Sign in to use this feature.

Years

Between: -

Subjects

remove_circle_outline
remove_circle_outline
remove_circle_outline
remove_circle_outline
remove_circle_outline
remove_circle_outline
remove_circle_outline
remove_circle_outline
remove_circle_outline

Journals

remove_circle_outline
remove_circle_outline
remove_circle_outline
remove_circle_outline
remove_circle_outline
remove_circle_outline
remove_circle_outline
remove_circle_outline
remove_circle_outline
remove_circle_outline

Article Types

Countries / Regions

remove_circle_outline
remove_circle_outline
remove_circle_outline
remove_circle_outline
remove_circle_outline

Search Results (3,528)

Search Parameters:
Keywords = autonomous vehicle systems

Order results
Result details
Results per page
Select all
Export citation of selected articles as:
30 pages, 2039 KB  
Article
Quantifying the Trajectory Tracking Accuracy in UGVs: The Role of Traffic Scheduling in Wi-Fi-Enabled Time-Sensitive Networking
by Elena Ferrari, Alberto Morato, Federico Tramarin, Claudio Zunino and Matteo Bertocco
Sensors 2026, 26(3), 881; https://doi.org/10.3390/s26030881 - 29 Jan 2026
Abstract
Accurate trajectory tracking is a key requirement in unmanned ground vehicles (UGVs) operating in autonomous driving, mobile robotics, and industrial automation. In wireless Time-Sensitive Networking (WTSN) scenarios, trajectory accuracy strongly depends on deterministic packet delivery, precise traffic scheduling, and time synchronization among distributed [...] Read more.
Accurate trajectory tracking is a key requirement in unmanned ground vehicles (UGVs) operating in autonomous driving, mobile robotics, and industrial automation. In wireless Time-Sensitive Networking (WTSN) scenarios, trajectory accuracy strongly depends on deterministic packet delivery, precise traffic scheduling, and time synchronization among distributed devices. This paper quantifies the impact of IEEE 802.1Qbv time-aware traffic scheduling on trajectory tracking accuracy in UGVs operating over Wi-Fi-enabled TSN networks. The analysis focuses on how misconfigured real-time (RT) and best-effort (BE) transmission windows, as well as clock misalignment between devices, affect packet reception and control performance. A mathematical framework is introduced to predict the number of correctly received RT packets based on cycle time, packet periodicity, scheduling window lengths, and synchronization offsets, enabling the a priori dimensioning of RT and BE windows. The proposed model is validated through extensive simulations conducted in an ROS–Gazebo environment, utilising Linux-based traffic shaping and scheduling tools. Results show that improper traffic scheduling and synchronization offsets can significantly degrade trajectory tracking accuracy, while correctly dimensioned scheduling windows ensure reliable packet delivery and stable control, even under imperfect synchronization. The proposed approach provides practical design guidelines for configuring wireless TSN networks supporting real-time trajectory tracking in mobile robotic systems. Full article
Show Figures

