Sign in to use this feature.

Years

Between: -

Subjects

remove_circle_outline
remove_circle_outline
remove_circle_outline
remove_circle_outline
remove_circle_outline
remove_circle_outline

Journals

Article Types

Countries / Regions

Search Results (13)

Search Parameters:
Keywords = bimanual intensive functional therapy

Order results
Result details
Results per page
Select all
Export citation of selected articles as:
17 pages, 614 KB  
Article
Integration of a Bimanual Training Program Using Joystick-Operated Ride-On Toys into an Intensive, Task-Oriented Hybrid Intervention for Children with Unilateral Cerebral Palsy: A Feasibility Study
by Kush Kataria, Patrick D. Kumavor and Sudha Srinivasan
J. Clin. Med. 2025, 14(24), 8672; https://doi.org/10.3390/jcm14248672 - 7 Dec 2025
Viewed by 321
Abstract
Background/Objectives: We studied the feasibility of incorporating a play-based bimanual ride-on-toy navigation training (RNT) program into an intensive hybrid training camp based on principles of modified constraint induced movement therapy and bimanual training for children with unilateral cerebral palsy (UCP). The bimanual [...] Read more.
Background/Objectives: We studied the feasibility of incorporating a play-based bimanual ride-on-toy navigation training (RNT) program into an intensive hybrid training camp based on principles of modified constraint induced movement therapy and bimanual training for children with unilateral cerebral palsy (UCP). The bimanual RNT sessions included theme-based play involving navigational exploration and object-based tasks. Methods: We employed a pretest-posttest, mixed methods design. Ten children between 3 and 11 years participated. Camp was 6 h/day and 5 days/week for 3 weeks. Researchers trained camp staff to provide RNT every day. The feasibility of clinician delivery of RNT was assessed using training logs and staff exit questionnaires. The combined effects of the camp programming, inclusive of bimanual RNT, was measured through a combination of standardized tests (Quality of Upper Extremity Skills Test (QUEST), Shriner’s Hospital Upper Extremity Evaluation (SHUEE), and Box and Blocks Test) and video-coding measures. We report on means (M), standard errors (SE), and effect sizes (ES) with 95% confidence intervals for outcome measures. Results: The average session adherence was 90.7%, and staff were able to successfully deliver RNT, despite initial logistical challenges. In combination with camp programming, RNT led to improvements in the total QUEST score (pretest M (SE): 77.54 (5.11), posttest M (SE): 81.46 (5.22)) and SHUEE spontaneous functional analysis score (pretest M (SE): 41.33 (7.48), posttest M (SE): 50.22 (7.88)). Children increased the use of their affected upper extremity (UE) during late RNT sessions and improved in their navigational abilities. Conclusions: RNT is a fun and easily adaptable therapy adjunct that can complement traditional therapies to incentivize spontaneous use of the affected UE in children with UCP. Full article
(This article belongs to the Section Clinical Pediatrics)
Show Figures

Figure 1

17 pages, 3765 KB  
Article
Use of Accelerometers to Monitor Motor Activity During HABIT-ILE for Chronic Stroke: An Exploratory Study
by Merlin Somville, Zélie Rosselli, Edouard Ducoffre, Massimo Penta, Tristan Smeesters, Yannick Bleyenheuft and Geoffroy Saussez
Sensors 2025, 25(21), 6656; https://doi.org/10.3390/s25216656 - 31 Oct 2025
Viewed by 910
Abstract
(1) Background: Hand and Arm Bimanual Intensive Therapy Including Lower Extremities (HABIT-ILE) is a high-dose evidence-based neurorehabilitation. This study aims to develop and validate a protocol using three inertial measurement units (IMUs) to objectively document upper and lower extremities’ (UE; LE) motor activity [...] Read more.
(1) Background: Hand and Arm Bimanual Intensive Therapy Including Lower Extremities (HABIT-ILE) is a high-dose evidence-based neurorehabilitation. This study aims to develop and validate a protocol using three inertial measurement units (IMUs) to objectively document upper and lower extremities’ (UE; LE) motor activity during a HABIT-ILE intervention in chronic stroke adults. (2) Method: Thirteen adults (57.1 y ± 11.3) who completed 65 h of HABIT-ILE (2 weeks, 6.5 h/d) were included. Daily motor activity was recorded with IMUs placed on both wrists and one thigh with nine IMU-derived variables extracted to evaluate motor activity and posture. Each variable was correlated with baseline abilities and day-to-day patterns were observed with subgroup analyses based on baseline dexterity and walking endurance. Day-to-day patterns were highlighted based on mean values and effect size analyses. (3) Results: Only the Magnitude and Use ratios showed high correlations with baseline abilities, with a day-to-day specific pattern highlighted for participants with moderate to good dexterity at baseline. (4) Conclusions: All participants reported a high level of engagement during HABIT-ILE independently of their baseline abilities. Although we could not detect a global trend to document the content of a HABIT-ILE intervention, these exploratory results suggest IMU monitoring to be relevant to characterize therapeutic content. Full article
Show Figures

