Sign in to use this feature.

Years

Between: -

Subjects

remove_circle_outline
remove_circle_outline
remove_circle_outline
remove_circle_outline
remove_circle_outline
remove_circle_outline

Journals

Article Types

Countries / Regions

Search Results (15)

Search Parameters:
Keywords = bilobectomy

Order results
Result details
Results per page
Select all
Export citation of selected articles as:
17 pages, 574 KB  
Article
Early Postoperative C-Reactive Protein Trajectories After Thoracic Surgery: A Retrospective Cohort Study
by Ilker Kolbas, Berivan Karatekin, Esra Ergun Alış and Irfan Cicin
Biomedicines 2025, 13(10), 2532; https://doi.org/10.3390/biomedicines13102532 - 17 Oct 2025
Viewed by 616
Abstract
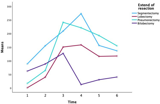
Background: Distinguishing expected postoperative inflammation from early infection remains challenging after thoracic surgery; serial C-reactive protein (CRP) is widely used to aid this differentiation. Methods: We conducted a single-centre retrospective cohort study of adults undergoing thoracic surgery (1 January 2022–31 December 2024). CRP [...] Read more.
Background: Distinguishing expected postoperative inflammation from early infection remains challenging after thoracic surgery; serial C-reactive protein (CRP) is widely used to aid this differentiation. Methods: We conducted a single-centre retrospective cohort study of adults undergoing thoracic surgery (1 January 2022–31 December 2024). CRP was measured preoperatively and on postoperative days (POD) 1–5; trajectories were compared by surgical approach and extent of resection using repeated-measures ANOVA with Greenhouse–Geisser correction (α = 0.05). Results: Among 144 patients (VATS n = 79; open thoracotomy n = 65; extent: segmentectomy n = 25, lobectomy n = 96, bilobectomy n = 9, pneumonectomy n = 14), overall CRP rose from 26.6 ± 45.0 mg/L preoperatively to a POD2 peak of 200.9 ± 72.7 mg/L, then declined to 118.1 ± 70.7 mg/L by POD5. Thoracotomy showed higher peaks than VATS (POD2 216.1 ± 76.0 vs. 152.3 ± 29.9 mg/L; POD3 206.7 ± 88.7 vs. 159.8 ± 72.4 mg/L), but time × approach was not statistically significant (F = 1.042, p = 0.381; partial η2 = 0.115). The extent analysis showed the highest peaks with pneumonectomy (POD2 273.7 ± 46.3 mg/L) compared with bilobectomy (155.7 ± 11.0 mg/L) and lobectomy (VATS 132.1 ± 3.7, open 196.8 ± 85.3 mg/L); time × extent was not significant (F = 1.136, p = 0.384; partial η2 = 0.299). The overall effect of time did not reach significance (F = 1.127, p = 0.352; partial η2 = 0.124), reflecting variability. Patients with clinically diagnosed infections exhibited more prolonged CRP elevation, often >100 mg/L beyond POD4, whereas uncomplicated cases declined after the POD2 peak; these trends did not achieve statistical significance in this cohort. Conclusions: Early postoperative CRP in thoracic surgery typically peaks at 48–72 h and then falls. Higher peaks with open surgery and more extensive resection were observed but not statistically confirmed; persistence > 100 mg/L after POD3–4 may flag complications. Prospective studies are needed to validate thresholds and refine CRP-based surveillance pathways. Full article
(This article belongs to the Special Issue Multisystem Crosstalk in Health and Disease)
Show Figures

Figure 1

12 pages, 720 KB  
Article
Safety and Feasibility of Wedge Resection in Lung Cancer Patients with Pre-Existing Interstitial Lung Disease: Real-World Data from Multicenter, Shizuoka Registry
by Keigo Sekihara, Kensuke Takei, Koshi Homma, Motohisa Shibata and Kazuhito Funai
J. Clin. Med. 2025, 14(16), 5724; https://doi.org/10.3390/jcm14165724 - 13 Aug 2025
Viewed by 662
Abstract
Background/Objectives: Acute exacerbation of interstitial lung disease (AE-ILD) is a life-threatening complication in lung cancer patients with pre-existing ILD. Anatomical resection is recognized as a significant risk factor for AE-ILD. We investigated the safety and feasibility of wedge resection in lung cancer patients [...] Read more.
Background/Objectives: Acute exacerbation of interstitial lung disease (AE-ILD) is a life-threatening complication in lung cancer patients with pre-existing ILD. Anatomical resection is recognized as a significant risk factor for AE-ILD. We investigated the safety and feasibility of wedge resection in lung cancer patients with ILD. Methods: This retrospective study analyzed clinical stage IA–IIIA primary lung cancer patients with ILD, as recorded in the Shizuoka Registry across eight institutions from January 2019 to May 2023. Patients were categorized into a wedge resection group (WG) and an anatomical resection group (AG), which included segmentectomy, lobectomy, and bilobectomy. Perioperative outcomes were compared between the groups. Results: The WG comprised 36 patients, while the AG included 81. The WG had significantly older patients (77 vs. 72 years, p < 0.01) and smaller tumors (18 vs. 24 mm, p < 0.01). Wedge resection was associated with shorter operative time (100 vs. 205 min, p < 0.01) and less blood loss (5 vs. 30 mL, p = 0.02). The incidence of postoperative complications did not differ significantly (p = 0.84). AE-ILD occurred in three patients (8%) in the WG and four patients (4%) in the AG. Perioperative mortality was 0% in the WG and 2% in the AG; both deaths were due to AE-ILD. Marginal recurrence was observed in four patients (11%) in the WG. Conclusions: Although AE-ILD incidence was higher, no deaths due to IP-AE were observed in the WG. While wedge resection cannot completely prevent postoperative AE-ILD, it may reduce perioperative mortality in lung cancer patients with ILD. Full article
(This article belongs to the Section Respiratory Medicine)
Show Figures