Figure 1

18 pages, 1167 KB  
Article
AI Agent- and QR Codes-Based Connected and Autonomous Vehicles: A New Paradigm for Cooperative, Safe, and Resilient Mobility
by Jianhua He, Fangkai Xi, Dashuai Pei, Jiawei Zheng and Han Yang
Mathematics 2026, 14(3), 451; https://doi.org/10.3390/math14030451 - 27 Jan 2026
Abstract
The rapid advancement of connected and autonomous vehicles (CAVs) has the potential to revolutionize road transportation, promising significant improvements in safety, efficiency, and sustainability. However, traditional CAV architectures are predominantly modular and rule-based. They struggle with interaction, cooperation, and adaptability in complex mixed-traffic [...] Read more.
The rapid advancement of connected and autonomous vehicles (CAVs) has the potential to revolutionize road transportation, promising significant improvements in safety, efficiency, and sustainability. However, traditional CAV architectures are predominantly modular and rule-based. They struggle with interaction, cooperation, and adaptability in complex mixed-traffic environments. Moreover, the substantial infrastructure investment required and the absence of compelling killer applications have limited large-scale deployment of CAVs and roadside units (RSUs), resulting in insufficient penetration to realize the full safety benefits of CAV applications and creating a deployment stalemate. To address the above challenges, this paper proposes an innovative connected autonomous vehicle system, termed AQ-CAV, which leverages recent advances in AI agents and QR codes. AI agents are employed to enable cooperative, self-adaptive, and intelligent vehicular behavior, while QR codes provide a cost-effective, accessible, robust, and scalable mechanism for supporting CAV deployment. We first analyze existing CAV systems and identify their fundamental limitations. We then present the architectural design of the AQ-CAV system, detailing the components and functionalities of vehicle-side and infrastructure-side agents, inter-agent communication and coordination mechanisms, and QR code-based authentication for AQ-CAV operations. Representative applications of the AQ-CAV system are investigated, including a case study on emergency response. Preliminary results demonstrate the feasibility and effectiveness of the proposed system, which achieves significant safety improvements at low system cost. Finally, we discuss the key challenges faced by AQ-CAV and outline future research directions that require exploration to fully realize its potential. Full article
(This article belongs to the Special Issue Advances in Mobile Network and Intelligent Communication, 2nd Edition)
29 pages, 6834 KB  
Article
Multi-Layer AI Sensor System for Real-Time GPS Spoofing Detection and Encrypted UAS Control
by Ayoub Alsarhan, Bashar S. Khassawneh, Mahmoud AlJamal, Zaid Jawasreh, Nayef H. Alshammari, Sami Aziz Alshammari, Rahaf R. Alshammari and Khalid Hamad Alnafisah
Sensors 2026, 26(3), 843; https://doi.org/10.3390/s26030843 - 27 Jan 2026
Viewed by 29
Abstract
Unmanned Aerial Systems (UASs) are playing an increasingly critical role in both civilian and defense applications. However, their heavy reliance on unencrypted Global Navigation Satellite System (GNSS) signals, particularly GPS, makes them highly susceptible to signal spoofing attacks, posing severe operational and safety [...] Read more.
Unmanned Aerial Systems (UASs) are playing an increasingly critical role in both civilian and defense applications. However, their heavy reliance on unencrypted Global Navigation Satellite System (GNSS) signals, particularly GPS, makes them highly susceptible to signal spoofing attacks, posing severe operational and safety threats. This paper introduces a comprehensive, AI-driven multi-layer sensor framework that simultaneously enables real-time spoofing detection and secure command-and-control (C2) communication in lightweight UAS platforms. The proposed system enhances telemetry reliability through a refined preprocessing pipeline that includes a novel GPS Drift Index (GDI), robust statistical normalization, cluster-constrained oversampling, Kalman-based noise reduction, and quaternion filtering. These sensing layers improve anomaly separability under adversarial signal manipulation. On this enhanced feature space, a differentiable architecture search (DARTS) approach dynamically generates lightweight neural network architectures optimized for fast, onboard spoofing detection. For secure command and control, the framework integrates a low-latency cryptographic layer utilizing PRESENT-128 encryption and CMAC authentication, achieving confidentiality and integrity with only 1.79 ms latency and a 0.51 mJ energy cost. Extensive experimental evaluations demonstrate the framework’s outstanding detection accuracy (99.99%), near-perfect F1-score (0.999), and AUC (0.9999), validating its suitability for deployment in real-world, resource-constrained UAS environments. This research advances the field of AI-enabled sensor systems by offering a robust, scalable, and secure navigation framework for countering GPS spoofing in autonomous aerial vehicles. Full article
