Sign in to use this feature.

Years

Between: -

Subjects

remove_circle_outline
remove_circle_outline
remove_circle_outline
remove_circle_outline
remove_circle_outline
remove_circle_outline

Journals

Article Types

Countries / Regions

Search Results (8)

Search Parameters:
Keywords = Unitary ESPRIT

Order results
Result details
Results per page
Select all
Export citation of selected articles as:
15 pages, 441 KB  
Article
Efficient Nyström-Based Unitary Single-Tone 2D DOA Estimation for URA Signals
by Liping Yuan, Ke Wang and Fengkai Luan
Mathematics 2025, 13(15), 2335; https://doi.org/10.3390/math13152335 - 22 Jul 2025
Viewed by 280
Abstract
We propose an efficient Nyström-based unitary subspace method for low-complexity two-dimensional (2D) direction-of-arrival (DOA) estimation in uniform rectangular array (URA) signal processing systems. The conventional high-resolution DOA estimation methods often suffer from excessive computational complexity, particularly when dealing with large-scale antenna arrays. The [...] Read more.
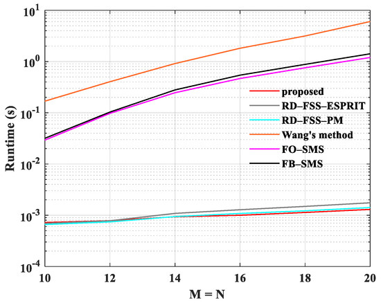
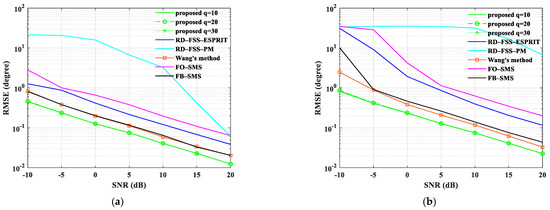
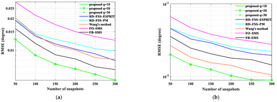
We propose an efficient Nyström-based unitary subspace method for low-complexity two-dimensional (2D) direction-of-arrival (DOA) estimation in uniform rectangular array (URA) signal processing systems. The conventional high-resolution DOA estimation methods often suffer from excessive computational complexity, particularly when dealing with large-scale antenna arrays. The proposed method addresses this challenge by combining the Nyström approximation with a unitary transformation to reduce the computational burden while maintaining estimation accuracy. The signal subspace is approximated using a partitioned covariance matrix, and a real-valued transformation is applied to further simplify the eigenvalue decomposition (EVD) process. Furthermore, the linear prediction coefficients are estimated via a weighted least squares (WLS) approach, enabling robust extraction of the angular parameters. The 2D DOA estimates are then derived from these coefficients through a closed-form solution, eliminating the need for exhaustive spectral searches. Numerical simulations demonstrate that the proposed method achieves comparable estimation performance to state-of-the-art techniques while significantly reducing computational complexity. For a fixed array size of M=N=20, the proposed method demonstrates significant computational efficiency, requiring less than 50% of the running time compared to conventional ESPRIT, and only 6% of the time required by ML methods, while maintaining similar performance. This makes it particularly suitable for real-time applications where computational efficiency is critical. The novelty lies in the integration of Nyström approximation and unitary subspace techniques, which jointly enable efficient and accurate 2D DOA estimation without sacrificing robustness against noise. The method is applicable to a wide range of array processing scenarios, including radar, sonar, and wireless communications. Full article
(This article belongs to the Section E2: Control Theory and Mechanics)
Show Figures