Figure 1

11 pages, 207 KB  
Article
Long-Term Quality of Life After Surgical Resection for Non-Small Cell Lung Cancer: The Role of Sublobar Resection
by Ana María Gómez-Martínez, Alba Santo Tomás, Joaquín Calatayud, Pedro de la Calle, Elena Fernández, Carlos Alfredo Fraile, Florentino Hernando, Jose Ramón Jarabo and Luis Alfonso Arráez-Aybar
Sci 2025, 7(2), 83; https://doi.org/10.3390/sci7020083 - 9 Jun 2025
Viewed by 1212
Abstract
Introduction: Surgical resection is the most effective therapy for patients with early non-small cell lung cancer (NSCLC). Impact on quality of life (QoL) includes a period until return to work, perioperative complications and development of physical sequelae. Lobectomy is the standard procedure. However, [...] Read more.
Introduction: Surgical resection is the most effective therapy for patients with early non-small cell lung cancer (NSCLC). Impact on quality of life (QoL) includes a period until return to work, perioperative complications and development of physical sequelae. Lobectomy is the standard procedure. However, sublobar resections have shown similar oncological outcomes preserving healthy parenchyma. We analyze if sublobar resection is associated wiht less deterioration of QoL. Methods: We performed a retrospective analysis of patients undergoing surgical resection for NSCLC between 2017 and 2019. Cases were classified according to type of resection (sublobar vs lobectomies, bilobectomies and pneumonectomies). A survey with questions related to outcomes and QoL and occupational issues was performed. Results: A total of 169 answered the survey and were followed for 36 months. Segmentectomy was performed in 69 patients (40.9%). Lobectomy was the main type of resection (56.2%). Fatigue during walking was less common in patients undergoing sublobar resections (55.1% vs 72.7%; p = 0.02). No other differences were detected in temrs of QoL between both groups. Changes in familiar relationship after surgery were higher in patients under 70 years old. Most patients had not resume their work activities at the time of consultation. Conclusion: Feeling of fatigue while walking was lower in patients undergoing sublobar resections. Changes in familiar relationship were higher in younger patients. QoL was similar in both groups. Full article
(This article belongs to the Special Issue Feature Papers—Multidisciplinary Sciences 2024)
14 pages, 1110 KB  
Article
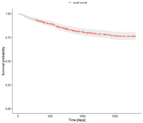
Ten-Year Observational Study of Patients with Lung Adenocarcinoma: Clinical Outcomes, Prognostic Factors, and Five-Year Survival Rates
by Paweł Ziora, Hanna Skiba, Paweł Kiczmer, Natalia Zaboklicka, Julia Wypyszyńska, Maria Stachura, Zuzanna Sito, Mateusz Rydel, Damian Czyżewski and Bogna Drozdzowska
J. Clin. Med. 2025, 14(8), 2552; https://doi.org/10.3390/jcm14082552 - 8 Apr 2025
Cited by 1 | Viewed by 2766
Abstract
Background/Objectives: Lung carcinoma is the leading cause of cancer-related deaths globally, with lung adenocarcinoma being the most prevalent subtype. This study aims to review the clinical data and survival outcomes of patients diagnosed with lung adenocarcinoma who underwent surgical treatment. Methods: We retrospectively [...] Read more.
Background/Objectives: Lung carcinoma is the leading cause of cancer-related deaths globally, with lung adenocarcinoma being the most prevalent subtype. This study aims to review the clinical data and survival outcomes of patients diagnosed with lung adenocarcinoma who underwent surgical treatment. Methods: We retrospectively analyzed 471 patients (mean age 65.9 ± 7.81 years, range 38–86; 53.5% women) with histopathologically confirmed lung adenocarcinoma who underwent a lobectomy, bilobectomy, or pneumonectomy between May 2012 and December 2022. All patients were followed for up to five years post-surgery. Their medical histories, including previous neoplasms, comorbidities, tumor characteristics, and symptoms, were thoroughly reviewed. We calculated the overall survival rate and evaluated the impact of tumor grading and spread through air spaces (STAS) on patient outcomes. Results: The survival rate for the entire cohort was 76.23%. No significant survival differences emerged between G1 and G2 tumors, whereas both showed markedly better survival rates than G3 tumors. When these findings were applied to a simplified two-tier grading system (low grade vs. high grade), survival analyses showed a clear stratification of prognosis. Patients with STAS had a lower survival rate than those without STAS. Conclusions: Our findings indicate that a simplified grading system may improve prognostic evaluations for lung adenocarcinoma patients. Furthermore, STAS is a crucial factor affecting survival rates and should be considered in future treatment strategies. Expanding research in this area is essential to enhance treatment approaches for lung adenocarcinoma patients. Full article
(This article belongs to the Section Respiratory Medicine)
Show Figures