(This article belongs to the Section Sensors and Robotics)
30 pages, 4996 KB  
Article
Energy-Efficient, Multi-Agent Deep Reinforcement Learning Approach for Adaptive Beacon Selection in AUV-Based Underwater Localization
by Zahid Ullah Khan, Hangyuan Gao, Farzana Kulsoom, Syed Agha Hassnain Mohsan, Aman Muhammad and Hassan Nazeer Chaudry
J. Mar. Sci. Eng. 2026, 14(3), 262; https://doi.org/10.3390/jmse14030262 - 27 Jan 2026
Viewed by 12
Abstract
Accurate and energy-efficient localization of autonomous underwater vehicles (AUVs) remains a fundamental challenge due to the complex, bandwidth-limited, and highly dynamic nature of underwater acoustic environments. This paper proposes a fully adaptive deep reinforcement learning (DRL)-driven localization framework for AUVs operating in Underwater [...] Read more.
Accurate and energy-efficient localization of autonomous underwater vehicles (AUVs) remains a fundamental challenge due to the complex, bandwidth-limited, and highly dynamic nature of underwater acoustic environments. This paper proposes a fully adaptive deep reinforcement learning (DRL)-driven localization framework for AUVs operating in Underwater Acoustic Sensor Networks (UAWSNs). The localization problem is formulated as a Markov Decision Process (MDP) in which an intelligent agent jointly optimizes beacon selection and transmit power allocation to minimize long-term localization error and energy consumption. A hierarchical learning architecture is developed by integrating four actor–critic algorithms, which are (i) Twin Delayed Deep Deterministic Policy Gradient (TD3), (ii) Soft Actor–Critic (SAC), (iii) Multi-Agent Deep Deterministic Policy Gradient (MADDPG), and (iv) Distributed DDPG (D2DPG), enabling robust learning under non-stationary channels, cooperative multi-AUV scenarios, and large-scale deployments. A round-trip time (RTT)-based geometric localization model incorporating a depth-dependent sound speed gradient is employed to accurately capture realistic underwater acoustic propagation effects. A multi-objective reward function jointly balances localization accuracy, energy efficiency, and ranging reliability through a risk-aware metric. Furthermore, the Cramér–Rao Lower Bound (CRLB) is derived to characterize the theoretical performance limits, and a comprehensive complexity analysis is performed to demonstrate the scalability of the proposed framework. Extensive Monte Carlo simulations show that the proposed DRL-based methods achieve significantly lower localization error, lower energy consumption, faster convergence, and higher overall system utility than classical TD3. These results confirm the effectiveness and robustness of DRL for next-generation adaptive underwater localization systems. Full article
(This article belongs to the Section Ocean Engineering)
25 pages, 6583 KB  
Article
Robust Traffic Sign Detection for Obstruction Scenarios in Autonomous Driving
by Xinhao Wang, Limin Zheng, Yuze Song and Jie Li
Symmetry 2026, 18(2), 226; https://doi.org/10.3390/sym18020226 - 27 Jan 2026
Viewed by 48
Abstract
With the rapid advancement of autonomous driving technology, Traffic Sign Detection and Recognition (TSDR) has become a critical component for ensuring vehicle safety. However, existing TSDR systems still face significant challenges in accurately detecting partially occluded traffic signs, which poses a substantial risk [...] Read more.
With the rapid advancement of autonomous driving technology, Traffic Sign Detection and Recognition (TSDR) has become a critical component for ensuring vehicle safety. However, existing TSDR systems still face significant challenges in accurately detecting partially occluded traffic signs, which poses a substantial risk in real-world applications. To address this issue, this study proposes a comprehensive solution from three perspectives: data augmentation, model architecture enhancement, and dataset construction. We propose an innovative network framework tailored for occluded traffic sign detection. The framework enhances feature representation through a dual-path convolutional mechanism (DualConv) that preserves information flow even when parts of the sign are blocked, and employs a spatial attention module (SEAM) that helps the model focus on visible sign regions while ignoring occluded areas. Finally, we construct the Jinzhou Traffic Sign (JZTS) occlusion dataset to provide targeted training and evaluation samples. Extensive experiments on the public Tsinghua-Tencent 100K (TT-100K) dataset and our JZTS dataset demonstrate the superior performance and strong generalisation capability of our model under occlusion conditions. This work not only advances the robustness of TSDR systems for autonomous driving but also provides a valuable benchmark for future research. Full article