Figure 1

18 pages, 811 KB  
Article
Feasibility of Home-Based Early Infant Hybrid Therapy in Children with Unilateral Cerebral Palsy
by Rocío Palomo-Carrión, Helena Romay-Barrero, Elena Pinero-Pinto, Rita-Pilar Romero-Galisteo, María Coello-Villalón, Asunción Ferri-Morales, Purificación López-Muñoz and Cristina Lirio-Romero
J. Clin. Med. 2024, 13(22), 6725; https://doi.org/10.3390/jcm13226725 - 8 Nov 2024
Viewed by 1888
Abstract
Background: The first stage of childhood is characterized by great neuronal plasticity. In Unilateral Cerebral Palsy (UCP), it is essential to carry out early treatment, with family involvement. The aim of this study was to investigate the feasibility of Early Infant Hybrid [...] Read more.
Background: The first stage of childhood is characterized by great neuronal plasticity. In Unilateral Cerebral Palsy (UCP), it is essential to carry out early treatment, with family involvement. The aim of this study was to investigate the feasibility of Early Infant Hybrid Therapy (eI-Hybrid) applied at home with family involvement in children with UCP aged 9–18 months, and to assess its preliminary effectiveness on bimanual functional performance. Methods: A single group of 10 children (12.8 months, SD = 3.4) performed the eI-Hybrid therapy. The main outcome was measured with the mini Assisting Hand Assessment scale (mini-AHA), functional goals were measured with the Goal Attainment Scale (GAS), and satisfaction expectations on intensive therapy were also recorded. Three measures were performed (week 0, week 10, and month 6). A repeated-measures ANOVA test was performed on the mini-AHA in order to observe the statistically significant differences in pairwise comparison. Results: Ten children completed the study and the parents’ expectations were fulfilled, indicating high caregiver compliance and high adherence to the treatment. Clinically relevant changes were observed between pre- and post-intervention measurements in BFP (pre: 41.9 (SD: 7.7), post: 50.9 (SD: 6.0) and in the follow-up at 6 months (50.3 (SD:5.6); p < 0.001). Families reported a high satisfaction. Conclusions: infant hybrid treatment is feasible to be performed at home with the family’s involvement, obtaining improvements in the affected upper limb for early-age UCP. Full article
(This article belongs to the Section Clinical Pediatrics)
Show Figures

