Sign in to use this feature.

Years

Between: -

Subjects

remove_circle_outline
remove_circle_outline
remove_circle_outline
remove_circle_outline
remove_circle_outline
remove_circle_outline

Journals

Article Types

Countries / Regions

Search Results (5)

Search Parameters:
Keywords = bird-mating optimization

Order results
Result details
Results per page
Select all
Export citation of selected articles as:
13 pages, 435 KB  
Article
Rooster Behavior and Laying Breeder Performance in Natural Mating Cages as a Function of Different Rearing Management
by Yuqi Chen, Yalan Zuo, Aosui Zhao, Yao Zhang, Shunshun Han, Can Cui and Huadong Yin
Animals 2025, 15(13), 1925; https://doi.org/10.3390/ani15131925 - 30 Jun 2025
Viewed by 576
Abstract
Natural mating colony cages are crucial in poultry breeding, yet breed-specific management requires further investigation. We evaluated the effects of sex ratios, stocking densities, and cohabitation age on Lohmann Pink-shell breeders’ performance. A total of 6126 birds were randomly allocated to experimental groups [...] Read more.
Natural mating colony cages are crucial in poultry breeding, yet breed-specific management requires further investigation. We evaluated the effects of sex ratios, stocking densities, and cohabitation age on Lohmann Pink-shell breeders’ performance. A total of 6126 birds were randomly allocated to experimental groups with varying ratios (1:8–1:13), densities (582–748 cm2/bird), and cohabitation ages (120/140 days), each containing six replicates. We monitored male mating frequencies at 50 weeks in 1:8 and 1:10 ratio groups. All 120-day-old groups showed delayed production onset and superior male weight compliance (p < 0.01), with reduced egg breakage and increased healthy chick output (p < 0.01). Lower stocking densities (748/694 cm2/bird) showed lower breakage rate and uniformity than 582 cm2/bird (p < 0.05). The 1:10 sex ratio achieved optimal egg production and fertilization rate (p < 0.05). Male mating peaked between 16:00 and 18:00. Optimal parameters were 120-day age of cohabitation, 694 cm2/bird density, and 1:10 sex ratio, providing theoretical guidance for natural mating colony cage development in layer breeding. Full article
(This article belongs to the Section Animal Welfare)
Show Figures

Figure 1

15 pages, 2379 KB  
Article
Swarm Intelligent Optimization Conjunction with Kriging Model for Bridge Structure Finite Element Model Updating
by Jie Wu, Fan Cheng, Chao Zou, Rongtang Zhang, Cong Li, Shiping Huang and Yu Zhou
Buildings 2022, 12(5), 504; https://doi.org/10.3390/buildings12050504 - 19 Apr 2022
Cited by 12 | Viewed by 2903
Abstract
For the simple bridge structure, the finite element model established by drawing and elastic mechanics method is accurate. However, when faced with large and complex long-span bridge structures, there are inevitable differences between the finite element model and the physical model, where the [...] Read more.
For the simple bridge structure, the finite element model established by drawing and elastic mechanics method is accurate. However, when faced with large and complex long-span bridge structures, there are inevitable differences between the finite element model and the physical model, where the model has to be updated. It is problematic that the updating structural matrix cannot be fed back into the existing general finite element calculation software in the traditional structural matrix updating method. In this paper, a parameter-type updating method based on the “Kriging model + swarm intelligence” optimization is proposed. The Kriging model, based on Genetic Algorithm (GA), Bird Mating Optimizer (BMO), and Particle Swarm Optimization algorithm (PSO), is introduced into the finite element model, updating this to correct the design parameters of the finite element model. Firstly, a truss structure was used to verify the effectiveness of the proposed optimization method, and then a cable-stayed bridge was taken as an example. Three methods were used to update the finite element model of the bridge, and the results of the three optimization algorithms were compared and analyzed. The results show that, compared with the other two methods, the GA-based model updating method has the least time due to the small computation. The results of the BMO-based model were time consuming compared to the other two algorithms, and the parameter identification results were better than the GA algorithm. The PSO algorithm-based model updating method to solve the finite element model was repeated, which required a large amount of computation and was more time consuming; however, it had the highest parameter correction accuracy. Full article
Show Figures