(This article belongs to the Section Computer)
25 pages, 279 KB  
Article
Protection of Personal Information in the Era of Autonomous Vehicles: China’s Dilemma and Legal System Reactions
by Yao Xu, Yana Di, Zongyu Song, Jiebin Chen and Xinyao Deng
World Electr. Veh. J. 2026, 17(2), 60; https://doi.org/10.3390/wevj17020060 - 27 Jan 2026
Viewed by 65
Abstract
Autonomous vehicles, often described as “computers on wheels,” must collect extensive data, including personal information, and employ data analysis to enhance their self-learning capabilities. In this process, users’ personal information is particularly vulnerable to excessive collection, leakage, and misuse. Accordingly, establishing a robust [...] Read more.
Autonomous vehicles, often described as “computers on wheels,” must collect extensive data, including personal information, and employ data analysis to enhance their self-learning capabilities. In this process, users’ personal information is particularly vulnerable to excessive collection, leakage, and misuse. Accordingly, establishing a robust legal framework for the protection of personal information in the context of autonomous driving is of critical importance. China has not yet implemented an Autonomous Driving Law, and the related legal provisions on protecting of personal information in the field of autonomous vehicles still unclear. We conducted a comparative analysis of the policies and legislation on automated driving and personal information protection in various countries and regions. The results indicate that China could benefit from the EU’s approach to expanding protection. Considering the current state of China’s legal system and legislative trends, it is more suitable to guide the legal application of personal information protection for automated driving through legal interpretation, alongside the existing laws on personal information protection. Full article
(This article belongs to the Section Marketing, Promotion and Socio Economics)
27 pages, 8004 KB  
Article
A Grid-Enabled Vision and Machine Learning Framework for Safer and Smarter Intersections: Enhancing Real-Time Roadway Intelligence and Vehicle Coordination
by Manoj K. Jha, Pranav K. Jha and Rupesh K. Yadav
Infrastructures 2026, 11(2), 41; https://doi.org/10.3390/infrastructures11020041 - 27 Jan 2026
Viewed by 41
Abstract
Urban intersections are critical nodes for roadway safety, congestion management, and autonomous vehicle coordination. Traditional traffic control systems based on fixed-time signals and static sensors lack adaptability to real-time risks such as red-light violations, near-miss incidents, and multimodal conflicts. This study presents a [...] Read more.
Urban intersections are critical nodes for roadway safety, congestion management, and autonomous vehicle coordination. Traditional traffic control systems based on fixed-time signals and static sensors lack adaptability to real-time risks such as red-light violations, near-miss incidents, and multimodal conflicts. This study presents a grid-enabled framework integrating computer vision and machine learning to enhance real-time intersection intelligence and road safety. The system overlays a computational grid on the roadway, processes live video feeds, and extracts dynamic parameters including vehicle trajectories, deceleration patterns, and queue evolution. A novel active learning module improves detection accuracy under low visibility and occlusion, reducing false alarms in collision and violation detection. Designed for edge-computing environments, the framework interfaces with signal controllers to enable adaptive signal timing, proactive collision avoidance, and emergency vehicle prioritization. Case studies from multiple intersections typical of US cities show improved phase utilization, reduced intersection conflicts, and enhanced throughput. A grid-based heatmap visualization highlights spatial risk zones, supporting data-driven decision-making. The proposed framework bridges static infrastructure and intelligent mobility systems, advancing safer, smarter, and more connected roadway operations. Full article
Show Figures

