Sign in to use this feature.

Years

Between: -

Subjects

remove_circle_outline
remove_circle_outline
remove_circle_outline
remove_circle_outline
remove_circle_outline

Journals

Article Types

Countries / Regions

Search Results (6)

Search Parameters:
Keywords = cadmium-mobilizing bacteria

Order results
Result details
Results per page
Select all
Export citation of selected articles as:
21 pages, 5071 KB  
Article
Antibiotic and Heavy Metal Resistance in Bacteria from Contaminated Agricultural Soil: Insights from a New Zealand Airstrip
by Ali Heydari, Nick D. Kim, Patrick J. Biggs, Jacqui Horswell, Gerty J. H. P. Gielen, Alma Siggins, Collette Bromhead, Juan Carlos Meza-Alvarado and Barry R. Palmer
Antibiotics 2025, 14(2), 192; https://doi.org/10.3390/antibiotics14020192 - 13 Feb 2025
Cited by 1 | Viewed by 1864
Abstract
Background/Objectives: Agricultural soils accumulate inorganic contaminants from the application of phosphate fertilisers. An airstrip located at Belmont Regional Park (BRP), near Wellington, New Zealand, has been found to have a gradient of cadmium contamination due to spillage of superphosphate fertiliser. Methods: Soil samples [...] Read more.
Background/Objectives: Agricultural soils accumulate inorganic contaminants from the application of phosphate fertilisers. An airstrip located at Belmont Regional Park (BRP), near Wellington, New Zealand, has been found to have a gradient of cadmium contamination due to spillage of superphosphate fertiliser. Methods: Soil samples from the BRP airstrip with a gradient of cadmium contamination, were used as a novel source to explore bacterial communities’ resistance to heavy metals (HMs) and any co-selected antibiotic (Ab) resistance. Results: Differences between BRP soil samples with higher levels of HMs compared to those with lower HM concentrations showed significantly more bacterial isolates resistant to both HMs (40.6% versus 63.1% resistant to 0.01 mM CdCl2, p < 0.05) and Abs (23.4% versus 37.8% resistant to 20 μg/mL tetracycline, p < 0.05) in soils with higher initial levels of HMs (1.14 versus 7.20 mg kg−1 Cd). Terminal restriction fragment length polymorphism (TRFLP) and 16S rDNA next-generation sequencing profiling investigated changes in HM-induced bacterial communities. Significant differences were observed among the bacterial community structures in the selected BRP soil samples. Conjugative transfer of cadmium resistance from 23–38% of cadmium-resistant isolates to a characterised recipient bacterial strain in vitro suggested many of these genes were carried by mobile genetic elements. Transconjugants were also resistant to zinc, mercury, and Abs. Higher levels of HMs in soil correlated with increased resistance to HMs, Abs, and elevated levels of HMs thus disturbed the bacterial community structure in BRP soil significantly. Conclusions: These findings suggest that HM contamination of agricultural soil can select for Ab resistance in soil bacteria with potential risks to human and animal health. Full article
(This article belongs to the Special Issue Antimicrobial Resistance and Environmental Health, 2nd Edition)
Show Figures

Figure 1

16 pages, 2916 KB  
Article
Do Microorganisms in Bathing Water in Guadeloupe (French West Indies) Have Resistance Genes?
by Degrâce Batantou Mabandza, Edlyne Colletin, Christophe Dagot, Isaure Quétel, Sébastien Breurec and Stéphanie Guyomard-Rabenirina
Antibiotics 2024, 13(1), 87; https://doi.org/10.3390/antibiotics13010087 - 16 Jan 2024
Cited by 1 | Viewed by 2957
Abstract
Waterborne faecal contamination is a major public health concern. The main objectives of this study were to investigate faecal contamination and Escherichia coli (E. coli) antibiotic resistance in recreational fresh water from Guadeloupe and to characterise the microbiome and resistome composition [...] Read more.
Waterborne faecal contamination is a major public health concern. The main objectives of this study were to investigate faecal contamination and Escherichia coli (E. coli) antibiotic resistance in recreational fresh water from Guadeloupe and to characterise the microbiome and resistome composition in biofilms from submerged rocks. Significant faecal contamination was observed at 14 freshwater sites. E. coli predominated (62%), followed by Enterobacter cloacae (11%) and Acinetobacter spp. (11%). Of 152 E. coli isolated, none produced extended-spectrum beta-lactamases (ESBLs), but 7% showed resistance to streptomycin and 4% to tetracycline. Biofilm resistome analysis revealed clinically significant antibiotic-resistance genes (ARGs), including those coding for resistance to sulfonamides (sul1), carbapenems (blaKPC), and third-generation cephalosporins (blaCTX-M). Mobile genetic elements (MGEs) (intI1, intI2, intI3) linked to resistance to aminoglycosides, beta-lactams, tetracycline, as well as heavy metal resistance determinants (copA, cusF, czcA, merA) conferring resistance to copper, silver, cadmium, and mercury were also detected. Diverse bacterial phyla were found in biofilm samples, of which Proteobacteria, Bacteroidetes, Planctonomycetes, and Cyanobacteria were predominant. Despite the frequent presence of E. coli exceeding regulatory standards, the low levels of antibiotic-resistant bacteria in freshwater and of ARGs and MGEs in associated biofilms suggest limited antibiotic resistance in Guadeloupean recreational waters. Full article
Show Figures

