Sign in to use this feature.

Years

Between: -

Subjects

remove_circle_outline
remove_circle_outline
remove_circle_outline
remove_circle_outline
remove_circle_outline

Journals

Article Types

Countries / Regions

Search Results (9)

Search Parameters:
Keywords = Tafluprost

Order results
Result details
Results per page
Select all
Export citation of selected articles as:
14 pages, 1925 KB  
Article
The Effect of Preoperative Use of High- vs. Low-PAP-Inducing-Potential FP Agonists on the Surgical Outcomes of Trabeculectomy and AGV Implantation
by Iyo Yamazaki, Masayo Kimura, Risaki Sakamoto, Yukiko Kawai, Tomomi Tsukamura, Hiroshi Morita, Aki Kato, Hironori Ozeki, Miho Nozaki and Tsutomu Yasukawa
J. Clin. Med. 2025, 14(19), 6940; https://doi.org/10.3390/jcm14196940 - 30 Sep 2025
Viewed by 275
Abstract
Background: Prostanoid FP receptor agonists (FP agonists) are widely used as first-line therapies for glaucoma but differ in their potential to induce prostaglandin-associated periorbitopathy (PAP), which may affect surgical outcomes. While several studies have reported an association between PAP and trabeculectomy failure, [...] Read more.
Background: Prostanoid FP receptor agonists (FP agonists) are widely used as first-line therapies for glaucoma but differ in their potential to induce prostaglandin-associated periorbitopathy (PAP), which may affect surgical outcomes. While several studies have reported an association between PAP and trabeculectomy failure, the impact of these agents on tube shunt procedures such as Ahmed glaucoma valve (AGV) implantation is not well established. Methods: We retrospectively analyzed 298 eyes of 221 patients who underwent trabeculectomy (n = 162) or AGV implantation (n = 136) between 2018 and 2023. The eyes were stratified by preoperative FP agonist use into the high-PAP-inducing-potential (bimatoprost or travoprost) and low-PAP-inducing-potential (latanoprost or tafluprost) groups. The primary outcome was the cumulative 2-year surgical survival rate under three intraocular pressure (IOP)-based definitions. Results: In the trabeculectomy group, the high-PAP-potential group had significantly lower 2-year survival rates than the low-PAP-potential group under all definitions. Cox proportional hazards analysis identified use of a high-PAP-potential FP agonist as a significant risk factor for surgical failure. In the AGV group, a difference between groups was seen only under the most lenient definition, with no differences under stricter criteria. Conclusions: The preoperative use of high-PAP-potential FP agonists is associated with poorer outcomes after trabeculectomy. Although the effect on AGV implantation appears limited, it may still influence early postoperative results. These findings underscore the need to consider PAP risk and medication history when selecting surgical procedures for glaucoma. Full article
(This article belongs to the Special Issue New Insights into Glaucoma)
Show Figures

Figure 1

15 pages, 2084 KB  
Article
Advanced Computational Pipeline for FAK Inhibitor Discovery: Combining Multiple Docking Methods with MD and QSAR for Cancer Therapy
by Pinar Siyah
Computation 2024, 12(11), 222; https://doi.org/10.3390/computation12110222 - 4 Nov 2024
Viewed by 1578
Abstract
Synthetic lethality, involving the simultaneous deactivation of two genes, disrupts cellular functions or induces cell death. This study examines its role in cancer, focusing on focal adhesion kinase and Neurofibromin 2. Inhibiting FAK, crucial for synthetic lethality with NF2/Merlin, offers significant cancer treatment [...] Read more.
Synthetic lethality, involving the simultaneous deactivation of two genes, disrupts cellular functions or induces cell death. This study examines its role in cancer, focusing on focal adhesion kinase and Neurofibromin 2. Inhibiting FAK, crucial for synthetic lethality with NF2/Merlin, offers significant cancer treatment potential. No FAK inhibitor has been clinically approved, underscoring the need for new, effective inhibitors. The small-molecule FAK inhibitors identified in this study show promise, with SP docking, IFD, QPLD, and MD simulations revealing intricate interactions. Based on the comprehensive analysis, the MM/GBSA scores from SP docking for amprenavir, bosutinib, ferric derisomaltose, flavin adenine dinucleotide, lactulose, and tafluprost were determined as −72.81, −71.84, −76.70, −69.09, −74.86, and −65.77 kcal/mol, respectively. The MMGBSA results following IFD docking MD identified the top-performing compounds with scores of −84.0518, −75.2591, −71.8943, −84.2638, −56.3019, and −75.3873 kcal/mol, respectively. The MMGBSA results from QPLD docking MD identified the leading compounds with scores of −77.8486, −69.5773, −71.9171, N/A, −62.5716, and −66.8067 kcal/mol, respectively. In conclusion, based on the MMGBSA scores obtained using the three docking methods and the 100 ns MD simulations, and considering the combined evaluation of these methods, amprenavir, ferric derisomaltose, and bosutinib are proposed as the most promising candidates. Full article
(This article belongs to the Section Computational Biology)
Show Figures