Figure 1

31 pages, 4595 KB  
Article
Cooperative Coverage Control for Heterogeneous AUVs Based on Control Barrier Functions and Consensus Theory
by Fengxiang Mao, Dongsong Zhang, Liang Xu and Rui Wang
Sensors 2026, 26(3), 822; https://doi.org/10.3390/s26030822 - 26 Jan 2026
Viewed by 130
Abstract
This paper addresses the problem of cooperative coverage control for heterogeneous Autonomous Underwater Vehicle (AUV) swarms operating in complex underwater environments. The objective is to achieve optimal coverage of a target region while simultaneously ensuring collision avoidance—both among AUVs and with static obstacles—and [...] Read more.
This paper addresses the problem of cooperative coverage control for heterogeneous Autonomous Underwater Vehicle (AUV) swarms operating in complex underwater environments. The objective is to achieve optimal coverage of a target region while simultaneously ensuring collision avoidance—both among AUVs and with static obstacles—and satisfying the inherent dynamic constraints of the AUVs. To this end, we propose a hierarchical control framework that fuses Control Barrier Functions (CBFs) with consensus theory. First, addressing the heterogeneity and limited sensing ranges of the AUVs, a cooperative coverage model based on a modified Voronoi partition is constructed. A nominal controller based on consensus theory is designed to balance the ratio of task workload to individual capability for each AUV. By minimizing a Lyapunov-like function via gradient descent, the swarm achieves self-organized optimal coverage. Second, to guarantee system safety, multiple safety constraints are designed for the AUV double-integrator dynamics, utilizing Zeroing Control Barrier Functions (ZCBFs) and High-Order Control Barrier Functions (HOCBFs). This approach unifies the handling of collision avoidance and velocity limitations. Finally, the nominal coverage controller and safety constraints are integrated into a Quadratic Programming (QP) formulation. This constitutes a safety-critical layer that modifies the control commands in a minimally invasive manner. Theoretical analysis demonstrates the stability of the framework, the forward invariance of the safe set, and the convergence of the coverage task. Simulation experiments verify the effectiveness and robustness of the proposed method in navigating obstacles and efficiently completing heterogeneous cooperative coverage tasks in complex environments. Full article
(This article belongs to the Section Sensors and Robotics)
33 pages, 5373 KB  
Review
Mapping Research on Road Transport Infrastructures and Emerging Technologies: A Bibliometric, Scientometric, and Network Analysis
by Carmen Gheorghe and Adrian Soica
Infrastructures 2026, 11(2), 39; https://doi.org/10.3390/infrastructures11020039 - 26 Jan 2026
Viewed by 76
Abstract
Research on road transport infrastructures is rapidly evolving as electrification, automation, and digital connectivity reshape how systems are designed, operated, and managed. This study presents a combined bibliometric, scientometric, and network analysis of 2755 publications published between 2021 and 2025 to map the [...] Read more.
Research on road transport infrastructures is rapidly evolving as electrification, automation, and digital connectivity reshape how systems are designed, operated, and managed. This study presents a combined bibliometric, scientometric, and network analysis of 2755 publications published between 2021 and 2025 to map the intellectual structure, main contributors, and dominant technological themes shaping contemporary road transport research. Using data from the Web of Science Core Collection, co-occurrence mapping, thematic analysis, and collaboration networks were generated using Bibliometrix and VOSviewer. The results reveal strong growth in research output, with China, the United States, and Europe forming the core of high-impact publication and collaboration networks. Six bibliometric clusters were identified and consolidated into three overarching domains: road transport systems, emphasizing vehicle dynamics, control, and real-time computational frameworks; energy and efficiency-oriented mobility research, focusing on electrification, optimization, and infrastructure integration; and emerging digital technologies, including IoT, AI, and autonomous vehicles. The analysis highlights persistent research gaps related to interoperability, cybersecurity, large-scale deployment, and governance of intelligent transport infrastructures. Overall, the findings provide a data-driven overview of current research priorities and structural patterns shaping next-generation road transport systems. Full article
(This article belongs to the Section Smart Infrastructures)
18 pages, 1767 KB  
Article
Integrating Roadway Sign Data and Biomimetic Path Integration for High-Precision Localization in Unstructured Coal Mine Roadways
by Miao Yu, Zilong Zhang, Xi Zhang, Junjie Zhang, Bin Zhou and Bo Chen
Electronics 2026, 15(3), 528; https://doi.org/10.3390/electronics15030528 - 26 Jan 2026
Viewed by 140
Abstract
High-precision autonomous localization remains a critical challenge for intelligent mining vehicles in GNSS-denied and unstructured coal mine roadways, where traditional odometry-based methods suffer from severe cumulative drift and perceptual aliasing. Inspired by the synergy between mammalian visual cues and cognitive neural mechanisms, this [...] Read more.
High-precision autonomous localization remains a critical challenge for intelligent mining vehicles in GNSS-denied and unstructured coal mine roadways, where traditional odometry-based methods suffer from severe cumulative drift and perceptual aliasing. Inspired by the synergy between mammalian visual cues and cognitive neural mechanisms, this paper proposes a robust biomimetic localization framework that integrates multi-source perception with a prior cognitive map. The core contributions are three-fold: First, a semantic-enhanced biomimetic localization method is developed, leveraging roadway sign data as absolute spatial anchors to suppress long-distance cumulative errors. Second, an optimized head direction (HD) cell model is formulated by incorporating a speed balance factor, kinematic constraints, and a drift correction influence factor, significantly improving the precision of angular perception. Third, boundary-adaptive and sign-based semantic constraint terms are integrated into a continuous attractor network (CAN)-based path integration model, effectively preventing trajectory deviation into non-navigable regions. Comprehensive evaluations conducted in large-scale underground scenarios demonstrate that the proposed framework consistently outperforms conventional IMU-odometry fusion, representative 3D SLAM solutions, and baseline biomimetic algorithms. By effectively integrating semantic landmarks as spatial anchors, the system exhibits superior resilience against cumulative drift, maintaining high localization precision where standard methods typically diverge. The results confirm that our approach significantly enhances both trajectory consistency and heading stability across extensive distances, validating its robustness and scalability in handling the inherent complexities of unstructured coal mine environments for enhanced intrinsic safety. Full article
Show Figures