Figure 1

16 pages, 3149 KB  
Article
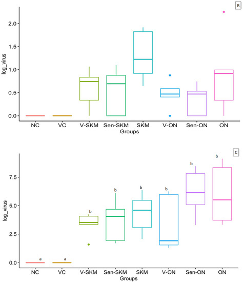
Efficacy and Immunogenicity of Recombinant Pichinde Virus-Vectored Turkey Arthritis Reovirus Subunit Vaccine
by Rahul Kumar, Robert E. Porter, Sunil K. Mor and Sagar M. Goyal
Vaccines 2022, 10(4), 486; https://doi.org/10.3390/vaccines10040486 - 22 Mar 2022
Cited by 6 | Viewed by 2814
Abstract
We created a recombinant live pichinde virus-vectored bivalent codon optimized subunit vaccine that expresses immunogenic Sigma C and Sigma B proteins of turkey arthritis reovirus. The vaccine virus could be transmitted horizontally immunizing the non-vaccinated pen mates. The vaccine was tested for efficacy [...] Read more.
We created a recombinant live pichinde virus-vectored bivalent codon optimized subunit vaccine that expresses immunogenic Sigma C and Sigma B proteins of turkey arthritis reovirus. The vaccine virus could be transmitted horizontally immunizing the non-vaccinated pen mates. The vaccine was tested for efficacy against homologous (TARV SKM121) and heterologous (TARV O’Neil) virus challenge. Immunized poults produced serum neutralizing antibodies capable of neutralizing both viruses. The vaccinated and control birds showed similar body weights indicating no adverse effect on feed efficiency. Comparison of virus gene copy numbers in intestine and histologic lesion scores in tendons of vaccinated and non-vaccinated birds showed a decrease in the replication of challenge viruses in the intestine and tendons of vaccinated birds. These results indicate the potential usefulness of this vaccine. Full article
(This article belongs to the Section Veterinary Vaccines)
Show Figures

Figure 1

25 pages, 13661 KB  
Article
Interface Failure of Heated GLARETM Fiber–Metal Laminates under Bird Strike
by Md.Zahid Hasan
Aerospace 2020, 7(3), 28; https://doi.org/10.3390/aerospace7030028 - 17 Mar 2020
Cited by 10 | Viewed by 5372
Abstract
Many high-strength composite materials have been developed for aircraft structures. GLAss fiber REinforced aluminum (GLARE) is one of the high-performance composites. The review of articles, however, yielded no study on the impact damage of heated GLARE laminates. This study, therefore, aimed at developing [...] Read more.
Many high-strength composite materials have been developed for aircraft structures. GLAss fiber REinforced aluminum (GLARE) is one of the high-performance composites. The review of articles, however, yielded no study on the impact damage of heated GLARE laminates. This study, therefore, aimed at developing a numerical model that can delineate the continuum damage of GLARE 5A-3/2-0.3 laminates at elevated temperatures. In the first stage, the inter-laminar interface failure of heated GLARE laminate had been investigated at room temperature and 80 °C. The numerical analysis employed a three-dimensional GLARE 5A-3/2-0.3 model that accommodated volumetric cohesive interfaces between mating material layers. Lagrangian smoothed particles populated the projectile. The model considered the degradation of tensile and shear modulus of glass fiber reinforced epoxy (GF/EP) at 80 °C, while incorporated temperature-dependent critical strain energy release rate of cohesive interfaces. When coupled with the material particulars, an 82 m/s bird impact at room temperature exhibited delamination first in the GF/EP 90°/0° interface farthest from the impacted side. Keeping the impact velocity, interface failure propagated at a slower rate at 80 °C than that at room temperature, which was in agreement with the impact damage determined in the experiments. The outcomes of this study will help optimize a GLARE laminate based on the anti-icing temperature of aircraft. Full article
(This article belongs to the Special Issue Crashworthiness Design for Aviation Safety)
Show Figures

Figure 1

12 pages, 4612 KB  
Article
A Modified Bird-Mating Optimization with Hill-Climbing for Connection Decisions of Transformers
by Ting-Chia Ou, Wei-Fu Su, Xian-Zong Liu, Shyh-Jier Huang and Te-Yu Tai
Energies 2016, 9(9), 671; https://doi.org/10.3390/en9090671 - 23 Aug 2016
Cited by 59 | Viewed by 6023
Abstract
This paper endeavors to apply a hybrid bird-mating optimization approach to connection decisions of distribution transformers. It is expected that with the aid of hybrid bird-mating approach, the voltage imbalance and deviation can be mitigated, hence ensuring a satisfactory supplying power more effectively. [...] Read more.
This paper endeavors to apply a hybrid bird-mating optimization approach to connection decisions of distribution transformers. It is expected that with the aid of hybrid bird-mating approach, the voltage imbalance and deviation can be mitigated, hence ensuring a satisfactory supplying power more effectively. To evaluate the effectiveness of this method, it has been tested through practical distribution systems with comparisons to other methods. Test results help confirm the feasibility of the approach, serving as beneficial references for the improvement of electric power grid operations. Full article
Show Figures

Graphical abstract

Back to TopTop