Sign in to use this feature.

Years

Between: -

Subjects

remove_circle_outline
remove_circle_outline
remove_circle_outline
remove_circle_outline

Journals

Article Types

Countries / Regions

Search Results (6)

Search Parameters:
Keywords = Winkler’s surface formulation

Order results
Result details
Results per page
Select all
Export citation of selected articles as:
14 pages, 739 KB  
Article
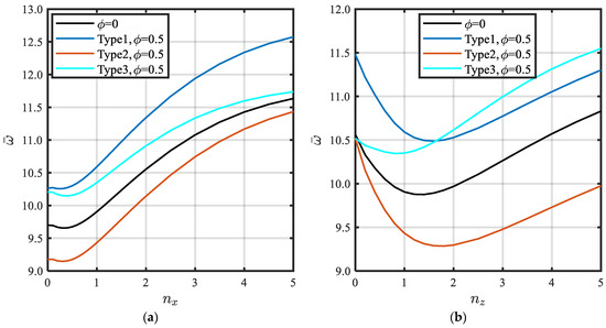
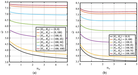
Variational Principles for Coupled Boron Nitride Nanotubes Undergoing Vibrations, Including Piezoelastic and Surface Effects
by Sarp Adali
Dynamics 2025, 5(2), 21; https://doi.org/10.3390/dynamics5020021 - 8 Jun 2025
Cited by 1 | Viewed by 1055
Abstract
A variational formulation and variationally consistent boundary conditions were derived for a coupled system of two boron nitride nanotubes (BNNTs), with the piezoelectric and surface effects taken into account in the formulation. The coupling between the nanotubes was defined in terms of Winkler [...] Read more.
A variational formulation and variationally consistent boundary conditions were derived for a coupled system of two boron nitride nanotubes (BNNTs), with the piezoelectric and surface effects taken into account in the formulation. The coupling between the nanotubes was defined in terms of Winkler and Pasternak interlayers. The equations governing the vibrations of the coupled system were expressed as a system of four partial differential equations based on nonlocal elastic theory. After deriving the variational principle for the double BNNT system, Hamilton’s principle was expressed in terms of potential and kinetic energies. Next, the differential equations for the free vibration case were presented and the variational form for this case was derived. The Rayleigh quotient was formulated for the vibration frequency, which indicated that piezoelectric and surface effects led to higher vibration frequencies. Next, the variationally consistent boundary conditions were formulated in terms of moment and shear force expressions. It was observed that the presence of the Pasternak interlayer between the nanotubes led to coupled boundary conditions when a shear force and/or a moment was specified at the boundaries. Full article
Show Figures

Figure 1

31 pages, 13982 KB  
Article
A Contact Mechanics Model for Surface Wear Prediction of Parallel-Axis Polymer Gears
by Enis Muratović, Nedim Pervan, Adil Muminović and Muamer Delić
Polymers 2024, 16(20), 2858; https://doi.org/10.3390/polym16202858 - 10 Oct 2024
Cited by 2 | Viewed by 2460
Abstract
As surface wear is one of the major failure mechanisms in many applications that include polymer gears, lifetime prediction of polymer gears often requires time-consuming and expensive experimental testing. This study introduces a contact mechanics model for the surface wear prediction of polymer [...] Read more.
As surface wear is one of the major failure mechanisms in many applications that include polymer gears, lifetime prediction of polymer gears often requires time-consuming and expensive experimental testing. This study introduces a contact mechanics model for the surface wear prediction of polymer gears. The developed model, which is based on an iterative numerical procedure, employs a boundary element method (BEM) in conjunction with Archard’s wear equation to predict wear depth on contacting tooth surfaces. The wear coefficients, necessary for the model development, have been determined experimentally for Polyoxymethylene (POM) and Polyvinylidene fluoride (PVDF) polymer gear samples by employing an abrasive wear model by the VDI 2736 guidelines for polymer gear design. To fully describe the complex changes in contact topography as the gears wear, the prediction model employs Winkler’s surface formulation used for the computation of the contact pressure distribution and Weber’s model for the computation of wear-induced changes in stiffness components as well as the alterations in the load-sharing factors with corresponding effects on the normal load distribution. The developed contact mechanics model has been validated through experimental testing of steel/polymer engagements after an arbitrary number of load cycles. Based on the comparison of the simulated and experimental results, it can be concluded that the developed model can be used to predict the surface wear of polymer gears, therefore reducing the need to perform experimental testing. One of the major benefits of the developed model is the possibility of assessing and visualizing the numerous contact parameters that simultaneously affect the wear behavior, which can be used to determine the wear patterns of contacting tooth surfaces after a certain number of load cycles, i.e., different lifetime stages of polymer gears. Full article
(This article belongs to the Special Issue Computational and Experimental Approaches in Polymeric Materials)
Show Figures