Figure 1

13 pages, 1434 KB  
Article
Does the Performance of a Six-Minute Walking Test Predict Cardiopulmonary Complications After Uniportal Video-Assisted Thoracic Surgery Anatomic Lung Resection?
by Michele Salati, Marco Andolfi, Alberto Roncon, Gian Marco Guiducci, Francesco Xiumè, Michela Tiberi, Anna Chiara Nanto, Sara Cingolani, Eleonora Ricci and Majed Refai
Cancers 2025, 17(1), 32; https://doi.org/10.3390/cancers17010032 - 26 Dec 2024
Viewed by 1752
Abstract
Objectives: The purpose of the present study was to verify if performance in the 6-min walking test (6MWT) during the preoperative evaluation phase is associated with the development of cardiopulmonary postoperative complications in patients who underwent uniportal VATS (U-VATS) for lung cancer. Methods: [...] Read more.
Objectives: The purpose of the present study was to verify if performance in the 6-min walking test (6MWT) during the preoperative evaluation phase is associated with the development of cardiopulmonary postoperative complications in patients who underwent uniportal VATS (U-VATS) for lung cancer. Methods: This retrospective, monocentric study included patients submitted to U-VATS anatomical lung resections (March 2022–December 2023). The patients were enrolled in a preoperative rehabilitation program carried out 15 days before surgery. The 6MWT was performed at counseling (T0) and after pre-habilitation (T1). Univariate analysis followed by logistic regression verified the association of baseline patients’ characteristics and performance in the 6MWT (meters walked during T0 and T1 and the difference between T1 and T0—T1-T0 variation) with postoperative cardiopulmonary complications (CPCs). Youde’s index was used to establish the optimal cut-offs for ergometric parameters significantly correlated with CPCs. Results: We enrolled 212 patients scheduled to undergo U-VATS lung resection (lobectomies: 177; bilobectomies: 2; segmentectomies: 33). Twenty-three (10.8%) patients developed CPCs. None of the baseline patients’ characteristics were associated with CPCs. Complicated patients showed more significant differences compared to non-complicated ones for meters walked during the 6MWT T1 (6MWT-T1-complicated: 450 vs. 6MWT-T1-non-complicated: 517; p: 0.01) and for variation-T1-T0 (variation-T1-T0-complicated: 4 m vs. variation-T1-T0-non-complicated: 20 m; p: 0.02). The best cut-offs for discriminating between patients with CPCs and those with uneventful courses were 458 m for 6MWT-T1 and 31 m for variation-T1-T0. After multivariate analysis, 6MWT-T1 < 458 m and variation-T1-T0 < 31 m were the unique parameters independently correlated with CPCs (p: 0.03 and p: 0.05, respectively). Conclusions: The 6MWT results (in particular, 6MWT-T1 < 458 m and variation-T1-T0 < 31 m) in the context of a pre-habilitation program are associated with the development of CPCs after U-VATS lung resection. Full article
(This article belongs to the Collection Diagnosis and Treatment of Primary and Secondary Lung Cancers)
Show Figures