Figure 1

17 pages, 654 KB  
Article
Young Children Benefit from Intensive, Group-Based Pediatric Constraint-Induced Movement Therapy
by Katherine S. Ryan-Bloomer
Healthcare 2024, 12(21), 2134; https://doi.org/10.3390/healthcare12212134 - 26 Oct 2024
Viewed by 3279
Abstract
Background/Objectives: This quasi-experimental study examined the effectiveness of an intensive, group-based pediatric constraint-induced movement therapy (pCIMT) program for young children. Methods: Thirty-five children aged 21 months to 6 years, with unilateral hemiparesis (HP), or weakness on one side of the body from varying [...] Read more.
Background/Objectives: This quasi-experimental study examined the effectiveness of an intensive, group-based pediatric constraint-induced movement therapy (pCIMT) program for young children. Methods: Thirty-five children aged 21 months to 6 years, with unilateral hemiparesis (HP), or weakness on one side of the body from varying etiologies, participated in a 4-week intensive, interprofessional, theme- and group-based pCIMT clinic program in the Midwest, United States. The program ran for 4 weeks with 3 h of therapy per day, 5 days per week with 3 weeks of 24 h casting for the unaffected arm, followed by 1 week of bimanual focus. Outcome measures included the Quality Upper Extremity Skills Test (QUEST), Assisting Hand Assessment (AHA), Canadian Occupational Performance Measure (COPM), and Pediatric Evaluation of Disability Inventory (PEDI). Results: The participants statistically significantly improved the unilateral function of the HP arm in four of five QUEST variables (p < 0.009), bimanual coordination as measured by the AHA (p < 0.001), and some areas of occupational performance as measured by the COPM (p < 0.001) and PEDI (p < 0.05). Conclusions: This study revealed the intensive, group-based pCIMT clinic model was effective and feasible to implement with the support from various stakeholders. Full article
(This article belongs to the Section Chronic Care)
Show Figures

Figure 1

17 pages, 2019 KB  
Article
A Training Program Using Modified Joystick-Operated Ride-on Toys to Complement Conventional Upper Extremity Rehabilitation in Children with Cerebral Palsy: Results from a Pilot Study
by Sudha Srinivasan, Patrick Kumavor and Kristin Morgan
Bioengineering 2024, 11(4), 304; https://doi.org/10.3390/bioengineering11040304 - 23 Mar 2024
Cited by 4 | Viewed by 2435
Abstract
The pilot study assessed the utility of a training program using modified, commercially available dual-joystick-operated ride-on toys to promote unimanual and bimanual upper extremity (UE) function in children with cerebral palsy (CP). The ride-on-toy training was integrated within a 3-week, intensive, task-oriented training [...] Read more.
The pilot study assessed the utility of a training program using modified, commercially available dual-joystick-operated ride-on toys to promote unimanual and bimanual upper extremity (UE) function in children with cerebral palsy (CP). The ride-on-toy training was integrated within a 3-week, intensive, task-oriented training camp for children with CP. Eleven children with hemiplegia between 4 and 10 years received the ride-on-toy training program 20–30 min/day, 5 days/week for 3 weeks. Unimanual motor function was assessed using the Quality of Upper Extremity Skills Test (QUEST) before and after the camp. During ride-on-toy training sessions, children wore activity monitors on both wrists to assess the duration and intensity of bimanual UE activity. Video data from early and late sessions were coded for bimanual UE use, independent navigation, and movement bouts. Children improved their total and subscale QUEST scores from pretest to post-test while increasing moderate activity in their affected UE from early to late sessions, demonstrating more equal use of both UEs across sessions. There were no significant changes in the rates of movement bouts from early to late sessions. We can conclude that joystick-operated ride-on toys function as child-friendly, intrinsically rewarding tools that can complement conventional therapy and promote bimanual motor functions in children with CP. Full article
(This article belongs to the Special Issue Novel Treatment Technologies in Physical Medicine and Rehabilitation)
Show Figures

