Sign in to use this feature.

Years

Between: -

Subjects

remove_circle_outline
remove_circle_outline
remove_circle_outline
remove_circle_outline

Journals

Article Types

Countries / Regions

Search Results (6)

Search Parameters:
Keywords = benzophenanthridine alkaloid derivatives

Order results
Result details
Results per page
Select all
Export citation of selected articles as:
16 pages, 2713 KB  
Article
Quaternary Benzophenanthridine Alkaloids Act as Smac Mimetics and Overcome Resistance to Apoptosis
by Petra Kulíšková, Lucie Vašátková and Iva Slaninová
Int. J. Mol. Sci. 2023, 24(20), 15405; https://doi.org/10.3390/ijms242015405 - 20 Oct 2023
Cited by 2 | Viewed by 2618
Abstract
Defects in cell death signaling pathways are one of the hallmarks of cancer and can lead to resistance to conventional therapy. Natural products are promising compounds that can overcome this resistance. In the present study we studied the effect of six quaternary benzophenanthridine [...] Read more.
Defects in cell death signaling pathways are one of the hallmarks of cancer and can lead to resistance to conventional therapy. Natural products are promising compounds that can overcome this resistance. In the present study we studied the effect of six quaternary benzophenanthridine alkaloids (QBAs), sanguinarine, chelerythrine, sanguirubine, chelirubine, sanguilutine, and chelilutine, on Jurkat leukemia cells, WT, and cell death deficient lines derived from them, CASP3/7/6-/- and FADD-/-, and on solid tumor, human malignant melanoma, A375 cells. We demonstrated the ability of QBAs to overcome the resistance of these deficient cells and identified a novel mechanism for their action. Sanguinarine and sanguirubine completely and chelerythrine, sanguilutine, and chelilutine partially overcame the resistance of CASP3/7/6-/- and FADD-/- cells. By detection of cPARP, a marker of apoptosis, and pMLKL, a marker of necroptosis, we proved the ability of QBAs to induce both these cell deaths (bimodal cell death) with apoptosis preceding necroptosis. We identified the new mechanism of the cell death induction by QBAs, the downregulation of the apoptosis inhibitors cIAP1 and cIAP2, i.e., an effect similar to that of Smac mimetics. Full article
Show Figures

Figure 1

15 pages, 5933 KB  
Article
Benzophenanthridine Alkaloid Chelerythrine Elicits Necroptosis of Gastric Cancer Cells via Selective Conjugation at the Redox Hyperreactive C-Terminal Sec498 Residue of Cytosolic Selenoprotein Thioredoxin Reductase
by Minghui Liu, Shibo Sun, Yao Meng, Ling Wang, Haowen Liu, Wuyang Shi, Qiuyu Zhang, Weiping Xu, Bingbing Sun and Jianqiang Xu
Molecules 2023, 28(19), 6842; https://doi.org/10.3390/molecules28196842 - 28 Sep 2023
Cited by 16 | Viewed by 3077
Abstract
Targeting thioredoxin reductase (TXNRD) with low-weight molecules is emerging as a high-efficacy anti-cancer strategy in chemotherapy. Sanguinarine has been reported to inhibit the activity of TXNRD1, indicating that benzophenanthridine alkaloid is a fascinating chemical entity in the field of TXNRD1 inhibitors. In this [...] Read more.
Targeting thioredoxin reductase (TXNRD) with low-weight molecules is emerging as a high-efficacy anti-cancer strategy in chemotherapy. Sanguinarine has been reported to inhibit the activity of TXNRD1, indicating that benzophenanthridine alkaloid is a fascinating chemical entity in the field of TXNRD1 inhibitors. In this study, the inhibition of three benzophenanthridine alkaloids, including chelerythrine, sanguinarine, and nitidine, on recombinant TXNRD1 was investigated, and their anti-cancer mechanisms were revealed using three gastric cancer cell lines. Chelerythrine and sanguinarine are more potent inhibitors of TXNRD1 than nitidine, and the inhibitory effects take place in a dose- and time-dependent manner. Site-directed mutagenesis of TXNRD1 and in vitro inhibition analysis proved that chelerythrine or sanguinarine is primarily bound to the Sec498 residue of the enzyme, but the neighboring Cys497 and remaining N-terminal redox-active cysteines could also be modified after the conjugation of Sec498. With high similarity to sanguinarine, chelerythrine exhibited cytotoxic effects on multiple gastric cancer cell lines and suppressed the proliferation of tumor spheroids derived from NCI-N87 cells. Chelerythrine elevated cellular levels of reactive oxygen species (ROS) and induced endoplasmic reticulum (ER) stress. Moreover, the ROS induced by chelerythrine could be completely suppressed by the addition of N-acetyl-L-cysteine (NAC), and the same is true for sanguinarine. Notably, Nec-1, an RIPK1 inhibitor, rescued the chelerythrine-induced rapid cell death, indicating that chelerythrine triggers necroptosis in gastric cancer cells. Taken together, this study demonstrates that chelerythrine is a novel inhibitor of TXNRD1 by targeting Sec498 and possessing high anti-tumor properties on multiple gastric cancer cell lines by eliciting necroptosis. Full article
(This article belongs to the Section Applied Chemistry)
Show Figures

