Sign in to use this feature.

Years

Between: -

Subjects

remove_circle_outline
remove_circle_outline
remove_circle_outline
remove_circle_outline
remove_circle_outline

Journals

Article Types

Countries / Regions

Search Results (7)

Search Parameters:
Keywords = bearing-only target motion analysis

Order results
Result details
Results per page
Select all
Export citation of selected articles as:
26 pages, 4493 KB  
Article
Trajectory Optimization to Enhance Observability for Bearing-Only Target Localization and Sensor Bias Calibration
by Jicheng Peng, Qianshuai Wang, Bingyu Jin, Yong Zhang and Kelin Lu
Biomimetics 2024, 9(9), 510; https://doi.org/10.3390/biomimetics9090510 - 23 Aug 2024
Cited by 2 | Viewed by 1486
Abstract
This study addresses the challenge of bearing-only target localization with sensor bias contamination. To enhance the system’s observability, inspired by plant phototropism, we propose a control barrier function (CBF)-based method for UAV motion planning. The rank criterion provides only qualitative observability results. We [...] Read more.
This study addresses the challenge of bearing-only target localization with sensor bias contamination. To enhance the system’s observability, inspired by plant phototropism, we propose a control barrier function (CBF)-based method for UAV motion planning. The rank criterion provides only qualitative observability results. We employ the condition number for a quantitative analysis, identifying key influencing factors. After that, a multi-objective, nonlinear optimization problem for UAV trajectory planning is formulated and solved using the proposed Nonlinear Constrained Multi-Objective Gray Wolf Optimization Algorithm (NCMOGWOA). Simulations validate our approach, showing a threefold reduction in the condition number, significantly enhancing observability. The algorithm outperforms others in terms of localization accuracy and convergence, achieving the lowest Generational Distance (GD) (7.3442) and Inverted Generational Distance (IGD) (8.4577) metrics. Additionally, we explore the effects of the CBF attenuation rates and initial flight path angles. Full article
Show Figures

Figure 1

23 pages, 703 KB  
Article
Non-Gaussian Pseudolinear Kalman Filtering-Based Target Motion Analysis with State Constraints
by Ming Li, Xiafei Tang, Qichun Zhang and Yiqun Zou
Appl. Sci. 2022, 12(19), 9975; https://doi.org/10.3390/app12199975 - 4 Oct 2022
Cited by 2 | Viewed by 2185
Abstract
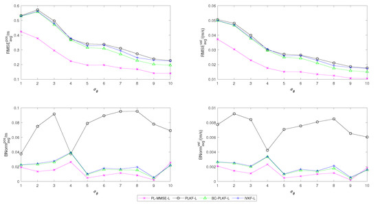
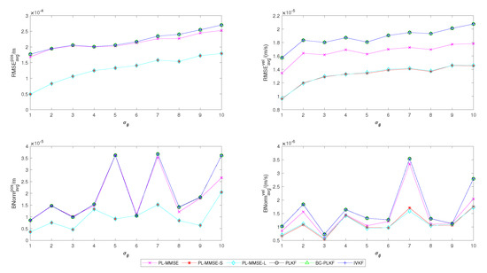
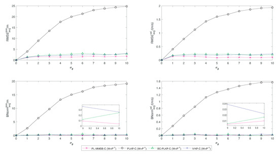
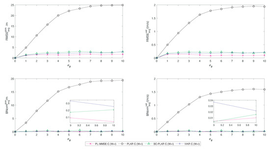
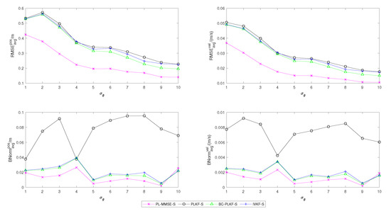
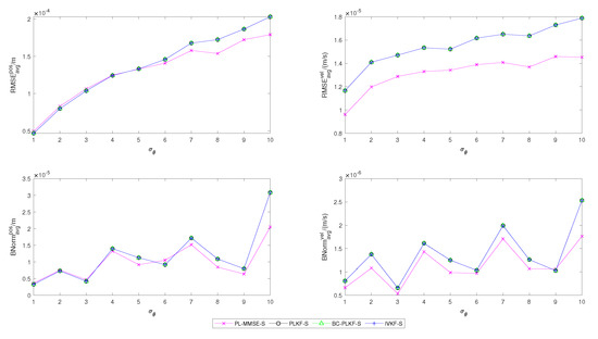
For the bearing-only target motion analysis (TMA), the pseudolinear Kalman filter (PLKF) solves the complex nonlinear estimation of the motion model parameters but suffers serious bias problems. The pseudolinear Kalman filter under the minimum mean square error framework (PL-MMSE) has a more accurate [...] Read more.
For the bearing-only target motion analysis (TMA), the pseudolinear Kalman filter (PLKF) solves the complex nonlinear estimation of the motion model parameters but suffers serious bias problems. The pseudolinear Kalman filter under the minimum mean square error framework (PL-MMSE) has a more accurate tracking ability and higher stability compared to the PLKF. Since the bearing signals are corrupted by non-Gaussian noise in practice, we reconstruct the PL-MMSE under Gaussian mixture noise. If some prior information, such as state constraints, is available, the performance of the PL-MMSE can be further improved by incorporating state constraints in the filtering process. In this paper, the mean square and estimation projection methods are used to incorporate PL-MMSE with linear constraints, respectively. Then, the linear approximation and second-order approximation methods are applied to merge PL-MMSE with nonlinear constraints, respectively. Simulation results demonstrate that the constrained PL-MMSE algorithms result in lower mean square errors and bias norms, which demonstrates the superiority of the constrained algorithms. Full article
(This article belongs to the Section Robotics and Automation)
Show Figures