Figure 1

16 pages, 754 KB  
Article
Asymptotic Consideration of Rayleigh Waves on a Coated Orthorhombic Elastic Half-Space Reinforced Using an Elastic Winkler Foundation
by Ali M. Mubaraki
Math. Comput. Appl. 2023, 28(6), 109; https://doi.org/10.3390/mca28060109 - 15 Nov 2023
Cited by 7 | Viewed by 2005
Abstract
This article derives approximate formulations for Rayleigh waves on a coated orthorhombic elastic half-space with a prescribed vertical load acting as an elastic Winkler foundation. In addition, perfect continuity conditions are imposed between the coating layer and the substrate, while suitable decaying conditions [...] Read more.
This article derives approximate formulations for Rayleigh waves on a coated orthorhombic elastic half-space with a prescribed vertical load acting as an elastic Winkler foundation. In addition, perfect continuity conditions are imposed between the coating layer and the substrate, while suitable decaying conditions are slated along the infinite depth of the half-space. The effect of the thin layer is modeled using appropriate effective boundary conditions within the long-wave limit. By applying the Radon transform and using the perturbation method, the derived model successfully captures the physical characteristics of elastic surface waves in coated half-spaces. The model consists of a pesudo-static elliptic equation decaying over the interior of the half-space and a singularly perturbed hyperbolic equation with a pseudo-differential operator. The pseudo-differential equation gives the approximate dispersion of surface waves on the coated half-space structure and is analyzed numerically at the end. Full article
Show Figures

Figure 1

26 pages, 8804 KB  
Article
Free Vibration Characteristics of Bidirectional Graded Porous Plates with Elastic Foundations Using 2D-DQM
by Ammar Melaibari, Salwa A. Mohamed, Amr E. Assie, Rabab A. Shanab and Mohamed A. Eltaher
Mathematics 2023, 11(1), 46; https://doi.org/10.3390/math11010046 - 22 Dec 2022
Cited by 16 | Viewed by 1951
Abstract
This manuscript develops for the first time a mathematical formulation of the dynamical behavior of bi-directional functionally graded porous plates (BDFGPP) resting on a Winkler–Pasternak foundation using unified higher-order plate theories (UHOPT). The kinematic displacement fields are exploited to fulfill the null shear [...] Read more.
This manuscript develops for the first time a mathematical formulation of the dynamical behavior of bi-directional functionally graded porous plates (BDFGPP) resting on a Winkler–Pasternak foundation using unified higher-order plate theories (UHOPT). The kinematic displacement fields are exploited to fulfill the null shear strain/stress at the bottom and top surfaces of the plate without needing a shear factor correction. The bi-directional gradation of materials is proposed in the axial (x-axis) and transverse (z-axis) directions according to the power-law distribution function. The cosine function is employed to define the distribution of porosity through the transverse z-direction. Equations of motion in terms of displacements and associated boundary conditions are derived in detail using Hamilton’s principle. The two-dimensional differential integral quadrature method (2D-DIQM) is employed to transform partial differential equations of motion into a system of algebraic equations. Parametric analysis is performed to illustrate the effect of kinematic shear relations, gradation indices, porosity type, elastic foundations, geometrical dimensions, and boundary conditions (BCs) on natural frequencies and mode shapes of BDFGPP. The effect of the porosity coefficient on the natural frequency is dependent on the porosity type. The natural frequency is dependent on the coupling of gradation indices, boundary conditions, and shear distribution functions. The proposed model can be used in designing BDFGPP used in nuclear, marine, aerospace, and civil structures based on their topology and natural frequency constraints. Full article
(This article belongs to the Section E: Applied Mathematics)
Show Figures