Graphical abstract

14 pages, 13305 KB  
Article
Sanguinarine Exhibits Antiviral Activity against Porcine Reproductive and Respiratory Syndrome Virus via Multisite Inhibition Mechanisms
by Qiyun Ke, Kaiqi Duan, Yan Cheng, Si Xu, Shaobo Xiao and Liurong Fang
Viruses 2023, 15(3), 688; https://doi.org/10.3390/v15030688 - 6 Mar 2023
Cited by 10 | Viewed by 3202
Abstract
Porcine reproductive and respiratory syndrome virus (PRRSV), the etiological agent of PRRS, is prevalent worldwide, causing substantial and immense economic losses to the global swine industry. While current commercial vaccines fail to efficiently control PRRS, the development of safe and effective antiviral drugs [...] Read more.
Porcine reproductive and respiratory syndrome virus (PRRSV), the etiological agent of PRRS, is prevalent worldwide, causing substantial and immense economic losses to the global swine industry. While current commercial vaccines fail to efficiently control PRRS, the development of safe and effective antiviral drugs against PRRSV is urgently required. Alkaloids are natural products with wide pharmacological and biological activities. Herein, sanguinarine, a benzophenanthridine alkaloid that occurs in many plants such as Macleaya cordata, was demonstrated as a potent antagonist of PRRSV. Sanguinarine attenuated PRRSV proliferation by targeting the internalization, replication, and release stages of the viral life cycle. Furthermore, ALB, AR, MAPK8, MAPK14, IGF1, GSK3B, PTGS2, and NOS2 were found as potential key targets related to the anti-PRRSV effect of sanguinarine as revealed by network pharmacology and molecular docking. Significantly, we demonstrated that the combination of sanguinarine with chelerythrine, another key bioactive alkaloid derived from Macleaya cordata, improved the antiviral activity. In summary, our findings reveal the promising potential of sanguinarine as a novel candidate for the development of anti-PRRSV agents. Full article
(This article belongs to the Special Issue Veterinary Virology and Disease Control in China 2023)
Show Figures

Figure 1

13 pages, 3728 KB  
Article
Fluorescence, Absorption, Chromatography and Structural Transformation of Chelerythrine and Ethoxychelerythrine in Protic Solvents: A Comparative Study
by Jinjin Cao, Yanhui Zheng, Ting Liu, Jiamiao Liu, Jinze Liu, Jing Wang, Qirui Sun, Wenhong Li and Yongju Wei
Molecules 2022, 27(15), 4693; https://doi.org/10.3390/molecules27154693 - 22 Jul 2022
Cited by 4 | Viewed by 2116
Abstract
Chelerythrine (CH) and ethoxychelerythrine (ECH) are chemical reference substances for quality control of Chinese herbal medicines, and ECH is the dihydrogen derivative of CH. In this study, their fluorescence and absorption spectra, as well as their structural changes in different protic solvents were [...] Read more.
Chelerythrine (CH) and ethoxychelerythrine (ECH) are chemical reference substances for quality control of Chinese herbal medicines, and ECH is the dihydrogen derivative of CH. In this study, their fluorescence and absorption spectra, as well as their structural changes in different protic solvents were compared. It was observed that their emission fluorescence spectra in methanol were almost the same (both emitted at 400 nm), which may be attributed to the nucleophilic and exchange reactions of CH and ECH with methanol molecules with the common product of 6-methoxy-5,6-dihydrochelerythrine (MCH). When diluted with water, MCH was converted into CH, which mainly existed in the form of positively charged CH+ under acidic and near-neutral conditions with the fluorescence emission at 550 nm. With the increase of pH value of the aqueous solution, CH+ converted to 6-hydroxy-5,6-dihydrochelerythrine (CHOH) with the fluorescence emission at 410 nm. The fluorescence quantum yields of MCH and CHOH were 0.13 and 0.15, respectively, and both the fluorescence intensities were much stronger than that of CH+. It is concluded that CH and ECH can substitute each other in the same protic solvent, which was further verified by high-performance liquid chromatography. This study will help in the investigation of structural changes of benzophenanthridine alkaloids and will provide the possibility for the mutual substitution of standard substances in relevant drug testing. Full article
Show Figures