Figure 1

35 pages, 3075 KB  
Review
Agentic Artificial Intelligence for Smart Grids: A Comprehensive Review of Autonomous, Safe, and Explainable Control Frameworks
by Mahmoud Kiasari and Hamed Aly
Energies 2026, 19(3), 617; https://doi.org/10.3390/en19030617 - 25 Jan 2026
Viewed by 192
Abstract
Agentic artificial intelligence (AI) is emerging as a paradigm for next-generation smart grids, enabling autonomous decision-making, adaptive coordination, and resilient control in complex cyber–physical environments. Unlike traditional AI models, which are typically static predictors or offline optimizers, agentic AI systems perceive grid states, [...] Read more.
Agentic artificial intelligence (AI) is emerging as a paradigm for next-generation smart grids, enabling autonomous decision-making, adaptive coordination, and resilient control in complex cyber–physical environments. Unlike traditional AI models, which are typically static predictors or offline optimizers, agentic AI systems perceive grid states, reason about goals, plan multi-step actions, and interact with operators in real time. This review presents the latest advances in agentic AI for power systems, including architectures, multi-agent control strategies, reinforcement learning frameworks, digital twin optimization, and physics-based control approaches. The synthesis is based on new literature sources to provide an aggregate of techniques that fill the gap between theoretical development and practical implementation. The main application areas studied were voltage and frequency control, power quality improvement, fault detection and self-healing, coordination of distributed energy resources, electric vehicle aggregation, demand response, and grid restoration. We examine the most effective agentic AI techniques in each domain for achieving operational goals and enhancing system reliability. A systematic evaluation is proposed based on criteria such as stability, safety, interpretability, certification readiness, and interoperability for grid codes, as well as being ready to deploy in the field. This framework is designed to help researchers and practitioners evaluate agentic AI solutions holistically and identify areas in which more research and development are needed. The analysis identifies important opportunities, such as hierarchical architectures of autonomous control, constraint-aware learning paradigms, and explainable supervisory agents, as well as challenges such as developing methodologies for formal verification, the availability of benchmark data, robustness to uncertainty, and building human operator trust. This study aims to provide a common point of reference for scholars and grid operators alike, giving detailed information on design patterns, system architectures, and potential research directions for pursuing the implementation of agentic AI in modern power systems. Full article
Show Figures

