Asymptotic Consideration of Rayleigh Waves on a Coated Orthorhombic Elastic Half-Space Reinforced Using an Elastic Winkler Foundation
Abstract
:1. Introduction
2. Formulation of the Problem
3. Derivation of the Effective Boundary Conditions
4. Application of the Perturbation Technique
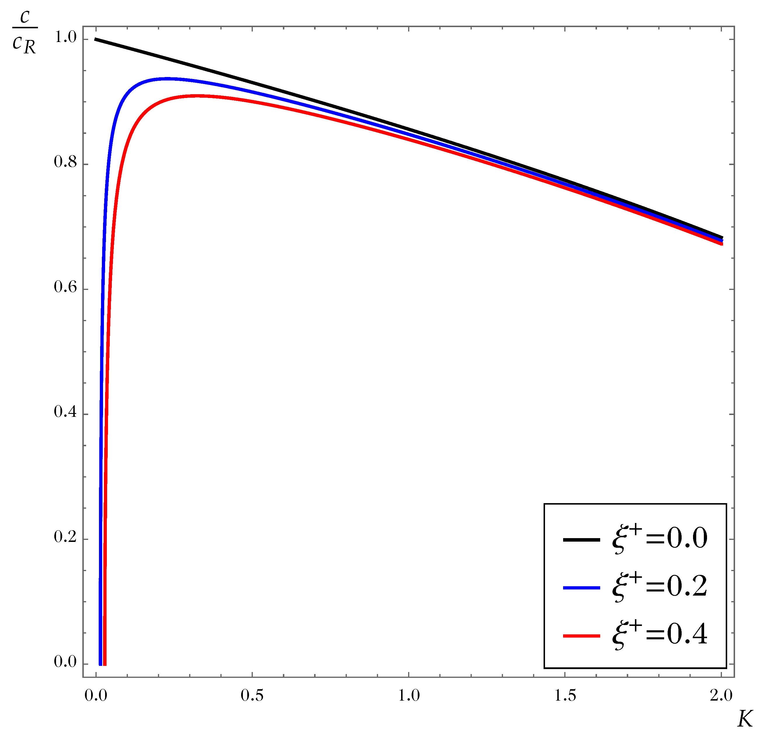
5. Model Verification
6. Conclusions
Funding
Acknowledgments
Conflicts of Interest
References
- Rayleigh, L. On waves propagated along the plane surface of an elastic solid. Proc. Lond. Math. Soc. 1885, 1, 4–11. [Google Scholar] [CrossRef]
- Barnett, D.M.; Lothe, J. Consideration of the existence of surface wave (Rayleigh wave) solutions in anisotropic elastic crystals. J. Phys. F Metal Phys. 1974, 4, 671. [Google Scholar] [CrossRef]
- Fu, Y.B.; Mielke, A. A new identity for the surface-impedance matrix and its application to the determination of surface-wave speeds. Proc. R. Soc. Lond. Ser. A Math. Phys. Eng. Sci. 2002, 458, 2523–2543. [Google Scholar] [CrossRef]
- Destrade, M. Seismic Rayleigh waves on an exponentially graded, orthotropic half-space. Proc. R. Soc. A Math. Phys. Eng. Sci. 2007, 463, 495–502. [Google Scholar] [CrossRef]
- Palermo, A.; Krodel, S.; Marzani, A.; Daraio, C. Engineered metabarrier as shield from seismic surface waves. Sci. Rep. 2016, 6, 39356. [Google Scholar] [CrossRef] [PubMed]
- Cho, Y.S. Non-destructive testing of high strength concrete using spectral analysis of surface waves. NDT E Int. 2003, 36, 229–235. [Google Scholar] [CrossRef]
- Krylov, V.V. (Ed.) Noise and Vibration from High-Speed Trains; Thomas Telford: London, UK, 2001. [Google Scholar]
- Mubaraki, A.M.; Almalki, F.M. Surface waves on a coated homogeneous half-space under the effects of external forces. Symmetry 2022, 14, 2241. [Google Scholar] [CrossRef]
- Mubaraki, A.; Prikazchikov, D.; Kudaibergenov, A. Explicit model for surface waves on an elastic half-space coated by a thin vertically inhomogeneous layer. In DSTA 2019: Perspectives in Dynamical Systems I: Mechatronics and Life Sciences; Springer: Cham, Switzerland, 2019; pp. 267–275. [Google Scholar] [CrossRef]
- Althobaiti, S.; Mubaraki, A.; Nuruddeen, R.I.; Gomez-Aguilar, J.F. Wave propagation in an elastic coaxial hollow cylinder when exposed to thermal heating and external load. Results Phy. 2022, 38, 105582. [Google Scholar] [CrossRef]
- Tiainen, V.M. Amorphous carbon as a bio-mechanical coating-mechanical properties and biological applications. Diam. Relat. Mater. 2001, 10, 153–160. [Google Scholar] [CrossRef]
- Asif, M.; Nuruddeen, R.I.; Nawaz, R. Propagation of elastic waves in a magneto-elastic layer laying over a light Winkler foundation with rotation. Waves Random Complex Media 2023. [Google Scholar] [CrossRef]
- Knopoff, L. The interaction between elastic wave motions and magnetic field in electrical conductors. J. Geophys. Res. 1955, 60, 441–456. [Google Scholar] [CrossRef]
- Chadwick, P. Elastic wave propagation in a magnetic field. Aces IX Congr. Int. Mech. Appl. 1957, 7, 143–158. [Google Scholar]
- Kaliski, S.; Petykiewicz, J. Equation of motion coupled with the field of temperature in a magnetic field involving mechanical and electrical relaxation for anisotropic bodies. Proc. Vib. Probl. 1959, 4, 1. [Google Scholar]
- Abubakar, I. Magneto-elastic SH-type of motion. Pure Appl. Geophys. 1964, 59, 10–20. [Google Scholar] [CrossRef]
- Mubaraki, A.M.; Nuruddeen, R.I.; Gomez-Aguilar, J.F. Modelling the dispersion of waves on a loaded bi-elastic cylindrical tube with variable material constituents. Results Phys. 2023, 53, 106927. [Google Scholar] [CrossRef]