Figure 1

25 pages, 5687 KB  
Article
Static Response of 2D FG Porous Plates Resting on Elastic Foundation Using Midplane and Neutral Surfaces with Movable Constraints
by Ammar Melaibari, Salwa A. Mohamed, Amr E. Assie, Rabab A. Shanab and Mohamed A. Eltaher
Mathematics 2022, 10(24), 4784; https://doi.org/10.3390/math10244784 - 15 Dec 2022
Cited by 21 | Viewed by 2325
Abstract
The current manuscript develops a novel mathematical formulation to portray the static deflection of a bi-directional functionally graded (BDFG) porous plate resting on an elastic foundation. The correctness of the static response produced by middle surface (MS) vs. neutral surface (NS) formulations, and [...] Read more.
The current manuscript develops a novel mathematical formulation to portray the static deflection of a bi-directional functionally graded (BDFG) porous plate resting on an elastic foundation. The correctness of the static response produced by middle surface (MS) vs. neutral surface (NS) formulations, and the position of the boundary conditions, are derived in detail. The relation between in-plane displacement field variables on NS and on MS are derived. Bi-directional gradation through the thickness and axial direction are described by the power function; however, the porosity is depicted by cosine function. The displacement field of a plate is controlled by four variables higher order shear deformation theory to satisfy the zero shear at upper and lower surfaces. Elastic foundation is described by the Winkler–Pasternak model. The equilibrium equations are derived by Hamilton’s principles and then solved numerically by being discretized by the differential quadrature method (DQM). The proposed model is confirmed with former published analyses. The numerical parametric studies discuss the effects of porosity type, porosity coefficient, elastic foundations variables, axial and transverse gradation indices, formulation with respect to MS and NS, and position of boundary conditions (BCs) on the static deflection and stresses. Full article
(This article belongs to the Section E2: Control Theory and Mechanics)
Show Figures

Figure 1

21 pages, 4791 KB  
Article
Strain-Gradient Bar-Elastic Substrate Model with Surface-Energy Effect: Virtual-Force Approach
by Suchart Limkatanyu, Worathep Sae-Long, Hamid Mohammad-Sedighi, Jaroon Rungamornrat, Piti Sukontasukkul, Woraphot Prachasaree and Thanongsak Imjai
Nanomaterials 2022, 12(3), 375; https://doi.org/10.3390/nano12030375 - 24 Jan 2022
Cited by 9 | Viewed by 3405
Abstract
This paper presents an alternative approach to formulating a rational bar-elastic substrate model with inclusion of small-scale and surface-energy effects. The thermodynamics-based strain gradient model is utilized to account for the small-scale effect (nonlocality) of the bar-bulk material while the Gurtin–Murdoch surface theory [...] Read more.
This paper presents an alternative approach to formulating a rational bar-elastic substrate model with inclusion of small-scale and surface-energy effects. The thermodynamics-based strain gradient model is utilized to account for the small-scale effect (nonlocality) of the bar-bulk material while the Gurtin–Murdoch surface theory is adopted to capture the surface-energy effect. To consider the bar-surrounding substrate interactive mechanism, the Winkler foundation model is called for. The governing differential compatibility equation as well as the consistent end-boundary compatibility conditions are revealed using the virtual force principle and form the core of the model formulation. Within the framework of the virtual force principle, the axial force field serves as the fundamental solution to the governing differential compatibility equation. The problem of a nanowire embedded in an elastic substrate medium is employed as a numerical example to show the accuracy of the proposed bar-elastic substrate model and advantage over its counterpart displacement model. The influences of material nonlocality on both global and local responses are thoroughly discussed in this example. Full article
(This article belongs to the Special Issue Advances in Micro- and Nanomechanics)
Show Figures

Figure 1

Back to TopTop