Figure 1

16 pages, 868 KB  
Article
2D-Unitary ESPRIT Based Multi-Target Joint Range and Velocity Estimation Algorithm for FMCW Radar
by Dan Wen, Huiyue Yi, Wuxiong Zhang and Hui Xu
Appl. Sci. 2023, 13(18), 10448; https://doi.org/10.3390/app131810448 - 19 Sep 2023
Cited by 7 | Viewed by 1720
Abstract
Millimeter-wave FMCW radar has been widely used in joint range-velocity estimation of multiple targets. However, most existing algorithms are unable to estimate the range-velocity information with high accuracy simultaneously and fail to discriminate the targets with either closely spaced ranges or closely spaced [...] Read more.
Millimeter-wave FMCW radar has been widely used in joint range-velocity estimation of multiple targets. However, most existing algorithms are unable to estimate the range-velocity information with high accuracy simultaneously and fail to discriminate the targets with either closely spaced ranges or closely spaced velocities in the 2D range-Doppler spectrum. In order to deal with these problems, this paper proposes a 2D-Unitary ESPRIT-based joint range and velocity estimation algorithm of multiple targets for FMCW radar. Firstly, The 1D-IF signal is constructed into a 2D virtual array signal, the virtual array signals are preprocessed by a 2D-spatial smoothing technique to generate a new matrix signal. Then, according to the 2D-Unitary ESPRIT algorithm, the 2D real-valued information of the target parameters is obtained from this matrix signal, and then a new complex-value matrix is constructed. Finally, the eigenvalue decomposition of this new complex-value matrix is performed, and the range-velocity estimates of multiple targets are, respectively, calculated from the real and imaginary parts of the eigenvalues, and paired automatically. The simulation results illustrate that the proposed algorithm not only provides highly accurate range-velocity estimates but also has high-resolution performance and achieves automatic pairing of the range-velocity estimates in multi-target scenarios, thus effectively improving the multi-target joint range and velocity estimation performance of FMCW radar. Full article
(This article belongs to the Section Electrical, Electronics and Communications Engineering)
Show Figures

Figure 1

19 pages, 4726 KB  
Article
A Nyström-Based Low-Complexity Algorithm with Improved Effective Array Aperture for Coherent DOA Estimation in Monostatic MIMO Radar
by Teng Ma, Jiang Du and Huaizong Shao
Remote Sens. 2022, 14(11), 2646; https://doi.org/10.3390/rs14112646 - 31 May 2022
Cited by 6 | Viewed by 2222
Abstract
In this paper, we propose a computationally efficient algorithm with improved effective aperture for coherent angle estimation in a monostatic multiple-input multiple-output (MIMO) radar. First, the direction matrix of MIMO radar is mapped into a low-dimensional matrix of virtual uniform linear array (ULA). [...] Read more.
In this paper, we propose a computationally efficient algorithm with improved effective aperture for coherent angle estimation in a monostatic multiple-input multiple-output (MIMO) radar. First, the direction matrix of MIMO radar is mapped into a low-dimensional matrix of virtual uniform linear array (ULA). Then, an augmented data expansion matrix with improved effective aperture is obtained by exploiting the Vandermonde-like structure of the low-dimensional direction matrix and radar cross section (RCS) matrix to enlarge the aperture of the array. Next, a unitary transformation is used to transform the augmented matrix into a real value and the approximate signal subspace of the augmented matrix is obtained by the Nyström method, which can reduce the computational complexity. The eigenvectors of the approximate signal subspace are used to reconstruct the matrix for direct decorrelation processing. Finally, direction of arrivals (DOAs) can be estimated faster by utilizing the unitary ESPRIT algorithm since the rotation invariance of the extended reconstruction matrix still exists. The proposed algorithm has a lower total computational complexity, and the estimation accuracy is improved by utilizing real values and enlarging the array aperture for estimation. Several theoretical analyses and simulation results confirm the effectiveness and advantages of the proposed method. Full article
Show Figures