Figure 1

23 pages, 648 KB  
Article
Tracking an Underwater Object with Unknown Sensor Noise Covariance Using Orthogonal Polynomial Filters
by Kundan Kumar, Shovan Bhaumik and Sanjeev Arulampalam
Sensors 2022, 22(13), 4970; https://doi.org/10.3390/s22134970 - 30 Jun 2022
Cited by 9 | Viewed by 2458
Abstract
In this manuscript, an underwater target tracking problem with passive sensors is considered. The measurements used to track the target trajectories are (i) only bearing angles, and (ii) Doppler-shifted frequencies and bearing angles. Measurement noise is assumed to follow a zero mean Gaussian [...] Read more.
In this manuscript, an underwater target tracking problem with passive sensors is considered. The measurements used to track the target trajectories are (i) only bearing angles, and (ii) Doppler-shifted frequencies and bearing angles. Measurement noise is assumed to follow a zero mean Gaussian probability density function with unknown noise covariance. A method is developed which can estimate the position and velocity of the target along with the unknown measurement noise covariance at each time step. The proposed estimator linearises the nonlinear measurement using an orthogonal polynomial of first order, and the coefficients of the polynomial are evaluated using numerical integration. The unknown sensor noise covariance is estimated online from residual measurements. Compared to available adaptive sigma point filters, it is free from the Cholesky decomposition error. The developed method is applied to two underwater tracking scenarios which consider a nearly constant velocity target. The filter’s efficacy is evaluated using (i) root mean square error (RMSE), (ii) percentage of track loss, (iii) normalised (state) estimation error squared (NEES), (iv) bias norm, and (v) floating point operations (flops) count. From the simulation results, it is observed that the proposed method tracks the target in both scenarios, even for the unknown and time-varying measurement noise covariance case. Furthermore, the tracking accuracy increases with the incorporation of Doppler frequency measurements. The performance of the proposed method is comparable to the adaptive deterministic support point filters, with the advantage of a considerably reduced flops requirement. Full article
(This article belongs to the Section Navigation and Positioning)
Show Figures

Figure 1

26 pages, 1759 KB  
Article
Design of Nonlinear Autoregressive Exogenous Model Based Intelligence Computing for Efficient State Estimation of Underwater Passive Target
by Wasiq Ali, Wasim Ullah Khan, Muhammad Asif Zahoor Raja, Yigang He and Yaan Li
Entropy 2021, 23(5), 550; https://doi.org/10.3390/e23050550 - 29 Apr 2021
Cited by 13 | Viewed by 3087
Abstract
In this study, an intelligent computing paradigm built on a nonlinear autoregressive exogenous (NARX) feedback neural network model with the strength of deep learning is presented for accurate state estimation of an underwater passive target. In underwater scenarios, real-time motion parameters of passive [...] Read more.
In this study, an intelligent computing paradigm built on a nonlinear autoregressive exogenous (NARX) feedback neural network model with the strength of deep learning is presented for accurate state estimation of an underwater passive target. In underwater scenarios, real-time motion parameters of passive objects are usually extracted with nonlinear filtering techniques. In filtering algorithms, nonlinear passive measurements are associated with linear kinetics of the target, governing by state space methodology. To improve tracking accuracy, effective feature estimation and minimizing position error of dynamic passive objects, the strength of NARX based supervised learning is exploited. Dynamic artificial neural networks, which contain tapped delay lines, are suitable for predicting the future state of the underwater passive object. Neural networks-based intelligence computing is effectively applied for estimating the real-time actual state of a passive moving object, which follows a semi-curved path. Performance analysis of NARX based neural networks is evaluated for six different scenarios of standard deviation of white Gaussian measurement noise by following bearings only tracking phenomena. Root mean square error between estimated and real position of the passive target in rectangular coordinates is computed for evaluating the worth of the proposed NARX feedback neural network scheme. The Monte Carlo simulations are conducted and the results certify the capability of the intelligence computing over conventional nonlinear filtering algorithms such as spherical radial cubature Kalman filter and unscented Kalman filter for given state estimation model. Full article
(This article belongs to the Special Issue Entropy and Information Theory in Acoustics II)
Show Figures