Figure 1

18 pages, 2474 KB  
Article
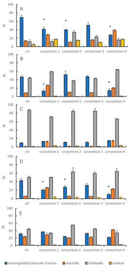
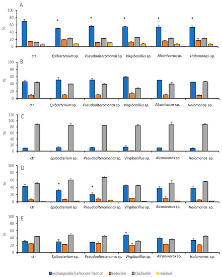
Degradation of Hydrocarbons and Heavy Metal Reduction by Marine Bacteria in Highly Contaminated Sediments
by Filippo Dell’Anno, Christophe Brunet, Leonardo Joaquim van Zyl, Marla Trindade, Peter N. Golyshin, Antonio Dell’Anno, Adrianna Ianora and Clementina Sansone
Microorganisms 2020, 8(9), 1402; https://doi.org/10.3390/microorganisms8091402 - 11 Sep 2020
Cited by 51 | Viewed by 7905
Abstract
Investigations on the ability of bacteria to enhance removal of hydrocarbons and reduce heavy metal toxicity in sediments are necessary to design more effective bioremediation strategies. In this study, five bacterial strains, Halomonas sp. SZN1, Alcanivorax sp. SZN2, Pseudoalteromonas sp. SZN3, Epibacterium sp. [...] Read more.
Investigations on the ability of bacteria to enhance removal of hydrocarbons and reduce heavy metal toxicity in sediments are necessary to design more effective bioremediation strategies. In this study, five bacterial strains, Halomonas sp. SZN1, Alcanivorax sp. SZN2, Pseudoalteromonas sp. SZN3, Epibacterium sp. SZN4, and Virgibacillus sp. SZN7, were isolated from polluted sediments from an abandoned industrial site in the Gulf of Naples, Mediterranean Sea, and tested for their bioremediation efficiency on sediment samples collected from the same site. These bacteria were added as consortia or as individual cultures into polluted sediments to assess biodegradation efficiency of polycyclic aromatic hydrocarbons and heavy metal immobilisation capacity. Our results indicate that these bacteria were able to remove polycyclic aromatic hydrocarbons, with a removal rate up to ca. 80% for dibenzo-anthracene. In addition, these bacteria reduced arsenic, lead, and cadmium mobility by promoting their partitioning into less mobile and bioavailable fractions. Microbial consortia generally showed higher performance toward pollutants as compared with pure isolates, suggesting potential synergistic interactions able to enhance bioremediation capacity. Overall, our findings suggest that highly polluted sediments select for bacteria efficient at reducing the toxicity of hazardous compounds, paving the way for scaled-up bioremediation trials. Full article
(This article belongs to the Section Microbial Biotechnology)
Show Figures

Figure 1

25 pages, 2295 KB  
Article
Securing of an Industrial Soil Using Turfgrass Assisted by Biostimulants and Compost Amendment
by Donato Visconti, Antonio Giandonato Caporale, Ludovico Pontoni, Valeria Ventorino, Massimo Fagnano, Paola Adamo, Olimpia Pepe, Sheridan Lois Woo and Nunzio Fiorentino
Agronomy 2020, 10(9), 1310; https://doi.org/10.3390/agronomy10091310 - 2 Sep 2020
Cited by 11 | Viewed by 3986
Abstract
This work aimed to study the effects of compost (applied at two rates) and two commercial microbial biostimulants on the mobility and bioavailability of potentially toxic elements (PTEs) in an industrial soil phytostabilized by Dactylis glomerata L. or a mixed stand of grasses [...] Read more.
This work aimed to study the effects of compost (applied at two rates) and two commercial microbial biostimulants on the mobility and bioavailability of potentially toxic elements (PTEs) in an industrial soil phytostabilized by Dactylis glomerata L. or a mixed stand of grasses (Lolium perenne L., Poa pratensis L. and Festuca arundinacea Shreb.). The soil showed very high pseudototal and bioavailable concentrations of cadmium (Cd) and lead (Pb), due to improper lead-acid batteries storage. Compost amendment in combination with the two biostimulants produced the best outcomes in terms of plant growth and nutrient uptake. The same mix of beneficial microbes improved soil biological fertility enhancing soil nitrogen fixing and ammonia oxidizing bacteria, while reduced the pore water and NH4NO3 extractable concentrations of Cd and at lower extent of Pb in soil. Accordingly, the lower mobility and bioavailability of Cd in soil determined a lower uptake and accumulation of Cd in shoots of different grass species. Our results suggest that a green cap with turfgrass assisted by biostimulants and compost amendment in PTE-contaminated industrial sites could be a reliable and effective practice to protect and restore soil biological fertility and to reduce the risk of PTE dispersion in the surrounding environment. Full article
(This article belongs to the Special Issue Agronomic Approaches for Remediation of Contaminated Soils)
Show Figures