Figure 1

27 pages, 7306 KB  
Article
Design and Implementation of the AquaMIB Unmanned Surface Vehicle for Real-Time GIS-Based Spatial Interpolation and Autonomous Water Quality Monitoring
by Huseyin Duran and Namık Kemal Sonmez
Appl. Sci. 2026, 16(3), 1209; https://doi.org/10.3390/app16031209 - 24 Jan 2026
Viewed by 113
Abstract
This article introduces the design and implementation of an Unmanned Surface Vehicle (USV), named “AquaMIB”, which introduces a novel and integrated approach for real-time and autonomous water quality monitoring in aquatic environments. The system integrates modular hardware and software, combining sensors for temperature, [...] Read more.
This article introduces the design and implementation of an Unmanned Surface Vehicle (USV), named “AquaMIB”, which introduces a novel and integrated approach for real-time and autonomous water quality monitoring in aquatic environments. The system integrates modular hardware and software, combining sensors for temperature, pH, conductivity, dissolved oxygen, and oxidation reduction potential with GPS, LiDAR, a digital compass, communication modules, and a dedicated power unit. Software components include Python on a Raspberry Pi for navigation and control, C on an Atmega 324P for sensing, C++ on an Arduino Uno for remote control, and C#/JavaScript for the web-based control center. Users assign task points, and the USV autonomously navigates, collects data, and transmits it via RESTful API. Field trials showed 96.5% navigation accuracy over 2.2 km, with 66% of task points reached within 3 m. A total of 120 measurements were processed in real time and visualized as GIS-based spatial maps. The system demonstrates a cost-effective, modular solution for aquatic monitoring. The system’s ability to generate real-time GIS maps enables immediate identification of environmental anomalies, transforming raw sensor data into an actionable decision-support tool for aquatic management. Full article
Show Figures

Figure 1

22 pages, 2344 KB  
Article
Control of Physically Connected Off-Road Skid-Steering Robotic Vehicles Based on Numerical Simulation and Neural Network Models
by Miša Tomić, Miloš Simonović, Vukašin Pavlović, Milan Banić and Miloš Milošević
Appl. Sci. 2026, 16(3), 1199; https://doi.org/10.3390/app16031199 - 23 Jan 2026
Viewed by 152
Abstract
The use of robots in various industries has increased significantly in recent years, with mobile robots playing a central role in automation. Their applications range from service robotics and automated material handling to bomb disposal and planetary exploration. A rapidly growing area of [...] Read more.
The use of robots in various industries has increased significantly in recent years, with mobile robots playing a central role in automation. Their applications range from service robotics and automated material handling to bomb disposal and planetary exploration. A rapidly growing area of mobile robotics involves coordinated groups of autonomous robots, commonly referred to as swarms. However, only a limited number of studies have addressed systems in which ropes or wires physically connect robots. Connecting multiple autonomous robotic vehicles with a tensioned wire can form a movable fence, enabling coordinated motion as a single dynamic entity. This paper presents a real-time control approach for the off-road motion of physically connected skid-steering robotic vehicles. A numerical-simulation-driven artificial neural network is employed as a surrogate model to estimate wheel–ground load distribution online, enabling stable steering control and accurate trajectory tracking on rough terrain while accounting for wire-induced coupling effects. Full article
(This article belongs to the Topic Advances in Autonomous Vehicles, Automation, and Robotics)
18 pages, 6362 KB  
Article
From Human Teams to Autonomous Swarms: A Reinforcement Learning-Based Benchmarking Framework for Unmanned Aerial Vehicle Search and Rescue Missions
by Julian Bialas, Mohammad Reza Mohebbi, Michiel J. van Veelen, Abraham Mejia-Aguilar, Robert Kathrein and Mario Döller
Drones 2026, 10(2), 79; https://doi.org/10.3390/drones10020079 - 23 Jan 2026
Viewed by 144
Abstract
The adoption of novel technologies such as Unmanned Aerial Vehicles (UAVs) in Search and Rescue (SAR) operations remains limited. As a result, their full potential is not yet realized. Although UAVs have been deployed on an ad hoc basis, typically under manual control [...] Read more.
The adoption of novel technologies such as Unmanned Aerial Vehicles (UAVs) in Search and Rescue (SAR) operations remains limited. As a result, their full potential is not yet realized. Although UAVs have been deployed on an ad hoc basis, typically under manual control by dedicated operators, assisted and fully autonomous configurations remain largely unexplored. In this study, three SAR frameworks are systematically evaluated within a unified benchmarking framework: conventional ground missions, UAV-assisted missions, and fully autonomous UAV operations. As the key performance indicator, the target localization time was quantified and used as the means of comparison amongst frameworks. The conventional and assisted frameworks were experimentally tested through physical hardware in a controlled outdoor setting, wherein simulated callouts occurred via rescue teams. The autonomous swarm framework was simulated in the form of a multi-agent Reinforcement Learning (RL) method via the use of the Proximal Policy Optimization (PPO) algorithm. This enabled the optimization of the decentralized cooperative actions that could occur for efficient exploration of a partially observed three-dimensional environment. Our results demonstrated that the autonomous swarm significantly outperformed the conventional and assisted approaches in terms of speed and coverage. Finally, a detailed depiction of the framework’s integration into an operational system is provided. Full article
Show Figures