Figure 1

14 pages, 899 KB  
Article
Lung Metastasectomy: Where Do We Stand? Results from an Italian Multicentric Prospective Database
by Marcello Carlo Ambrogi, Vittorio Aprile, Stefano Sanna, Sergio Nicola Forti Parri, Giovanna Rizzardi, Olivia Fanucchi, Leonardo Valentini, Alberto Italiani, Riccardo Morganti, Carlotta Francesca Cartia, James M. Hughes, Marco Lucchi and Andrea Droghetti
J. Clin. Med. 2024, 13(11), 3106; https://doi.org/10.3390/jcm13113106 - 25 May 2024
Cited by 4 | Viewed by 1745
Abstract
Background/Objectives: The surgical resection of pulmonary metastases is considered a therapeutic option in selected cases. In light of this, we present the results from a national multicenter prospective registry of lung metastasectomy. Methods: This retrospective analysis involves data collected prospectively and [...] Read more.
Background/Objectives: The surgical resection of pulmonary metastases is considered a therapeutic option in selected cases. In light of this, we present the results from a national multicenter prospective registry of lung metastasectomy. Methods: This retrospective analysis involves data collected prospectively and consecutively in a national multicentric Italian database, including patients who underwent lung metastasectomy. The primary endpoints were the analysis of morbidity and overall survival (OS), with secondary endpoints focusing on the analysis of potential risk factors affecting both morbidity and OS. Results: A total 470 lung procedures were performed (4 pneumonectomies, 46 lobectomies/bilobectomies, 13 segmentectomies and 407 wedge resections) on 461 patients (258 men and 203 women, mean age of 63.1 years). The majority of patients had metastases from colorectal cancer (45.8%). In most cases (63.6%), patients had only one lung metastasis. A minimally invasive approach was chosen in 143 cases (30.4%). The mean operative time was 118 min, with no reported deaths. Morbidity most frequently consisted of prolonged air leaking and bleeding, but no re-intervention was required. Statistical analysis revealed that morbidity was significantly affected by operative time and pulmonary comorbidities, while OS was significantly affected by disease-free interval (DFI) > 24 months (p = 0.005), epithelial histology (p = 0.001) and colorectal histology (p = 0.004) during univariate analysis. No significant correlation was found between OS and age, gender, surgical approach, surgical extent, surgical device, the number of resected metastases, lesion diameter, the site of lesions and nodal involvement. Multivariate analysis of OS confirmed that only epithelial histology and DFI were risk-factors, with p-values of 0.041 and 0.031, respectively. Conclusions: Lung metastasectomy appears to be a safe procedure, with acceptable morbidity, even with a minimally invasive approach. However, it remains a local treatment of a systemic disease. Therefore, careful attention should be paid to selecting patients who could truly benefit from surgical intervention. Full article
(This article belongs to the Section Oncology)
Show Figures

Figure 1

15 pages, 5194 KB  
Article
The Nine-Year Survival of Patients Operated for Non-Small-Cell Lung Carcinoma in a Tertiary Centre: The Impact of the Tumour Stage and Other Patient-Related Parameters
by Silviu Vlăsceanu, Beatrice Mahler, Angela Ștefania Marghescu, Ioana Anca Bădărău, Horațiu Moldovan, Daniela Gheorghiță, Mariana Costache and Cornel Savu
Medicina 2024, 60(3), 415; https://doi.org/10.3390/medicina60030415 - 28 Feb 2024
Cited by 3 | Viewed by 1973
Abstract
Background and Objectives: The mainstay treatment of non-small-cell lung carcinoma is still surgery, but its impact on survival beyond nine years has never been reported/analysed in Romania. Therefore, we studied the clinical characteristics and the short- and long-term survival of a population of [...] Read more.
Background and Objectives: The mainstay treatment of non-small-cell lung carcinoma is still surgery, but its impact on survival beyond nine years has never been reported/analysed in Romania. Therefore, we studied the clinical characteristics and the short- and long-term survival of a population of 1369 patients diagnosed and treated in a single institution, with the variables included in the database being collected retrospectively. Materials and Methods: In this paper, we aimed to study a number of factors that might influence prognosis and survival in non-small bronchopulmonary carcinoma. Consequently, we analysed a series of parameters such as the age of patients, their sex, the histopathological type, the tumour stage, the presence of bronchial invasion, and the completeness of surgical resection. Results: All patients underwent major lung resection for curative purposes (pneumonectomy, lobectomy, or bilobectomy) between January 2015 and January 2023. The vital status of patients included in the study was obtained by checking the DGEP (General Directorate for Persons Record) database and verifying the reporting of “non-deceased” by the hospital administrative database, as well as by telephone interviews (with patients or their relatives). On univariate analysis, predictors of worse survival were the following: male sex (the hazard of death was 1.54 times higher in men); pT (compared to pT1 tumours, pT2 tumours have a 1.60 times higher hazard of death, pT3 tumours have a 2.16 times higher hazard, and pT4 tumours have a 2.97 times higher hazard); maximum tumour size (a 10 mm increase in tumour size is associated with a 10% increase in the hazard of death); the degree of differentiation (compared to patients with G1 tumours, those with G3 tumours have a 2.16 times higher hazard of death); resectability (compared to R0, R1 B+ has a 1.84 times higher hazard of death, R1 V+ has a 1.82 times higher hazard of death, and R1 B+&V+ has a 2.40 times higher hazard of death). Conclusions: As a result, long-term survival can be achieved after complete surgery for NSCLC, and factors that classically predict overall survival suggest that both the initial tumour aggressiveness and host characteristics act beyond the period usually considered in oncology. Full article
Show Figures