Figure 1

16 pages, 2106 KB  
Article
Phytostabilization of Polluted Military Soil Supported by Bioaugmentation with PGP-Trace Element Tolerant Bacteria Isolated from Helianthus petiolaris
by Anabel Saran, Valeria Imperato, Lucia Fernandez, Panos Gkorezis, Jan d’Haen, Luciano Jose Merini, Jaco Vangronsveld and Sofie Thijs
Agronomy 2020, 10(2), 204; https://doi.org/10.3390/agronomy10020204 - 1 Feb 2020
Cited by 31 | Viewed by 5592
Abstract
Lead (Pb) and cadmium (Cd) are major environmental pollutants, and the accumulation of these elements in soils and plants is of great concern in agricultural production due to their toxic effects on crop growth. Also, these elements can enter into the food chain [...] Read more.
Lead (Pb) and cadmium (Cd) are major environmental pollutants, and the accumulation of these elements in soils and plants is of great concern in agricultural production due to their toxic effects on crop growth. Also, these elements can enter into the food chain and severely affect human and animal health. Bioaugmentation with plant growth-promoting bacteria (PGPB) can contribute to an environmentally friendly and effective remediation approach by improving plant survival and promoting element phytostabilization or extraction under such harsh conditions. We isolated and characterised Pb and Cd-tolerant root-associated bacteria from Helianthus petiolaris growing on a Pb/Cd polluted soil in order to compose inoculants that can promote plant growth and also ameliorate the phytostabilization or phytoextraction efficiency. One hundred and five trace element-tolerant rhizospheric and endophytic bacterial strains belonging to eight different genera were isolated from the aromatic plant species Helianthus petiolaris. Most of the strains showed multiple PGP-capabilities, ability to immobilise trace elements on their cell wall, and promotion of seed germination. Bacillus paramycoides ST9, Bacillus wiedmannii ST29, Bacillus proteolyticus ST89, Brevibacterium frigoritolerans ST30, Cellulosimicrobium cellulans ST54 and Methylobacterium sp. ST85 were selected to perform bioaugmentation assays in greenhouse microcosms. After 2 months, seedlings of sunflower (H. annuus) grown on polluted soil and inoculated with B. proteolyticus ST89 produced 40% more biomass compared to the non-inoculated control plants and accumulated 20 % less Pb and 40% less Cd in the aboveground plant parts. In contrast, B. paramycoides ST9 increased the bioaccumulation factor (BAF) of Pb three times and of Cd six times without inhibiting plant growth. Our results indicate that, depending on the strain, bioaugmentation with specific beneficial bacteria can improve plant growth and either reduce trace element mobility or enhance plant trace element uptake. Full article
(This article belongs to the Special Issue Agronomic Approaches for Remediation of Contaminated Soils)
Show Figures

Graphical abstract

12 pages, 1030 KB  
Article
Effect of Phosphate-Solubilizing Bacteria on the Mobility of Insoluble Cadmium and Metabolic Analysis
by Ping Yang, Xue-Fang Zhou, Li-Li Wang, Qu-Sheng Li, Ting Zhou, Yu-Kun Chen, Zi-Yi Zhao and Bao-Yan He
Int. J. Environ. Res. Public Health 2018, 15(7), 1330; https://doi.org/10.3390/ijerph15071330 - 25 Jun 2018
Cited by 64 | Viewed by 5498
Abstract
Phosphate-solubilizing bacteria (PSB) can promote plant growth by dissolving insoluble phosphate. Therefore, PSB may have the potential to improve the mobility of heavy metals in soils and enhance phytoextraction. This study isolated a few PSB strains that could dissolve CdCO3 and solid [...] Read more.
Phosphate-solubilizing bacteria (PSB) can promote plant growth by dissolving insoluble phosphate. Therefore, PSB may have the potential to improve the mobility of heavy metals in soils and enhance phytoextraction. This study isolated a few PSB strains that could dissolve CdCO3 and solid Cd in soil. Two typical PSB, namely, high- and low-Cd-mobilizing PSB (Pseudomonas fluorescens gim-3 and Bacillus cereus qh-35, respectively), were selected to analyze the metabolic profiles, metabolic pathways, and mechanisms of mobilization of insoluble Cd. A total of 34 metabolites secreted by the two PSB strains were identified. Gluconic acid was the main contributor to Cd dissolution (42.4%) in high-Cd-mobilizing PSB. By contrast, gluconic acid was not secreted in low-Cd-mobilizing PSB. Metabolic pathway analysis showed that gluconic acid was produced by the peripheral direct oxidation pathway. Hence, PSB with peripheral direct oxidation pathway were likely to have high-Cd-mobilizing capacity. Full article
(This article belongs to the Section Environmental Science and Engineering)
Show Figures

Figure 1

Back to TopTop