Figure 1

17 pages, 2367 KB  
Article
A Novel Unitary ESPRIT Algorithm for Monostatic FDA-MIMO Radar
by Feilong Liu, Xianpeng Wang, Mengxing Huang, Liangtian Wan, Huafei Wang and Bin Zhang
Sensors 2020, 20(3), 827; https://doi.org/10.3390/s20030827 - 4 Feb 2020
Cited by 32 | Viewed by 4689
Abstract
A novel unitary estimation of signal parameters via rotational invariance techniques (ESPRIT) algorithm, for the joint direction of arrival (DOA) and range estimation in a monostatic multiple-input multiple-output (MIMO) radar with a frequency diverse array (FDA), is proposed. Firstly, by utilizing the property [...] Read more.
A novel unitary estimation of signal parameters via rotational invariance techniques (ESPRIT) algorithm, for the joint direction of arrival (DOA) and range estimation in a monostatic multiple-input multiple-output (MIMO) radar with a frequency diverse array (FDA), is proposed. Firstly, by utilizing the property of Centro-Hermitian of the received data, the extended real-valued data is constructed to improve estimation accuracy and reduce computational complexity via unitary transformation. Then, to avoid the coupling between the angle and range in the transmitting array steering vector, the DOA is estimated by using the rotation invariance of the receiving subarrays. Thereafter, an automatic pairing method is applied to estimate the range of the target. Since phase ambiguity is caused by the phase periodicity of the transmitting array steering vector, a removal method of phase ambiguity is proposed. Finally, the expression of Cramér–Rao Bound (CRB) is derived and the computational complexity of the proposed algorithm is compared with the ESPRIT algorithm. The effectiveness of the proposed algorithm is verified by simulation results. Full article
Show Figures

Figure 1

22 pages, 2727 KB  
Article
An Improved Two-Dimensional Direction-Of-Arrival Estimation Algorithm for L-Shaped Nested Arrays with Small Sample Sizes
by Xiaofeng Gao, Xinhong Hao, Ping Li and Guolin Li
Sensors 2019, 19(9), 2176; https://doi.org/10.3390/s19092176 - 10 May 2019
Cited by 7 | Viewed by 3337
Abstract
In this paper, an improved two-dimensional (2-D) direction of arrival (DOA) estimation algorithm for L-shaped nested arrays is proposed. Unlike the approach for a classical nested array, which use the auto-correlation matrix (ACM) to increase the degrees of freedom (DOF), we utilize the [...] Read more.
In this paper, an improved two-dimensional (2-D) direction of arrival (DOA) estimation algorithm for L-shaped nested arrays is proposed. Unlike the approach for a classical nested array, which use the auto-correlation matrix (ACM) to increase the degrees of freedom (DOF), we utilize the cross-correlation matrix (CCM) of different sub-arrays to generate two long consecutive virtual arrays. These acquire a large number of DOF without redundant elements and eliminate noise effects. Furthermore, we reconstruct the CCM based on the singular value decomposition (SVD) operation in order to reduce the perturbation of noise for small numbers of samples. To cope with the matrix rank deficiency of the virtual arrays, we construct the full rank equivalent covariance matrices by using the output and its conjugate vector of virtual arrays. The unitary estimation of signal parameters via rotational invariance technique (ESPRIT) is then performed on the covariance matrices to obtain the DOA of incident signals with low computational complexity. Finally, angle pairing is achieved by deriving the equivalent signal vector of the virtual arrays using the estimated angles. Numerical simulation results show that the proposed algorithm not only provides more accurate 2-D DOA estimation performance with low complexity, but also achieves angle estimation for small numbers of samples compared to existing similar methods. Full article
(This article belongs to the Section Remote Sensors)
Show Figures

Figure 1

14 pages, 3724 KB  
Article
Two-Dimensional Direction-of-Arrival Fast Estimation of Multiple Signals with Matrix Completion Theory in Coprime Planar Array
by Haiyun Xu, Yankui Zhang, Bin Ba, Daming Wang and Xiangzhi Li
Sensors 2018, 18(6), 1741; https://doi.org/10.3390/s18061741 - 28 May 2018
Cited by 9 | Viewed by 3343
Abstract
In estimating the two-dimensional (2D) direction-of-arrival (DOA) using a coprime planar array, the main issues are the high complexity of spectral peak search and the limited degree of freedom imposed by the number of sensors. In this paper, we present an algorithm based [...] Read more.
In estimating the two-dimensional (2D) direction-of-arrival (DOA) using a coprime planar array, the main issues are the high complexity of spectral peak search and the limited degree of freedom imposed by the number of sensors. In this paper, we present an algorithm based on the matrix completion theory in coprime planar array that reduces the computational complexity and obtains a high degree of freedom. The algorithm first analyzes the covariance matrix of received signals to estimate the covariance matrix of a virtual uniform rectangular array, which has the same aperture as the coprime planar array. Matrix completion theory is then applied to estimate the missing elements of the virtual array covariance matrix. Finally, a closed-form DOA solution is obtained using the unitary estimation signal parameters via rotational invariance techniques (Unitary-ESPRIT). Simulation results show that the proposed algorithm has a high degree of freedom, enabling the estimation of more signal DOAs than the number of sensors. The proposed algorithm has reduced computational complexity because the spectral peak search is replaced by Unitary-ESPRIT, but attains similarly high levels accuracy to those of the 2D multiple signal classification algorithm. Full article
(This article belongs to the Section Physical Sensors)
Show Figures