Figure 1

11 pages, 1333 KB  
Case Report
Platypnea-Orthodeoxia Syndrome Manifesting as an Early Complication after Lower Bilobectomy
by Carmelina C. Zirafa, Alessandra Lenzini, Paolo Spontoni, Claudia Cariello, Luca Doroni, Adrea Pieroni, Anna S. Petronio and Franca Melfi
Surgeries 2023, 4(2), 164-174; https://doi.org/10.3390/surgeries4020018 - 18 Apr 2023
Cited by 1 | Viewed by 2259
Abstract
Platypnea-orthodeoxia syndrome (POS) is an uncommon clinical condition characterized by orthostatic dyspnea and hypoxemia. The case of a female patient who manifested postoperative episodes of sudden oxygen desaturation, dyspnea, and systemic arterial hypotension following lower bilobectomy for lung adenocarcinoma was reported. After meticulous [...] Read more.
Platypnea-orthodeoxia syndrome (POS) is an uncommon clinical condition characterized by orthostatic dyspnea and hypoxemia. The case of a female patient who manifested postoperative episodes of sudden oxygen desaturation, dyspnea, and systemic arterial hypotension following lower bilobectomy for lung adenocarcinoma was reported. After meticulous clinical investigations, the patient proved to be affected by a rare form of postural dyspnea: platypnea-orthodeoxia syndrome, a clinical disorder described in the middle of the last century. The pathophysiology was found in an intracardiac mechanism of right-to-left blood shunt, combined with lung and chest wall modification. Atrial septal defect, such as patent foramen ovale (PFO), is a common cause of platypnea-orthodeoxia syndrome; the rescue closure of PFO usually allows for an immediate and consistent improvement of the symptoms. Full article
Show Figures

Figure 1

14 pages, 1874 KB  
Article
Recurrence-Free Survival in Early and Locally Advanced Large Cell Neuroendocrine Carcinoma of the Lung after Complete Tumor Resection
by Barbara Altieri, Anna La Salvia, Roberta Modica, Francesca Marciello, Olaf Mercier, Pier Luigi Filosso, Bertrand Richard de Latour, Dario Giuffrida, Severo Campione, Gianluca Guggino, Elie Fadel, Mauro Papotti, Annamaria Colao, Jean-Yves Scoazec, Eric Baudin and Antongiulio Faggiano
J. Pers. Med. 2023, 13(2), 330; https://doi.org/10.3390/jpm13020330 - 15 Feb 2023
Cited by 7 | Viewed by 2595
Abstract
Background: Large Cell Neuroendocrine Carcinoma (LCNEC) is a rare subtype of lung cancer with poor clinical outcomes. Data on recurrence-free survival (RFS) in early and locally advanced pure LCNEC after complete resection (R0) are lacking. This study aims to evaluate clinical outcomes in [...] Read more.
Background: Large Cell Neuroendocrine Carcinoma (LCNEC) is a rare subtype of lung cancer with poor clinical outcomes. Data on recurrence-free survival (RFS) in early and locally advanced pure LCNEC after complete resection (R0) are lacking. This study aims to evaluate clinical outcomes in this subgroup of patients and to identify potential prognostic markers. Methods: Retrospective multicenter study including patients with pure LCNEC stage I-III and R0 resection. Clinicopathological characteristics, RFS, and disease-specific survival (DSS) were evaluated. Univariate and multivariate analyses were performed. Results: 39 patients (M:F = 26:13), with a median age of 64 years (44–83), were included. Lobectomy (69.2%), bilobectomy (5.1%), pneumonectomy (18%), and wedge resection (7.7%) were performed mostly associated with lymphadenectomy. Adjuvant therapy included platinum-based chemotherapy and/or radiotherapy in 58.9% of cases. After a median follow-up of 44 (4–169) months, the median RFS was 39 months with 1-, 2- and 5-year RFS rates of 60.0%, 54.6%, and 44.9%, respectively. Median DSS was 72 months with a 1-, 2- and 5-year rate of 86.8, 75.9, and 57.4%, respectively. At multivariate analysis, age (cut-off 65 years old) and pN status were independent prognostic factors for both RFS (HR = 4.19, 95%CI = 1.46–12.07, p = 0.008 and HR = 13.56, 95%CI 2.45–74.89, p = 0.003, respectively) and DSS (HR = 9.30, 95%CI 2.23–38.83, p = 0.002 and HR = 11.88, 95%CI 2.28–61.84, p = 0.003, respectively). Conclusion: After R0 resection of LCNEC, half of the patients recurred mostly within the first two years of follow-up. Age and lymph node metastasis could help to stratify patients for adjuvant therapy. Full article
(This article belongs to the Special Issue Innovative Approaches in Lung Cancer Treatment)
Show Figures