Figure 1

16 pages, 2017 KB  
Article
Bimanual Movement Characteristics and Real-World Performance Following Hand–Arm Bimanual Intensive Therapy in Children with Unilateral Cerebral Palsy
by Shailesh S. Gardas, Christine Lysaght, Amy Gross McMillan, Shailesh Kantak, John D. Willson, Charity G. Patterson and Swati M. Surkar
Behav. Sci. 2023, 13(8), 681; https://doi.org/10.3390/bs13080681 - 13 Aug 2023
Cited by 7 | Viewed by 3481
Abstract
The purpose of this study was to quantify characteristics of bimanual movement intensity during 30 h of hand–arm bimanual intensive therapy (HABIT) and bimanual performance (activities and participation) in real-world settings using accelerometers in children with unilateral cerebral palsy (UCP). Twenty-five children with [...] Read more.
The purpose of this study was to quantify characteristics of bimanual movement intensity during 30 h of hand–arm bimanual intensive therapy (HABIT) and bimanual performance (activities and participation) in real-world settings using accelerometers in children with unilateral cerebral palsy (UCP). Twenty-five children with UCP participated in a 30 h HABIT program. Data were collected from bilateral wrist-worn accelerometers during 30 h of HABIT to quantify the movement intensity and three days pre- and post-HABIT to assess real-world performance gains. Movement intensity and performance gains were measured using six standard accelerometer-derived variables. Bimanual capacity (body function and activities) was assessed using standardized hand function tests. We found that accelerometer variables increased significantly during HABIT, indicating increased bimanual symmetry and intensity. Post-HABIT, children demonstrated significant improvements in all accelerometer metrics, reflecting real-world performance gains. Children also achieved significant and clinically relevant changes in hand capacity following HABIT. Therefore, our findings suggest that accelerometers can objectively quantify bimanual movement intensity during HABIT. Moreover, HABIT enhances hand function as well as activities and participation in real-world situations in children with UCP. Full article
Show Figures

Figure 1

14 pages, 822 KB  
Article
Feasibility of a Home-Based Mirror Therapy Program in Children with Unilateral Spastic Cerebral Palsy
by Anna Ortega-Martínez, Rocío Palomo-Carrión, Carlos Varela-Ferro and Maria Caritat Bagur-Calafat
Healthcare 2023, 11(12), 1797; https://doi.org/10.3390/healthcare11121797 - 19 Jun 2023
Cited by 5 | Viewed by 6291
Abstract
Children with Unilateral Spastic Cerebral Palsy (US CP) have motor and somatosensory impairments that affect one side of their body, impacting upper limb functioning. These impairments contribute negatively to children’s bimanual performance and quality of life. Intensive home-based therapies have been developed and [...] Read more.
Children with Unilateral Spastic Cerebral Palsy (US CP) have motor and somatosensory impairments that affect one side of their body, impacting upper limb functioning. These impairments contribute negatively to children’s bimanual performance and quality of life. Intensive home-based therapies have been developed and have demonstrated their feasibility for children with US CP and their parents, especially when therapies are designed with the proper coaching of families. Mirror Therapy (MT) is being studied to become an approachable intensive and home-based therapy suitable for children with US CP. The aim of this study is to analyze the feasibility of a five-week home-based program of MT for children with US CP that includes coaching by the therapist. Six children aged 8–12 years old performed the therapy for five days per week, 30 min per day. A minimum of 80% of compliance was required. The feasibility included compliance evaluations, total dosage, perceived difficulty of the exercises, and losses of follow-ups. All children completed the therapy and were included in the analysis. The total accomplishment was 86.47 ± 7.67. The perceived difficulty of the exercises ranged from 2.37 to 4.51 out of 10. In conclusion, a home-based program of Mirror Therapy is a safe, cost-efficient, and feasible therapy for children with US CP when the therapist is involved as a coach during the entire program. Full article
(This article belongs to the Special Issue Outcome Measures and Innovative Approaches in Rehabilitation)
Show Figures

