data reported in the literature. Full article
(This article belongs to the Section Statistical Physics)
Show Figures

Figure 1

Back to TopTop