Figure 1

13 pages, 4978 KB  
Article
Rescue Surgery after Immunotherapy/Tyrosine Kinase Inhibitors for Initially Unresectable Lung Cancer
by Domenico Galetta, Filippo De Marinis and Lorenzo Spaggiari
Cancers 2022, 14(11), 2661; https://doi.org/10.3390/cancers14112661 - 27 May 2022
Cited by 12 | Viewed by 2890
Abstract
Background: We report the outcomes for unresectable patients with locally advanced or oligometastatic non-small cell lung cancer (NSCLC) treated with tyrosine kinase inhibitor (TKI) or immunotherapy who achieved a clinical downstaging so as to re-enter resectability. Methods: We retrospectively reviewed the clinical, surgical, [...] Read more.
Background: We report the outcomes for unresectable patients with locally advanced or oligometastatic non-small cell lung cancer (NSCLC) treated with tyrosine kinase inhibitor (TKI) or immunotherapy who achieved a clinical downstaging so as to re-enter resectability. Methods: We retrospectively reviewed the clinical, surgical, and pathological data of 42 patients with histologically proven, inoperable NSCLC who received rescue surgery after a good response to TKI or immunotherapy between March 2014 and December 2021. Results: Of 42 patients, 39 underwent pulmonary resection with therapeutic intent (three explorative thoracotomies). There were 26 males, with a median age of 64 years (range, 41–78 years). Twenty-three patients received TKIs and 19 immunotherapies. Anatomic resection was performed in 97.4% of resected patients (38/39) including 30 lobectomies, one right upper sleeve lobectomy, five pneumonectomies, one tracheal sleeve pneumonectomy, and one bilobectomy; a patient underwent wedge resection. Of 10 procedures attempted via a robotic approach, two required conversion to thoracotomy. No intraoperative morbidity/mortality occurred. The median operative time was 190 (range, 80–426) minutes; estimated blood loss was 200 mL (range, 35–780 mL). Morbidity occurred in 13/39 (33.3%). The median length of hospital stay was 6.5 days (range, 4–23 days). Pathologic downstaging was 74.4% (29/39). With a median follow-up of 28.7 months, the 5-year disease-free interval was 46.5%, and the 5-year overall survival was 66.0%; 32/39 patients (82.1%) are alive, 10 with the disease. Conclusions: Lung resection for suspected residual disease after immunotherapy or TKIs is feasible, with encouraging pathological downstaging. Surgical operation may be technically challenging due to the presence of fibrosis, but significant morbidity appears to be rare. Outcomes are encouraging, with reasonable survival during the short-interval follow-up. Full article
(This article belongs to the Special Issue Advances in Lung Cancer Therapy)
Show Figures

Figure 1

12 pages, 820 KB  
Article
Characteristics and Treatment Outcomes of Patients with Tuberculosis Receiving Adjunctive Surgery in Uzbekistan
by Anvar Riskiyev, Ana Ciobanu, Arax Hovhannesyan, Kristina Akopyan, Jamshid Gadoev and Nargiza Parpieva
Int. J. Environ. Res. Public Health 2021, 18(12), 6541; https://doi.org/10.3390/ijerph18126541 - 17 Jun 2021
Cited by 5 | Viewed by 2824
Abstract
Surgical interventions are performed as an adjunct to pharmacological treatment in Uzbekistan in 10–12% of diagnosed tuberculosis (TB) patients. In this study among patients with respiratory TB who had surgical interventions in Republican Specialized Scientific-Practical Medical Centre of Phthisiology and Pulmonology of Uzbekistan [...] Read more.
Surgical interventions are performed as an adjunct to pharmacological treatment in Uzbekistan in 10–12% of diagnosed tuberculosis (TB) patients. In this study among patients with respiratory TB who had surgical interventions in Republican Specialized Scientific-Practical Medical Centre of Phthisiology and Pulmonology of Uzbekistan (RSSPMCPP) from January to May 2017, we describe (i) reasons and types of surgical intervention, (ii) post-surgical complications, (iii) histological diagnosis before and after surgery, and (iv) treatment outcomes. There were 101 patients included in the analysis (mean age 36 years; 51% male; 71% lived in rural areas). The main indications for surgical intervention included pulmonary tuberculoma (40%), fibrocavitary, or cavernous pulmonary TB (23%) and massive hemoptysis (20%). Pulmonary resections were the most frequent surgical procedures: segmentectomy (41%), lobectomy or bilobectomy (19%), and combined resection (17%). Ten patients (9%) suffered post-surgery complications. According to histological examination after surgery, TB was confirmed in 81 (80%) patients. For the other 20 patients, the confirmed diagnoses were: lung cancer (n = 6), echinococcosis (n = 5), post-TB fibrosis (n = 5), non-tuberculous pleurisy (n = 2), hamartoma (n = 1), and pneumonia (n = 1). The majority of patients (94%), who underwent surgery, were considered successfully treated. In conclusion, adjunctive surgical therapy can be an option for TB treatment, especially in cases of complicated TB. Full article
Show Figures