Figure 1

14 pages, 3050 KB  
Article
A Hybrid Newton–Raphson and Particle Swarm Optimization Method for Target Motion Analysis by Batch Processing
by Raegeun Oh, Yifang Shi and Jee Woong Choi
Sensors 2021, 21(6), 2033; https://doi.org/10.3390/s21062033 - 13 Mar 2021
Cited by 12 | Viewed by 3982
Abstract
Bearing-only target motion analysis (BO-TMA) by batch processing remains a challenge due to the lack of information on underwater target maneuvering and the nonlinearity of sensor measurements. Traditional batch estimation for BO-TMA is mainly performed based on deterministic algorithms, and studies performed with [...] Read more.
Bearing-only target motion analysis (BO-TMA) by batch processing remains a challenge due to the lack of information on underwater target maneuvering and the nonlinearity of sensor measurements. Traditional batch estimation for BO-TMA is mainly performed based on deterministic algorithms, and studies performed with heuristic algorithms have recently been reported. However, since the two algorithms have their own advantages and disadvantages, interest in a hybrid method that complements the disadvantages and combines the advantages of the two algorithms is increasing. In this study, we proposed Newton–Raphson particle swarm optimization (NRPSO): a hybrid method that combines the Newton–Raphson method and the particle swarm optimization method, which are representative methods that utilize deterministic and heuristic algorithms, respectively. The BO-TMA performance obtained using the proposed NRPSO was tested by varying the measurement noise and number of measurements for three targets with different maneuvers. The results showed that the advantages of both methods were well combined, which improved the performance. Full article
(This article belongs to the Special Issue Multi-Sensor Fusion for Object Detection and Tracking)
Show Figures

Figure 1

14 pages, 3912 KB  
Article
Batch Processing through Particle Swarm Optimization for Target Motion Analysis with Bottom Bounce Underwater Acoustic Signals
by Raegeun Oh, Taek Lyul Song and Jee Woong Choi
Sensors 2020, 20(4), 1234; https://doi.org/10.3390/s20041234 - 24 Feb 2020
Cited by 13 | Viewed by 4717
Abstract
A target angular information in 3-dimensional space consists of an elevation angle and azimuth angle. Acoustic signals propagating along multiple paths in underwater environments usually have different elevation angles. Target motion analysis (TMA) uses the underwater acoustic signals received by a passive horizontal [...] Read more.
A target angular information in 3-dimensional space consists of an elevation angle and azimuth angle. Acoustic signals propagating along multiple paths in underwater environments usually have different elevation angles. Target motion analysis (TMA) uses the underwater acoustic signals received by a passive horizontal line array to track an underwater target. The target angle measured by the horizontal line array is, in fact, a conical angle that indicates the direction of the signal arriving at the line array sonar system. Accordingly, bottom bounce paths produce inaccurate target locations if they are interpreted as azimuth angles in the horizontal plane, as is commonly assumed in existing TMA technologies. Therefore, it is necessary to consider the effect of the conical angle on bearings-only TMA (BO-TMA). In this paper, a target conical angle causing angular ambiguity will be simulated using a ray tracing method in an underwater environment. A BO-TMA method using particle swarm optimization (PSO) is proposed for batch processing to solve the angular ambiguity problem. Full article
Show Figures

Figure 1

17 pages, 5870 KB  
Article
Seismic Response Mitigation of Base-Isolated Buildings
by Mohammad Hamayoun Stanikzai, Said Elias and Rajesh Rupakhety
Appl. Sci. 2020, 10(4), 1230; https://doi.org/10.3390/app10041230 - 12 Feb 2020
Cited by 29 | Viewed by 7351
Abstract
Earthquake response mitigation of a base-isolated (BI) building equipped with (i) a single tuned mass damper at the top of the building, (ii) multiple tuned mass dampers (MTMDs) at the top of the building, and (iii) MTMDs distributed on different floors of the [...] Read more.
Earthquake response mitigation of a base-isolated (BI) building equipped with (i) a single tuned mass damper at the top of the building, (ii) multiple tuned mass dampers (MTMDs) at the top of the building, and (iii) MTMDs distributed on different floors of the building (d-MTMDs) is studied. The shear-type buildings are modeled by considering only one lateral degree of freedom (DOF) at the floor level. Numerical approach of Newmark’s integration is adopted for solving the coupled, governing differential equations of motion of 5- and 10-story BI buildings with and without TMD schemes. A set of 40 earthquake ground motions, scaled 80 times to get 3200 ground motions, is used to develop simplified fragility curves in terms of the isolator maximum displacement. Incremental dynamic analysis (IDA) is used to develop simplified fragility curves for the maximum target isolator displacement. It is found that TMDs are efficient in reducing the bearing displacement, top floor acceleration, and base shear of the BI buildings. In addition, it was noticed that TMDs are efficient in reducing the probability of failure of BI building. Further, it is found that the MTMDs placed at the top floor and d-MTMDs on different floors of BI buildings are more efficient in decreasing the probability of failure of the BI building when compared with STMD. Full article
Show Figures

Figure 1

Back to TopTop