Figure 1

15 pages, 5846 KB  
Article
Photocrosslinkable Sericin Hydrogel Injected into the Anterior Chamber of Mice with Chronic Ocular Hypertension Efficacy, Medication Sensitivity, and Material Safety
by Li Liao, Wenxiang Zhu, Hairong Liu, Ping Wu, Xinyue Zhang, Xiaoyu Zhou, Jiahao Xu, Yang Zhao and Xuanchu Duan
Bioengineering 2024, 11(6), 607; https://doi.org/10.3390/bioengineering11060607 - 13 Jun 2024
Viewed by 2110
Abstract
(1) Background: A rise in intraocular pressure (IOP) and decreased retinal ganglion cells are frequent indicators of effective modeling of chronic ocular hypertension in mice. In this study, the sensitivity of the mouse model to pharmaceutical therapy to reduce intraocular tension was assessed, [...] Read more.
(1) Background: A rise in intraocular pressure (IOP) and decreased retinal ganglion cells are frequent indicators of effective modeling of chronic ocular hypertension in mice. In this study, the sensitivity of the mouse model to pharmaceutical therapy to reduce intraocular tension was assessed, the model’s safety was confirmed using a cytotoxicity test, and the success rate of the mouse model of ocular hypertension was assessed by assessing alterations in IOP and neurons in the ganglion cell layer. (2) Methods: A mouse model of chronic ocular hypertension was produced in this study by employing photocrosslinkable sericin hydrogel injection and LED lamp irradiation. The eyes of 25 C57BL/6 male mice were subjected to 405 nm UV light from the front for 2 min after being injected with 5 μL of sericin hydrogel in the anterior chamber of the left eye. IOP in the mice was measured daily, and IOP rises greater than 5 mmHg were considered intraocular hypertension. When the IOP was lowered, the intervention was repeated once, but the interval between treatments was at least 2 weeks. The right eyes were not treated with anything as a normal control group. Mice eyeballs were stained with HE, Ni-type, and immunofluorescence to assess the model’s efficacy. Two common drugs (tafluprost eye drops and timolol eye drops) were provided for one week after four weeks of stable IOP, and IOP changes were assessed to determine the drug sensitivity of the mouse model of chronic ocular hypertension. Furthermore, CellTiter 96® AQueous One Solution Cell Proliferation Assay (MTS) was utilized to investigate the safety of the ocular hypertension model by evaluating the deleterious effects of photocrosslinkable sericin hydrogel on cells. (3) Results: Before injection, the basal IOP was (9.42 ± 1.28) mmHg (1 kPa = 7.5 mmHg) in the experimental group and (9.08 ± 1.21) in the control group. After injection, cataract occurred in one eye, corneal edema in one eye, endophthalmitis in one eye, iris incarceration in one eye, and eyeball atrophy in one eye. Five mice with complications were excluded from the experiment, and twenty mice were left. Four weeks after injection, the IOP of the experimental group was maintained at (19.7 ± 4.52) mmHg, and that of the control group was maintained at (9.92 ± 1.55) mmHg, and the difference between the two groups was statistically significant (p < 0.05). Before the intervention, the IOP in the experimental group was (21.7 ± 3.31) mmHg in the high IOP control group, (20.33 ± 2.00) mmHg in the tafluprost eye drops group, and (20.67 ± 3.12) mmHg in the timolol maleate eye drops group. The IOP after the intervention was (23.2 ± 1.03) mmHg, (12.7 ± 2.11) mmHg, and (10.4 ± 1.43) mmHg, respectively. Before and after the intervention, there were no significant differences in the high-IOP control group (p > 0.05), there were statistically significant differences in the timolol eye drops group (p < 0.05), and there were statistically significant differences in the tafluprost eye drops group (p < 0.05). One week after drug withdrawal, there was no significant difference in IOP among the three groups (p > 0.05). In the high-IOP group, the protein (sericin hydrogel) showed a short strips or fragmented structure in the anterior chamber, accompanied by a large number of macrophages and a small number of plasma cells. The shape of the chamber angle was normal in the blank control group. The number of retinal ganglion cells decreased significantly 8 weeks after injection of sericin hydrogel into the anterior chamber, and the difference was statistically significant compared with the blank control group (p < 0.05). After the cells were treated with photocrosslinkable sericin hydrogel, there was no significant difference in the data of the CellTiter 96® assay kit of MTS compared with the blank control group (p > 0.05). (4) Conclusions: A mouse model of chronic intraocular hypertension can be established successfully by injecting sericin in the anterior chamber and irradiating with ultraviolet light. The model can simulate the structural and functional changes of glaucoma and can effectively reduce IOP after the action of most antihypertensive drugs, and it is highly sensitive to drugs. Sericin has no obvious toxic effect on cells and has high safety. Full article
(This article belongs to the Special Issue Ophthalmic Engineering: Second Edition)
Show Figures