Figure 1

14 pages, 937 KB  
Article
Prognostic Factors and Long-Term Survival in Locally Advanced NSCLC with Pathological Complete Response after Surgical Resection Following Neoadjuvant Therapy
by Filippo Lococo, Carolina Sassorossi, Dania Nachira, Marco Chiappetta, Leonardo Petracca Ciavarella, Emanuele Vita, Luca Boldrini, Jessica Evangelista, Alfredo Cesario, Emilio Bria and Stefano Margaritora
Cancers 2020, 12(12), 3572; https://doi.org/10.3390/cancers12123572 - 30 Nov 2020
Cited by 12 | Viewed by 2572
Abstract
Background: Outcomes for locally advanced NSCLC with pathological complete response (pCR), i.e., pT0N0 after induction chemoradiotherapy (IT), have been seldom investigated. Herein, long-term results, in this highly selected group of patients, have been evaluated with the aim to identify prognostic predictive factors. Methods: [...] Read more.
Background: Outcomes for locally advanced NSCLC with pathological complete response (pCR), i.e., pT0N0 after induction chemoradiotherapy (IT), have been seldom investigated. Herein, long-term results, in this highly selected group of patients, have been evaluated with the aim to identify prognostic predictive factors. Methods: Patients affected by locally advanced NSCLC (cT1-T4/N0-2/M0) who underwent IT, possibly following surgery, from January 1992 to December 2019, were considered for this retrospective analysis. Survival rates and prognostic factors have been studied with Kaplan-Meier analysis, log-rank and Cox regression analysis. Results: Three-hundred and forty-three consecutive patients underwent IT in the considered period. Out of them, 279 were addressed to surgery; among them, pCR has been observed in 62 patients (18% of the total and 22% of the operated patients). In the pCR-group, clinical staging was IIb in 3 (5%) patients, IIIa in 28 (45%) patients and IIIb in 31 (50%). Surgery consisted of (bi)lobectomy in the majority of cases (80.7%), followed by pneumonectomy (19.3%). Adjuvant therapy was administered in 33 (53.2%) patients. Five-year overall survival and disease-free survival have been respectively 56.18% and 48.84%. The relative risk of death, observed with the Cox regression analysis, was 4.4 times higher (95% confidence interval (CI): 1.632–11.695, p = 0.03) for patients with N2 multi-station disease, 2.6 times higher (95% CI: 1.066–6.407, p = 0.036) for patients treated with pneumonectomy and 3 times higher (95% CI: 1.302–6.809, p = 0.01) for patients who did not receive adjuvant therapy. Conclusions: Rewarding long-term results could be expected in locally advanced NSCLC patients with pCR after IT followed by surgery. Baseline N2 single-station disease and adjuvant therapy after surgery seem to be associated with better prognosis, while pneumonectomy is associated with poorer outcomes. Full article
(This article belongs to the Special Issue Thoracic Cancers)
Show Figures

Figure 1

7 pages, 429 KB  
Article
Desaturation during Six-Minute Walk Testing Predicts Major Morbidity Following Anatomic Lung Resection among Patients with COPD
by Christopher W. Towe, Katherine Wu, Alina Khil, Yaron Perry, Stephanie G. Worrell, Vanessa P. Ho and Philip A. Linden
Healthcare 2019, 7(1), 16; https://doi.org/10.3390/healthcare7010016 - 23 Jan 2019
Cited by 2 | Viewed by 5191
Abstract
Background: Pulmonary function testing (PFT) is commonly used to risk-stratify patients prior to lung resection. Guidelines recommend that patients with reduced lung function, due to chronic lung conditions such as Chronic Obstructive Pulmonary Disease (COPD), should receive additional physiologic testing to determine fitness [...] Read more.
Background: Pulmonary function testing (PFT) is commonly used to risk-stratify patients prior to lung resection. Guidelines recommend that patients with reduced lung function, due to chronic lung conditions such as Chronic Obstructive Pulmonary Disease (COPD), should receive additional physiologic testing to determine fitness for resection. We reviewed our experience with six-minute walk testing (SMWT) to determine the association of test results and post-operative complications. Methods: Consecutive adult patients undergoing segmentectomy, lobectomy, bilobectomy or pneumonectomy between 1 January, 2007 and 1 January, 2017 were identified in a prospectively maintained database. Patients with poor lung function, as defined by percent predicted forced expiratory volume in 1 s (FEV1) or diffusion capacity of carbon monoxide (DLCO) ≤60%, had results of SMWT extracted from their chart. Association of test result to post-operative events was performed. Results: 581 patients had anatomic lung resections with predicted post-operative FEV1 or DLCO values ≤60%, consistent with a diagnosis of COPD. Among them, 50 (8.6%) had preoperative SMWT performed. Patients who received SMWT were more likely to have a FEV1 or DLCO less than 40 percent predicted (24/50 (48.0%) vs 166/531 (31.3%), p = 0.016). Post-operatively, patients who had SMWT performed had higher rates of pneumonia, but similar rates of major morbidity. The post-exercise oxygen saturation and the amount of desaturation correlated with the occurrence of major morbidity. In multivariable regression, oxygen desaturation was an independent risk factor for the occurrence of major morbidity, and desaturation was an excellent predictor of major morbidity by receiver operating characteristic curves analsysis. Conclusions: Among patients with elevated risk, oxygen desaturation during SMWT was independently associated with the occurence of major morbidity in multivariable analysis, while pulmonary function testing was not. SMWT is an important tool for risk-stratification, and may be underutilized. Full article
(This article belongs to the Special Issue Chronic Obstructive Pulmonary Disease: Updates in Lung Health)
Show Figures