Figure 1

12 pages, 172 KB  
Article
A Unitary ESPRIT Scheme of Joint Angle Estimation for MOTS MIMO Radar
by Chao Wen and Guangming Shi
Sensors 2014, 14(8), 14411-14422; https://doi.org/10.3390/s140814411 - 7 Aug 2014
Cited by 4 | Viewed by 5398
Abstract
The transmit array of multi-overlapped-transmit-subarray configured bistatic multiple-input multiple-output (MOTS MIMO) radar is partitioned into a number of overlapped subarrays, which is different from the traditional bistatic MIMO radar. In this paper, a new unitary ESPRIT scheme for joint estimation of the direction [...] Read more.
The transmit array of multi-overlapped-transmit-subarray configured bistatic multiple-input multiple-output (MOTS MIMO) radar is partitioned into a number of overlapped subarrays, which is different from the traditional bistatic MIMO radar. In this paper, a new unitary ESPRIT scheme for joint estimation of the direction of departure (DOD) and the direction of arrival (DOA) for MOTS MIMO radar is proposed. In our method, each overlapped-transmit-subarray (OTS) with the identical effective aperture is regarded as a transmit element and the characteristics that the phase delays between the two OTSs is utilized. First, the measurements corresponding to all the OTSs are partitioned into two groups which have a rotational invariance relationship with each other. Then, the properties of centro-Hermitian matrices and real-valued rotational invariance factors are exploited to double the measurement samples and reduce computational complexity. Finally, the close-formed solution of automatically paired DOAs and DODs of targets is derived in a new manner. The proposed scheme provides increased estimation accuracy with the combination of inherent advantages of MOTS MIMO radar with unitary ESPRIT. Simulation results are presented to demonstrate the effectiveness and advantage of the proposed scheme. Full article
(This article belongs to the Section Physical Sensors)
Show Figures

17 pages, 237 KB  
Article
2-D Unitary ESPRIT-Like Direction-of-Arrival (DOA) Estimation for Coherent Signals with a Uniform Rectangular Array
by Shiwei Ren, Xiaochuan Ma, Shefeng Yan and Chengpeng Hao
Sensors 2013, 13(4), 4272-4288; https://doi.org/10.3390/s130404272 - 28 Mar 2013
Cited by 39 | Viewed by 8781
Abstract
A unitary transformation-based algorithm is proposed for two-dimensional (2-D) direction-of-arrival (DOA) estimation of coherent signals. The problem is solved by reorganizing the covariance matrix into a block Hankel one for decorrelation first and then reconstructing a new matrix to facilitate the unitary transformation. [...] Read more.
A unitary transformation-based algorithm is proposed for two-dimensional (2-D) direction-of-arrival (DOA) estimation of coherent signals. The problem is solved by reorganizing the covariance matrix into a block Hankel one for decorrelation first and then reconstructing a new matrix to facilitate the unitary transformation. By multiplying unitary matrices, eigenvalue decomposition and singular value decomposition are both transformed into real-valued, so that the computational complexity can be reduced significantly. In addition, a fast and computationally attractive realization of the 2-D unitary transformation is given by making a Kronecker product of the 1-D matrices. Compared with the existing 2-D algorithms, our scheme is more efficient in computation and less restrictive on the array geometry. The processing of the received data matrix before unitary transformation combines the estimation of signal parameters via rotational invariance techniques (ESPRIT)-Like method and the forward-backward averaging, which can decorrelate the impinging signalsmore thoroughly. Simulation results and computational order analysis are presented to verify the validity and effectiveness of the proposed algorithm. Full article
(This article belongs to the Section Physical Sensors)
Show Figures

Back to TopTop