- Nawaz, R.; Asif, M.; Nuruddeen, R.I.; Alahmadi, H. Phase velocity analysis by multi-parametric variations in a highly heterogeneous sandwich plate structure embedded in the Pasternak foundations with viscoelastic interlayer. Mech. Based Des. Struct. Mach. 2023. [Google Scholar] [CrossRef]
- Nath, S.; Sengupta, P.R. Influence of gravity on propagation of waves in a medium in presence of a compressional source. Sadhana 1999, 24, 495–505. [Google Scholar] [CrossRef]
- Nuruddeen, R.I.; Nawaz, R.; Zaigham Zia, Q.M. Effects of thermal stress, magnetic field and rotation on the dispersion of elastic waves in an inhomogeneous five-layered plate with alternating components. Sci. Prog. 2020, 103, 0036850420940469. [Google Scholar] [CrossRef]
- Chadwick, P. Surface and interfacial waves of arbitrary form in isotropic elastic media. J. Elast. 1976, 6, 73–80. [Google Scholar] [CrossRef]
- Abo-Dahab, S.M.; Abd-Alla, A.M.; Khan, A. Rotational effect on Rayleigh, Love and Stoneley waves in non-homogeneous fibre-reinforced anisotropic general viscoelastic media of higher order. Struct. Eng. Mech. 2016, 58, 181–197. [Google Scholar] [CrossRef]
- Chadwick, P. The existence of pure surface modes in elastic materials with orthorhombic symmetry. J. Sound Vibr. 1976, 47, 39–52. [Google Scholar] [CrossRef]
- Nobili, A.; Prikazchikov, D.A. Explicit formulation for the Rayleigh wave field induced by surface stresses in an orthorhombic half-plane. Eur. J. Mech.-A 2018, 70, 86–94. [Google Scholar] [CrossRef]
- Siddiqui, H. Modification of Physical and Chemical Properties of Titanium Dioxide (TiO2) by Ion Implantation for Dye Sensitized Solar Cells. In Ion Beam Techniques and Applications; IntechOpen: Rijeka, Croatia, 2019. [Google Scholar] [CrossRef]
- Marzouki, R. Introductory Chapter: Crystalline Materials and Applications. In Synthesis Methods and Crystallization; IntechOpen: Rijeka, Croatia, 2020. [Google Scholar] [CrossRef]
- Kaplunov, Y.D.; Kossovich, L.Y. Asymptotic model of Rayleigh waves in the far-field zone in an elastic half-plane. In Doklady Physics; Nauka/Interperiodica: Noida, India, 2004; Volume 49, pp. 234–236. [Google Scholar]
- Kaplunov, J.; Zakharov, A.; Prikazchikov, D. Explicit models for elastic and piezoelastic surface waves. IMA J. Appl. Math. 2006, 71, 768–782. [Google Scholar] [CrossRef]
- Sobolev, S.L.; Frank, P.; von Mises, R. Some problems in wave propagation. In Differential and Integral Equations of Mathematical Physics; ONTI: Moscow, Russia, 1937; pp. 468–617. [Google Scholar]
- Friedlander, F.G. On the total reflection of plane waves. Q. J. Mech. Appl. Math. 1948, 1, 376–384. [Google Scholar] [CrossRef]
- Kiselev, A.P.; Parker, D.F. Omni-directional Rayleigh, Stoneley and Schölte waves with general time dependence. Proc. R. Soc. Math. Phys. Eng. 2010, 466, 2241–2258. [Google Scholar] [CrossRef]
- Dai, H.-H.; Kaplunov, J.; Prikachikov, D.A. long-wave model for the surface wave in a coated half-space. Proc. R. Soc. A 2010, 466, 3097–3116. [Google Scholar] [CrossRef]
- Erbaş, B.; Kaplunov, J.; Prikazchikov, D.A.; Şahin, O. The near-resonant regimes of a moving load in a three-dimensional problem for a coated elastic half-space. Math. Mech. Solids 2017, 22, 89–100. [Google Scholar] [CrossRef]
- Kaplunov, J.; Prikazchikov, D.A.; Erbaş, B.; Şahin, O. On a 3D moving load problem for an elastic half space. Wave Motion 2013, 50, 1229–1238. [Google Scholar] [CrossRef]
- Wootton, P.T.; Kaplunov, J.; Colquitt, D.J. An asymptotic hyperbolic–elliptic model for flexural-seismic metasurfaces. Proc. R. Soc. A 2019, 475, 20190079. [Google Scholar] [CrossRef]