Figure 1

20 pages, 11451 KB  
Article
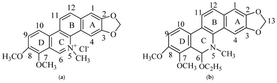
Synthesis and Antileukemia Activity Evaluation of Benzophenanthridine Alkaloid Derivatives
by Yaling Tang, Xinglian Xu, Jiang Li, Lulu Deng and Shuzhen Mu
Molecules 2022, 27(12), 3934; https://doi.org/10.3390/molecules27123934 - 19 Jun 2022
Cited by 5 | Viewed by 2839
Abstract
Thirty-three benzophenanthridine alkaloid derivatives (1a1u and 2a2l) were synthesized, and their cytotoxic activities against two leukemia cell lines (Jurkat Clone E6-1 and THP-1) were evaluated in vitro using a Cell Counting Kit-8 (CCK-8) assay. Nine of these [...] Read more.
Thirty-three benzophenanthridine alkaloid derivatives (1a1u and 2a2l) were synthesized, and their cytotoxic activities against two leukemia cell lines (Jurkat Clone E6-1 and THP-1) were evaluated in vitro using a Cell Counting Kit-8 (CCK-8) assay. Nine of these derivatives (1il, 2a, and 2il) with IC50 values in the range of 0.18–7.94 μM showed significant inhibitory effects on the proliferation of both cancer cell lines. Analysis of the primary structure–activity relationships revealed that different substituent groups at the C-6 position might have an effect on the antileukemia activity of the corresponding compounds. In addition, the groups at the C-7 and C-8 positions could influence the antileukemia activity. Among these compounds, 2j showed the strongest in vitro antiproliferative activity against Jurkat Clone E6-1 and THP-1 cells with good IC50 values (0.52 ± 0.03 μM and 0.48 ± 0.03 μM, respectively), slightly induced apoptosis, and arrested the cell-cycle, all of which suggests that compound 2j may represent a potentially useful start point to undergo further optimization toward a lead compound. Full article
Show Figures

Graphical abstract

13 pages, 7393 KB  
Article
Effects of Abiotic Elicitors on Expression and Accumulation of Three Candidate Benzophenanthridine Alkaloids in Cultured Greater Celandine Cells
by Seyed Mohammad Hashemi, Mohammad Reza Naghavi, Esmaeil Bakhshandeh, Mehdi Ghorbani, Chanditha Priyanatha and Peiman Zandi
Molecules 2021, 26(5), 1395; https://doi.org/10.3390/molecules26051395 - 5 Mar 2021
Cited by 18 | Viewed by 3763 | Correction
Abstract
Efforts to develop the necessary biotechnologies in Greater Celandine (Chelidonium majus L.), a leading plant resource for the development of plant-derived medicines, have been hampered by the lack of knowledge about transcriptome and metabolome regulations of its medicinal components. Therefore, this study [...] Read more.
Efforts to develop the necessary biotechnologies in Greater Celandine (Chelidonium majus L.), a leading plant resource for the development of plant-derived medicines, have been hampered by the lack of knowledge about transcriptome and metabolome regulations of its medicinal components. Therefore, this study aimed to examine the effect of abiotic elicitors, methyl jasmonate (MJ) and salicylic acid (SA), at different time courses (12, 24, 48, and 72 h), on expression and metabolome of key benzophenanthridine alkaloids (BPAs) in an optimized in vitro culture. Gene expression analysis indicated the upregulation of CFS (cheilanthifoline synthase) to 2.62, 4.85, and 7.28 times higher than the control at 12, 24, and 48 h respectively, under MJ elicitation. Besides, MJ upregulated the expression of TNMT (tetrahydroprotoberberine N-methyltransferase) to 2.79, 4.75, and 7.21 times at 12, 24, and 48 h respectively, compared to the control. Investigation of BPAs revealed a significant enhancement in the chelidonine content (9.86 µg/mg) after 72 h of MJ elicitation. Additionally, sanguinarine content increased to its highest level (3.42 µg/mg) after 24 h of MJ elicitation; however, no significant enhancement was detected in its content in shorter elicitation time courses. Generally, higher gene expression and BPAs’ level was observed through longer elicitation courses (48 and 72 h). Our findings take part in improving the understanding of transcription and metabolic regulation of BPAs in cultured Greater Celandine cells. Full article
Show Figures

Figure 1

Back to TopTop