Figure 1

11 pages, 994 KB  
Article
Combining Unimanual and Bimanual Therapies for Children with Hemiparesis: Is There an Optimal Delivery Schedule?
by Ka Lai K. Au, Julie L. Knitter, Susan Morrow-McGinty, Talita C. Campos, Jason B. Carmel and Kathleen M. Friel
Behav. Sci. 2023, 13(6), 490; https://doi.org/10.3390/bs13060490 - 9 Jun 2023
Cited by 3 | Viewed by 4308
Abstract
Constraint-induced movement therapy (CIMT) and bimanual therapy (BT) are among the most effective hand therapies for children with unilateral cerebral palsy (uCP). Since they train different aspects of hand use, they likely have synergistic effects. The aim of this study was to examine [...] Read more.
Constraint-induced movement therapy (CIMT) and bimanual therapy (BT) are among the most effective hand therapies for children with unilateral cerebral palsy (uCP). Since they train different aspects of hand use, they likely have synergistic effects. The aim of this study was to examine the efficacy of different combinations of mCIMT and BT in an intensive occupational therapy program for children with uCP. Children (n = 35) participated in intensive modified CIMT (mCIMT) and BT, 6 weeks, 5 days/week, 6 h/day. During the first 2 weeks, children wore a mitt over the less-affected hand and engaged in functional and play activities with the affected hand. Starting in week 3, bimanual play and functional activities were added progressively, 1 hour/week. This intervention was compared to two different schedules of block interventions: (1) 3 weeks of mCIMT followed by 3 weeks of BT, and (2) 3 weeks of BT followed by 3 weeks of mCIMT. Hand function was tested before, after, and two months after therapy with the Assisting Hand Assessment (AHA), Pediatric Evaluation of Disability Inventory (PEDI), and Canadian Occupational Performance Measure (COPM). All three groups of children improved in functional independence (PEDI; p < 0.031), goal performance (COPM Performance; p < 0.0001) and satisfaction (COPM Satisfaction; p < 0.0001), which persisted two months post-intervention. All groups showed similar amounts of improvement, indicating that the delivery schedule for mCIMT and BT does not significantly impact the outcomes. Full article
Show Figures

Figure 1

15 pages, 1886 KB  
Article
Detecting Movement Changes in Children with Hemiparesis after Upper Limb Therapies: A Responsiveness Analysis of a 3D Bimanual Protocol
by Marine Cacioppo, Mathieu Lempereur, Laetitia Houx, Sandra Bouvier, Rodolphe Bailly and Sylvain Brochard
Sensors 2023, 23(9), 4235; https://doi.org/10.3390/s23094235 - 24 Apr 2023
Cited by 2 | Viewed by 1902
Abstract
The “Be an Airplane Pilot” (BE API) protocol was developed to evaluate upper limb (UL) kinematics in children with unilateral cerebral palsy (uCP) during bimanual tasks. The aim of this study was to investigate the responsiveness of this protocol to changes in kinematics [...] Read more.
The “Be an Airplane Pilot” (BE API) protocol was developed to evaluate upper limb (UL) kinematics in children with unilateral cerebral palsy (uCP) during bimanual tasks. The aim of this study was to investigate the responsiveness of this protocol to changes in kinematics and movement quality after UL therapies, using individual and group analyses, and to analyse the relationships between kinematic and functional changes in these children. Twenty children with uCP (5–15 years old) either participated in bimanual intensive therapy or received UL botulinum toxin injections. All the children performed the BE API protocol and functional assessments (Assisting Hand Assessment [AHA]) before and after the interventions. The individual analyses found kinematic changes in 100% of the children after therapy. The group analysis found significantly higher trunk and shoulder deviations after the intensive therapy. No significant changes were found for smoothness or trajectory straightness. The changes in the kinematic deviations were moderately correlated with the changes in the AHA scores. This study confirmed the responsiveness of the BE API protocol to change after therapy; therefore, the protocol is now fully validated and can be implemented in clinical practice. Its use should help in the accurate identification of impairments so that individualized treatments can be proposed. Full article
(This article belongs to the Section Biosensors)
Show Figures