Figure 1

43 pages, 9485 KB  
Article
Dynamic Task Allocation for Multiple AUVs Under Weak Underwater Acoustic Communication: A CBBA-Based Simulation Study
by Hailin Wang, Shuo Li, Tianyou Qiu, Yiqun Wang and Yiping Li
J. Mar. Sci. Eng. 2026, 14(3), 237; https://doi.org/10.3390/jmse14030237 - 23 Jan 2026
Viewed by 136
Abstract
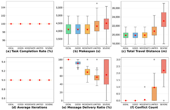
Cooperative task allocation is one of the critical enablers for multi-Autonomous Underwater Vehicle (AUV) missions, but existing approaches often assume reliable communication that rarely holds in real underwater acoustic environments. We study here the performance and robustness of the Consensus-Based Bundle Algorithm (CBBA) [...] Read more.
Cooperative task allocation is one of the critical enablers for multi-Autonomous Underwater Vehicle (AUV) missions, but existing approaches often assume reliable communication that rarely holds in real underwater acoustic environments. We study here the performance and robustness of the Consensus-Based Bundle Algorithm (CBBA) for multi-AUV task allocation under realistically degraded underwater communication conditions with dynamically appearing tasks. An integrated simulation framework that incorporates a Dubins-based kinematic model with minimum turning radius constraints, a configurable underwater acoustic communication model (range, delay, packet loss, and bandwidth), and a full implementation of improved CBBA with new features, complemented by 3D trajectory and network-topology visualization. We define five communication regimes, from ideal fully connected networks to severe conditions with short range and high packet loss. Within these regimes, we assess CBBA based on task allocation quality (total bundle value and task completion rate), convergence behavior (iterations and convergence rate), and communication efficiency (message delivery rate, average delay, and network connectivity), with additional metrics on the number of conflicts during dynamic task reallocation. Our simulation results indicate that CBBA maintains performance close to the optimum when the conditions are good and moderate but degrades significantly when connectivity becomes intermittent. We then introduce a local-communication-based conflict resolution strategy in the face of frequent task conflicts under very poor conditions: neighborhood-limited information exchange, negotiation within task areas, and decentralized local decisions. The proposed conflict resolution strategy significantly reduces the occurrence of conflicts and improves task completion under stringent communication constraints. This provides practical design insights for deploying multi-AUV systems under weak underwater acoustic networks. Full article
(This article belongs to the Special Issue Dynamics and Control of Marine Mechatronics)
Show Figures

Figure 1

Back to TopTop