Graphical abstract

16 pages, 1111 KB  
Systematic Review
Effect of Topical Prostaglandin Analogue Therapy on Central Corneal Thickness: A Systematic Review
by Jae-Yun Kim and Hyeon-Woo Yim
J. Clin. Med. 2023, 12(1), 44; https://doi.org/10.3390/jcm12010044 - 21 Dec 2022
Cited by 10 | Viewed by 3118
Abstract
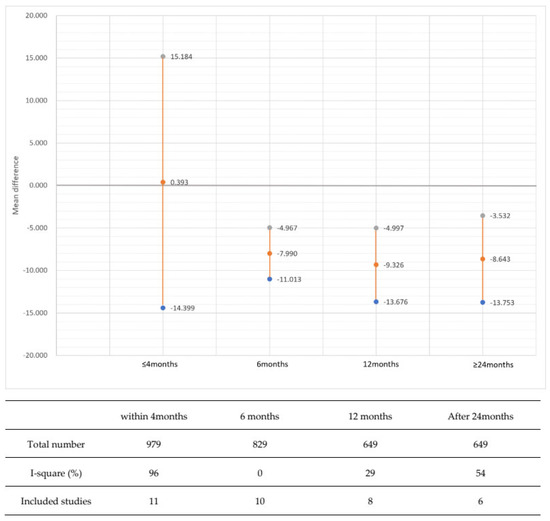
To investigate whether prostaglandin analogue (PGA) eyedrops have a significant effect on central corneal thickness (CCT), we conducted a systematic search of literature published from 2000 to 2021. Among the studies conducted on topical PGA therapy in open-angle glaucoma or ocular hypertension patients [...] Read more.
To investigate whether prostaglandin analogue (PGA) eyedrops have a significant effect on central corneal thickness (CCT), we conducted a systematic search of literature published from 2000 to 2021. Among the studies conducted on topical PGA therapy in open-angle glaucoma or ocular hypertension patients over 18 years old, prospective studies with CCT change as an outcome were included. A single-arm meta-analysis was conducted to assess the overall effect on CCT, and subgroup analysis according to exposure time of PGA eyedrops was also performed. We counted the number of articles that reported on severe events (CCT reduction of 25 μm or more) and obtained their proportion. The methodological quality was assessed by the McHarm tool. Twenty-two reports of prospective studies were selected. The results of the single-arm meta-analysis showed very high heterogeneity. Still, in subgroup analysis, when PGA was used for more than 6 months, heterogeneity was low, and a significant decrease in CCT was observed. Severe events were reported in two reports and occurred in 3.8% to 14.8% of participants. PGA eyedrop use may cause a clinically significant CCT decrease, requiring CCT follow-up. Full article
(This article belongs to the Section Ophthalmology)
Show Figures