Figure 1

14 pages, 1340 KB  
Article
The Effect of Bimanual Intensive Functional Training on Somatosensory Hand Function in Children with Unilateral Spastic Cerebral Palsy: An Observational Study
by Catherine V. M. Steinbusch, Anke Defesche, Bertie van der Leij, Eugene A. A. Rameckers, Annemarie C. S. Knijnenburg, Jeroen R. J. Vermeulen and Yvonne J. M. Janssen-Potten
J. Clin. Med. 2023, 12(4), 1595; https://doi.org/10.3390/jcm12041595 - 17 Feb 2023
Cited by 3 | Viewed by 3649
Abstract
(1) Background: Next to motor impairments, children with unilateral spastic cerebral palsy (CP) often experience sensory impairments. Intensive bimanual training is well known for improving motor abilities, though its effect on sensory impairments is less known. (2) Objective: To investigate whether bimanual intensive [...] Read more.
(1) Background: Next to motor impairments, children with unilateral spastic cerebral palsy (CP) often experience sensory impairments. Intensive bimanual training is well known for improving motor abilities, though its effect on sensory impairments is less known. (2) Objective: To investigate whether bimanual intensive functional therapy without using enriched sensory materials improves somatosensory hand function. (3) Methods: A total of twenty-four participants with CP (12–17 years of age) received 80–90 h of intensive functional training aimed at improving bimanual performance in daily life. Somatosensory hand function was measured before training, directly after training, and at six months follow-up. Outcome measures were: proprioception, measured by thumb and wrist position tasks and thumb localization tasks; vibration sensation; tactile perception; and stereognosis. (4) Results: Next to improving on their individual treatment goals, after training, participants also showed significant improvements in the perception of thumb and wrist position, vibration sensation, tactile perception, and stereognosis of the more affected hand. Improvements were retained at six months follow-up. Conversely, proprioception measured by the thumb localization tasks did not improve after training. (5) Conclusions: Intensive functional bimanual training without environmental tactile enrichment may improve the somatosensory function of the more affected hand in children with unilateral spastic CP. Full article
(This article belongs to the Special Issue Comorbidities and Complications of Cerebral Palsy)
Show Figures

Figure 1

12 pages, 1399 KB  
Article
Dual-Task-Based Music Therapy to Improve Executive Functioning of Elderly Patients with Early Stage Alzheimer’s Disease: A Multiple Case Study
by Soo Ji Kim, Jin-Kyoung Park and Myung Sun Yeo
Int. J. Environ. Res. Public Health 2022, 19(19), 11940; https://doi.org/10.3390/ijerph191911940 - 21 Sep 2022
Cited by 11 | Viewed by 6056
Abstract
Deficits in executive functioning are a common feature of Alzheimer’s disease (AD) and result from impairment in the central executive system. As a result, elderly patients with early stage AD may require interventions that are more cognitively intense than traditional interventions. To address [...] Read more.
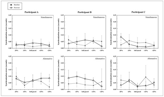
Deficits in executive functioning are a common feature of Alzheimer’s disease (AD) and result from impairment in the central executive system. As a result, elderly patients with early stage AD may require interventions that are more cognitively intense than traditional interventions. To address this need, in this multiple case study, we explored a dual-task-based music therapy intervention that involved drum playing and singing designed to induce attentional and motor controls. Three octogenarians diagnosed with early stage AD participated in 12 dual-task-based music therapy sessions over 6 weeks. Measures of executive functioning and the performance of a bimanual drum tapping task were evaluated before and after the intervention. Improvements in executive functioning were observed for participants A and C. After the intervention, reduced mean synchronization errors were found for the simultaneous tapping condition for all three participants. Although there was variability in the functional changes between participants, it is noteworthy that positive improvements in the elderly patients with early stage AD were obtained following dual-task-based music therapy. The results suggest that music therapy integrated into the dual-task paradigm can be an effective way to address degenerative cognitive deficits among elderly patients with early stage AD. Full article
(This article belongs to the Section Aging)
Show Figures