- Ege, N.; Erbaş, B.; Prikazchikov, D.A. On the 3D Rayleigh wave field on an elastic half-space subject to tangential surface loads. ZAMM J. Appl. Math. Mech./Z. Angew. Math. Mech. 2015, 95, 1558–1565. [Google Scholar] [CrossRef]
- Kaplunov, J.; Prikazchikov, D.A. Explicit models for surface, interfacial and edge waves. In Dynamic Localization Phenomena in Elasticity, Acoustics and Electromagnetism; Springer: Berlin/Heidelberg, Germany, 2013; pp. 73–114. [Google Scholar]
- Kaplunov, J.; Prikazchikov, D.A. Asymptotic theory for Rayleigh and Rayleigh-type waves. Adv. Appl. Mech. 2017, 50, 1–106. [Google Scholar]
- Fu, Y.; Kaplunov, J.; Prikazchikov, D. Reduced model for the surface dynamics of a generally anisotropic elastic half-space. Proc. R. Soc. A 2020, 476, 20190590. [Google Scholar] [CrossRef]
- Erbas, B.; Kaplunov, J.; Nobili, A.; Kilic, G. Dispersion of elastic waves in a layer interacting with a Winkler foundation. J. Acoust. Soc. Am. 2018, 144, 2918–2925. [Google Scholar] [CrossRef] [PubMed]
- Kaplunov, J.; Prikazchikov, D.; Sultanova, L. Justification and refinement of Winkler-Fuss hypothesis. Z. Math. Phys. 2018, 69, 1–15. [Google Scholar] [CrossRef]
- Achenbach, J.D. Wave Propagation in Elastic Solids, Eight Impression; Elsevier: Amsterdam, The Netherlands, 1999. [Google Scholar]
- Vinh, P.C.; Linh, N.T.K. An approximate secular equation of Rayleigh waves propagating in an orthotropic elastic half-space coated by a thin orthotropic elastic layer. Wave Motion 2012, 49, 81–689. [Google Scholar] [CrossRef]
- Sotnikov, A.V.; Schmidt, H.; Weihnacht, M.; Smirnova, E.P.; Chemekova, T.Y.; Makarov, Y.N. Elastic and piezoelectric properties of AlN and LiAlO2 single crystals. IEEE Trans. Ultrason. Ferroelectr. Freq. Control 2010, 57, 808–811. [Google Scholar] [CrossRef] [PubMed]
- Tsubouchi, K.; Sugai, K.; Mikoshiba, N. AlN material constants evaluation and SAW properties on AlN/Al2O3 and AlN/Si. In Proceedings of the 1981 Ultrasonics Symposium, Winnipeg, MB, Canada, 10–12 September 1981; pp. 375–380. [Google Scholar]



| Disclaimer/Publisher’s Note: The statements, opinions and data contained in all publications are solely those of the individual author(s) and contributor(s) and not of MDPI and/or the editor(s). MDPI and/or the editor(s) disclaim responsibility for any injury to people or property resulting from any ideas, methods, instructions or products referred to in the content. | 
© 2023 by the author. Licensee MDPI, Basel, Switzerland. This article is an open access article distributed under the terms and conditions of the Creative Commons Attribution (CC BY) license (https://creativecommons.org/licenses/by/4.0/).
Share and Cite
Mubaraki, A.M. Asymptotic Consideration of Rayleigh Waves on a Coated Orthorhombic Elastic Half-Space Reinforced Using an Elastic Winkler Foundation. Math. Comput. Appl. 2023, 28, 109. https://doi.org/10.3390/mca28060109
Mubaraki AM. Asymptotic Consideration of Rayleigh Waves on a Coated Orthorhombic Elastic Half-Space Reinforced Using an Elastic Winkler Foundation. Mathematical and Computational Applications. 2023; 28(6):109. https://doi.org/10.3390/mca28060109
Chicago/Turabian StyleMubaraki, Ali M. 2023. "Asymptotic Consideration of Rayleigh Waves on a Coated Orthorhombic Elastic Half-Space Reinforced Using an Elastic Winkler Foundation" Mathematical and Computational Applications 28, no. 6: 109. https://doi.org/10.3390/mca28060109
APA StyleMubaraki, A. M. (2023). Asymptotic Consideration of Rayleigh Waves on a Coated Orthorhombic Elastic Half-Space Reinforced Using an Elastic Winkler Foundation. Mathematical and Computational Applications, 28(6), 109. https://doi.org/10.3390/mca28060109
 
        