Figure 1

12 pages, 420 KB  
Article
Efficacy, Safety and Patient-Reported Outcomes with Preservative-Free (PF) Tafluprost or PF-Dorzolamide/Timolol Compared with Preserved Latanoprost: A Prospective Multicenter Study in Korean Glaucoma Patients with Ocular Surface Disease
by Sang-Woo Park, Jiwoong Lee and Michael S. Kook
Pharmaceuticals 2022, 15(2), 201; https://doi.org/10.3390/ph15020201 - 7 Feb 2022
Cited by 7 | Viewed by 3806
Abstract
To compare the efficacy, patient-reported satisfaction, and safety of preservative-free (PF)-tafluprost, PF-dorzolamide/timolol and preservative-containing (P)-latanoprost in Korean glaucoma patients with ocular surface disease (OSD). In a multicenter, prospective, interventional, non-randomized, controlled 12-week trial, 107 eligible patients received PF-tafluprost (n = 37), PF-dorzolamide/timolol [...] Read more.
To compare the efficacy, patient-reported satisfaction, and safety of preservative-free (PF)-tafluprost, PF-dorzolamide/timolol and preservative-containing (P)-latanoprost in Korean glaucoma patients with ocular surface disease (OSD). In a multicenter, prospective, interventional, non-randomized, controlled 12-week trial, 107 eligible patients received PF-tafluprost (n = 37), PF-dorzolamide/timolol (n = 34), or P-latanoprost eye drops (n = 36). Outcomes included changes from baseline in OSD Index (OSDI) scores (primary endpoint), intraocular pressure (IOP), and patient-reported treatment satisfaction, and safety at 12 weeks. At 12 weeks, the mean total OSDI and subdomain (dry eye symptoms, visual-related function, environmental triggers) scores significantly improved from baseline with PF-tafluprost and PF-dorzolamide/timolol, but not with P-latanoprost. Significantly more PF-tafluprost than P-latanoprost recipients reported ‘highly improved/improved’ satisfaction (no significant difference between PF-dorzolamide/timolol and P-latanoprost). IOP changes were comparable among all three treatment groups. No new safety concerns were observed. PF-tafluprost and PF-dorzolamide/timolol showed statistically and clinically significant reductions in OSDI compared with P-latanoprost in Korean glaucoma patients with OSD. Full article
(This article belongs to the Section Pharmacology)
Show Figures

Figure 1

12 pages, 1404 KB  
Article
Long-Term Effectiveness and Safety of Tafluprost, Travoprost, and Latanoprost in Korean Patients with Primary Open-Angle Glaucoma or Normal-Tension Glaucoma: A Multicenter Retrospective Cohort Study (LOTUS Study)
by Joon-Mo Kim, Kyung-Rim Sung, Hwang-Ki Kim, Sang-Woo Park, Eun-Ji Lee, Jin-Wook Jeoung, Hae-Young Lopilly Park, Jaehong Ahn, Chungkwon Yoo and Chan-Yun Kim
J. Clin. Med. 2021, 10(12), 2717; https://doi.org/10.3390/jcm10122717 - 19 Jun 2021
Cited by 7 | Viewed by 4983
Abstract
This multicenter retrospective cohort study compared the effectiveness and safety of long-term tafluprost, travoprost, or latanoprost in patients with primary open-angle glaucoma (POAG) or normal-tension glaucoma (NTG). Data were extracted from electronic medical records of 300 patients treated with tafluprost, travoprost, or latanoprost [...] Read more.
This multicenter retrospective cohort study compared the effectiveness and safety of long-term tafluprost, travoprost, or latanoprost in patients with primary open-angle glaucoma (POAG) or normal-tension glaucoma (NTG). Data were extracted from electronic medical records of 300 patients treated with tafluprost, travoprost, or latanoprost for >6 months. Propensity matching for age and sex was used for effectiveness and safety comparisons. The primary endpoint was visual field (VF) progression via mean deviation (MD) slope. Secondary endpoints were change of MD, intraocular pressure, pattern standard deviation, VF index, and advanced glaucoma intervention study score. Treatment-related adverse events (AEs) were also compared between groups. Overall, 216 POAG or NTG patients were matched into Match Set 1 (72 patients/group), and 177 NTG-only patients in Match Set 2 (59 patients/group) according to: age (mean: 61, 62 years) and sex (male: 53, 56%). There were no statistically significant between-group differences regarding MD slope (p = 0.413, p = 0.374 in Match Sets 1 and 2, respectively). There were no significant between-group differences/tendencies regarding secondary endpoints. No AEs were serious, and there were no significant between-group differences regarding reported AEs. In patients with POAG or NTG, long-term tafluprost, travoprost, or latanoprost showed similar effects. All three prostaglandin analogs had good long-term safety profiles. Full article
(This article belongs to the Section Ophthalmology)
Show Figures