Figure 1

20 pages, 1505 KB  
Article
Application of Low-Intensity Modified Constraint-Induced Movement Therapy to Improve the Affected Upper Limb Functionality in Infantile Hemiplegia with Moderate Manual Ability: Case Series
by Rocío Palomo-Carrión, Rita-Pilar Romero-Galisteo, Elena Pinero-Pinto, Purificación López-Muñoz, Helena Romay-Barrero and Francisco García-Muro San José
Children 2020, 7(9), 127; https://doi.org/10.3390/children7090127 - 4 Sep 2020
Cited by 8 | Viewed by 6273
Abstract
Objective: To assess the functionality of the affected upper limb in children diagnosed with hemiplegia aged between 4 and 8 years after applying low-intensity modified Constraint-Induced Movement Therapy (mCIMT). Methods: Prospective case series study. A mCIMT protocol was applied for five weeks, with [...] Read more.
Objective: To assess the functionality of the affected upper limb in children diagnosed with hemiplegia aged between 4 and 8 years after applying low-intensity modified Constraint-Induced Movement Therapy (mCIMT). Methods: Prospective case series study. A mCIMT protocol was applied for five weeks, with two hours of containment per day. The study variables were quality of movement of the upper limb, spontaneous use, participation of the affected upper limb in activities of daily living, dynamic joint position, grasp–release action, grasp strength, supination and extension elbow movements. Four measurements were performed, using the quality of upper extremity test (QUEST) scale, the Shriners Hospital for Children Upper Extremity Evaluation (SHUEE) Evaluation, a hand dynamometer and a goniometer. Results: The sample was composed of eight children with moderate manual ability. Statistically significant differences were detected in all the studied variables (p < 0.05) between the pre-treatment and post–treatment results (Week 0–Week 5), except for upper limb dressing, putting on splints and buttoning up. In the first week, the changes were statistically significant, except for protective extension, grasp strength, grasp–release and all functional variables (level of functionality and participation of the patient’s upper limbs) in the SHUEE Evaluation (p > 0.05). The greatest increase occurred in spontaneous use from Assessment 1 to Assessment 4 (p = 0.01), reaching 88.87% active participation in bimanual tasks. The quality of movement of the upper limb exhibited a significant value due to the increase in dissociated movements and grasp (p = 0.01). Conclusion: A low dose (50 h) of mCIMT increased the functionality of children diagnosed with congenital hemiplegia between 4 and 8 years of age with moderate manual ability. Full article
(This article belongs to the Special Issue New Research in Children with Neurodevelopmental Disorders)
Show Figures

Figure 1

17 pages, 2096 KB  
Article
Eight Weeks of Aerobic Interval Training Improves Psychomotor Function in Patients with Parkinson’s Disease—Randomized Controlled Trial
by Jarosław Marusiak, Beth E. Fisher, Anna Jaskólska, Krzysztof Słotwiński, Sławomir Budrewicz, Magdalena Koszewicz, Katarzyna Kisiel-Sajewicz, Bartosz Kamiński and Artur Jaskólski
Int. J. Environ. Res. Public Health 2019, 16(5), 880; https://doi.org/10.3390/ijerph16050880 - 11 Mar 2019
Cited by 47 | Viewed by 10291
Abstract
Background: This study examined the generalized effects of cycle ergometer aerobic interval training (AIT) on psychomotor behaviors in individuals with Parkinson’s disease (PD), including bimanual motor control, cognitive function, and neurological motor and non-motor parkinsonian signs. Methods: Twenty mild to moderate PD patients [...] Read more.
Background: This study examined the generalized effects of cycle ergometer aerobic interval training (AIT) on psychomotor behaviors in individuals with Parkinson’s disease (PD), including bimanual motor control, cognitive function, and neurological motor and non-motor parkinsonian signs. Methods: Twenty mild to moderate PD patients were randomly allocated to the following groups: (1) trained group (PD-TR, n = 10), which besides receiving usual care, underwent an 8-week moderate intensity AIT program; or (2) control group (PD-CO, n = 10) which received usual care, including participation in conventional physical therapy. Both groups were tested before and after the 8-week AIT program period with the following assessments: (1) laboratory analyses of bimanual motor control, (2) psychological evaluation of cognitive function, and (3) an evaluation of neurological parkinsonian signs. Results: The PD-TR group exhibited improved (1) bimanual motor control, reflected by a decreased time (p = 0.013) and increased rate of grip force development (p = 0.013) in the manipulating hand and a decreased time delay between grip force initiation in the manipulating and stabilizing hand (p = 0.020); (2) executive function, reflected by decreased performance time in part II of the Stroop Test (p = 0.007); and (3) neurological parkinsonian signs, reflected by an amelioration of upper-extremity bradykinesia (p = 0.015) and improvement in daily life manual functions (p = 0.004), mood, and intellectual function (p = 0.005). Conclusions: Following an 8-week moderate intensity AIT program, patients with PD exhibited improved psychomotor behaviors, reflected by bimanual motor control, executive function, and neurological parkinsonian signs. Full article
Show Figures

Figure 1

Back to TopTop