Figure 1

4 pages, 417 KB  
Case Report
Non-small Cell Lung Cancer in Patient with Visceral Total Inversion
by Michał Bielewicz, Małgorzata Wojtyś, Dominika Witkowska, Jacek Alchimowicz, Janusz Wójcik and Tomasz Grodzki
Adv. Respir. Med. 2009, 77(2), 200-204; https://doi.org/10.5603/ARM.27829 - 16 Mar 2009
Viewed by 634
Abstract
This article reports a case of non-small cell lung cancer in a 74-year-old man with visceral total inversion. The epidemiology and main anatomical differences present in this rare syndrome, as well as basic information on lung cancer, are explored. We present diagnostic procedures [...] Read more.
This article reports a case of non-small cell lung cancer in a 74-year-old man with visceral total inversion. The epidemiology and main anatomical differences present in this rare syndrome, as well as basic information on lung cancer, are explored. We present diagnostic procedures and their results and describe the surgical technique of lung cancer treatment performed in this rare case. The perioperative period and the histopathological findings are analysed. Finally, references to similar cases found in worldwide literature are discussed. Full article
8 pages, 204 KB  
Article
Analysis of the Treatment (Neoadjuvant Chemotherapy and Surgery) in IIb and IIIa Stages of Non-small Cell Lung Cancer
by Beata Ptaszek, Mariusz Chabowski, Elżbieta Wiatr, Tadeusz M. Orłowski, Renata Langfort, Iwona Bestry and Kazimierz Roszkowski-Śliż
Adv. Respir. Med. 2006, 74(2), 171-178; https://doi.org/10.5603/ARM.28047 - 10 Jun 2006
Viewed by 773
Abstract
The aims: (1) comparison ofNSCLC stages according to bronchoscopic and radiological findings with pathological outcome (mediastinoscopy), (2) efficacy of the neoadjuvant ChT by means of nodal involvement and primary tumour (downstaging), (3) influence ofChT on the surgical procedures' extension and its morbidity Material [...] Read more.
The aims: (1) comparison ofNSCLC stages according to bronchoscopic and radiological findings with pathological outcome (mediastinoscopy), (2) efficacy of the neoadjuvant ChT by means of nodal involvement and primary tumour (downstaging), (3) influence ofChT on the surgical procedures' extension and its morbidity Material and methods: I 00 consecutive patients with resectable NSCLC in stages 11B (13 pts) or IIIA (57 pts), who were qualified to neoadjuvant ChT, participated in this study (77 men and 23 women, aged 42–73). Tumour and lymph nodes (mediastinal and hilar) were measured in CT scan. Mediastinoscopy was performed in 70 pts (70%). Majority of patients (87%) received two cycles ofneoadjuvant ChT (cisplatin 80 mg/m2 iv on day 1 and vinorelbine 25 mg/m2 on day 1 and 5) administered every 21 days. After ChT 85 patients were qualified to surgery. The results: The metastases in mediastinoscopy were excluded in 32 out of 45 patients (71%), whose lymph nodes were enlarged in CT scan (radiological false positive). Metastases were confirmed in 4 out of 25 patients (16%), whose lymph nodes were normal in CT scan (radiological false negative). After ChT the regression of the disease (PR+CR) was noted in 37% of patients. Pneumonectomy was performed in 23 (27%) pts, bilobectomy in 11 (13%) pts, lobectomy in 39 (46%) pts and “extended” (sleeve) lobectomy in 12 (14%) pts. Resected material was exam­ined microscopically very exactly in patients, in whom mediastinoscopy was performed before treatment. Down­staging was confirmed in 6 out of 15 patients (40%). Conclusions: Neoadjuvant ChT was effective in 37% of patients and allowed us to perform less exten­ sive surgery in these patients. 22 (64.7%) out of 34 patients who responded to ChT underwent lobecto­ my. Only 17 (36%) out of 51 patients who did not respond to ChT had lobectomy performed. Generally, 85 pts were operated with postroperative complications in 22.3% patients and 2.3% mortality rate. Full article
Back to TopTop