Figure 1

12 pages, 471 KB  
Article
Comparison of the Safety and Efficacy between Preserved and Preservative-Free Latanoprost and Preservative-Free Tafluprost
by Joon Mo Kim, Sang Woo Park, Mincheol Seong, Seung Joo Ha, Ji Woong Lee, Seungsoo Rho, Chong Eun Lee, Kyoung Nam Kim, Tae-Woo Kim, Kyung Rim Sung and Chan Yun Kim
Pharmaceuticals 2021, 14(6), 501; https://doi.org/10.3390/ph14060501 - 24 May 2021
Cited by 12 | Viewed by 3900
Abstract
In this study, we investigated the effect of preservative-free (PF) 0.0015% tafluprost (TA), to the preservative containing (PC) and the PF 0.005% latanoprost (LA) in Korean subjects. This study was conducted as a multi-center, randomized, investigator-blind, active controlled, parallel-group, clinical trial in adult [...] Read more.
In this study, we investigated the effect of preservative-free (PF) 0.0015% tafluprost (TA), to the preservative containing (PC) and the PF 0.005% latanoprost (LA) in Korean subjects. This study was conducted as a multi-center, randomized, investigator-blind, active controlled, parallel-group, clinical trial in adult patients (≥19 years) with open-angle glaucoma (OAG) and ocular hypertension (OHT). After a washout period, patients with an IOP between 15 and 35 mmHg were enrolled and evaluated the efficacy, safety, and compliance at 4, 8 and 12 weeks after the first administration. A total of 137 OAG and OHT patients were randomized. Statistically significant reductions in IOP were observed in all groups. Twelve weeks after each eye drop instillation, the mean IOP reduction was −4.59 ± 2.70 mmHg (−24.57 ± 13.49%) in the PC-LA group, −4.52 ± 2.17 mmHg (−24.41 ± 11.38%) in the PF-LA, and −3.14 ± 2.83 mmHg (−17.22 ± 14.57%) in the PF-TA group. The PF-LA showed significantly better responsiveness than did PF-TA. PF-LA was better tolerated than was PC-LA. There were no adverse events that led to cessation of eye drop use in any of the groups. In conclusion, IOP decreased similarly across the groups. PF-LA may provide a good choice for OAG patients with ocular surface diseases. Full article
Show Figures

Figure 1

12 pages, 1138 KB  
Article
Effect of Topical Prostaglandin F2α Analogs on Selected Oxidative Stress Parameters in the Tear Film
by Lech Sedlak, Maria Zych, Weronika Wojnar and Dorota Wyględowska-Promieńska
Medicina 2019, 55(7), 366; https://doi.org/10.3390/medicina55070366 - 11 Jul 2019
Cited by 13 | Viewed by 2803
Abstract
Background and Objectives: Topically administered antiglaucoma medications, especially those containing benzalkonium chloride (BAC), may cause local adverse effects and compromise ocular surface. The aim of the study was to assess the effect of topical prostaglandin F2α analogs (PGAs): preservative-free latanoprost, BAC-preserved latanoprost, [...] Read more.
Background and Objectives: Topically administered antiglaucoma medications, especially those containing benzalkonium chloride (BAC), may cause local adverse effects and compromise ocular surface. The aim of the study was to assess the effect of topical prostaglandin F2α analogs (PGAs): preservative-free latanoprost, BAC-preserved latanoprost, preservative-free tafluprost, and BAC-preserved bimatoprost, on selected oxidative stress parameters in the tear film. Materials and Methods: The patients were divided into five groups: group C (n = 25) control group—subjects who did not use topical antiglaucoma medications, group L (n = 22)—patients using topical preservative-free latanoprost, group L+BAC (n = 25)—patients using topical BAC-preserved latanoprost, group T (n = 19)—patients using topical preservative-free tafluprost, and group B+BAC (n = 17)—patients using topical BAC-preserved bimatoprost. The oxidative stress markers in the tear film samples were evaluated: total protein (TP) concentration, advanced oxidation protein products (AOPP) content, total sulfhydryl (-SH) groups content, the activity of superoxide dismutase (SOD), catalase (CAT), and glutathione peroxidase (GPx), as well as Total Oxidant Status (TOS), Total Antioxidant Response (TAR), and Oxidative Stress Index (OSI). Results: The TP concentrations in the groups L, L+BAC, and B+BAC were statistically significantly higher in comparison with group C. The SOD and CAT activities in the groups L+BAC and B+BAC were statistically significantly higher when compared to group C. As compared to group C, AOPP and TOS were statistically significantly higher in all the study groups. OSI was found to be statistically significantly higher in the groups L+BAC, T, and B+BAC in comparison with group C. Conclusion: Use of topical PGAs by the patients with ocular hypertension or primary open-angle glaucoma is associated with increased oxidative stress in the tear film which is additionally exacerbated by the presence of BAC in the formulation. Full article
Show Figures

Figure 1

16 pages, 1336 KB  
Article
A Novel Convergent Synthesis of the Potent Antiglaucoma Agent Tafluprost
by Małgorzata Krupa, Michał Chodyński, Anna Ostaszewska, Piotr Cmoch and Iwona Dams
Molecules 2017, 22(2), 217; https://doi.org/10.3390/molecules22020217 - 31 Jan 2017
Cited by 14 | Viewed by 9345
Abstract
Tafluprost (AFP-168, 5) is a unique 15-deoxy-15,15-difluoro-16-phenoxy prostaglandin F2α (PGF2α) analog used as an efficacious ocular hypotensive agent in the treatment of glaucoma and ocular hypertension, as monotherapy, or as adjunctive therapy to β-blockers. A novel convergent synthesis of 5 was developed employing [...] Read more.
Tafluprost (AFP-168, 5) is a unique 15-deoxy-15,15-difluoro-16-phenoxy prostaglandin F2α (PGF2α) analog used as an efficacious ocular hypotensive agent in the treatment of glaucoma and ocular hypertension, as monotherapy, or as adjunctive therapy to β-blockers. A novel convergent synthesis of 5 was developed employing Julia–Lythgoe olefination of the structurally advanced prostaglandin phenylsulfone 16, also successfully applied for manufacturing of pharmaceutical grade latanoprost (2), travoprost (3) and bimatoprost (4), with an aldehyde ω-chain synthon 17. The use of the same prostaglandin phenylsulfone 16, as a starting material in parallel syntheses of all commercially available antiglaucoma PGF2α analogs 2–5, significantly reduces manufacturing costs resulting from its synthesis on an industrial scale and development of technological documentation. Another key aspect of the route developed is deoxydifluorination of a trans-13,14-en-15-one 30 with Deoxo-Fluor. Subsequent hydrolysis of protecting groups and final esterification of acid 6 yielded tafluprost (5). The main advantages are the preparation of high purity tafluprost (5) and the application of comparatively cheap reagents. The preparation and identification of two other tafluprost acid derivatives, tafluprost methyl ester (32) and tafluprost ethyl amide (33), are also described. Full article
(This article belongs to the Section Medicinal Chemistry)
Show Figures

Graphical abstract

Back to TopTop