Sign in to use this feature.

Years

Between: -

Subjects

remove_circle_outline
remove_circle_outline
remove_circle_outline
remove_circle_outline
remove_circle_outline
remove_circle_outline

Journals

Article Types

Countries / Regions

Search Results (14)

Search Parameters:
Keywords = TNR temperature

Order results
Result details
Results per page
Select all
Export citation of selected articles as:
20 pages, 1801 KB  
Article
Territorially Stratified Modeling for Sustainable Management of Free-Roaming Cat Populations in Spain: A National Approach to Urban and Rural Environmental Planning
by Octavio P. Luzardo, Ruth Manzanares-Fernández, José Ramón Becerra-Carollo and María del Mar Travieso-Aja
Animals 2025, 15(15), 2278; https://doi.org/10.3390/ani15152278 - 4 Aug 2025
Cited by 1 | Viewed by 2351
Abstract
This study presents the scientific and methodological foundation of Spain’s first national framework for the ethical management of community cat populations: the Action Plan for the Management of Community Cat Colonies (PACF), launched in 2025 under the mandate of Law 7/2023. This pioneering [...] Read more.
This study presents the scientific and methodological foundation of Spain’s first national framework for the ethical management of community cat populations: the Action Plan for the Management of Community Cat Colonies (PACF), launched in 2025 under the mandate of Law 7/2023. This pioneering legislation introduces a standardized, nationwide obligation for trap–neuter–return (TNR)-based management of free-roaming cats, defined as animals living freely, territorially attached, and with limited socialization toward humans. The PACF aims to support municipalities in implementing this mandate through evidence-based strategies that integrate animal welfare, biodiversity protection, and public health objectives. Using standardized data submitted by 1128 municipalities (13.9% of Spain’s total), we estimated a baseline population of 1.81 million community cats distributed across 125,000 colonies. These data were stratified by municipal population size and applied to national census figures to generate a model-ready demographic structure. We then implemented a stochastic simulation using Vortex software to project long-term population dynamics over a 25-year horizon. The model integrated eight demographic–environmental scenarios defined by a combination of urban–rural classification and ecological reproductive potential based on photoperiod and winter temperature. Parameters included reproductive output, mortality, sterilization coverage, abandonment and adoption rates, stochastic catastrophic events, and territorial carrying capacity. Under current sterilization rates (~20%), our projections indicate that Spain’s community cat population could surpass 5 million individuals by 2050, saturating ecological and social thresholds within a decade. In contrast, a differentiated sterilization strategy aligned with territorial reproductive intensity (50% in most areas, 60–70% in high-pressure zones) achieves population stabilization by 2030 at approximately 1.5 million cats, followed by a gradual long-term decline. This scenario prioritizes feasibility while substantially reducing reproductive output, particularly in rural and high-intensity contexts. The PACF combines stratified demographic modeling with spatial sensitivity, offering a flexible framework adaptable to local conditions. It incorporates One Health principles and introduces tools for adaptive management, including digital monitoring platforms and standardized welfare protocols. While ecological impacts were not directly assessed, the proposed demographic stabilization is designed to mitigate population-driven risks to biodiversity and public health without relying on lethal control. By integrating legal mandates, stratified modeling, and realistic intervention goals, this study outlines a replicable and scalable framework for coordinated action across administrative levels. It exemplifies how national policy can be operationalized through data-driven, territorially sensitive planning tools. The findings support the strategic deployment of TNR-based programs across diverse municipal contexts, providing a model for other countries seeking to align animal welfare policy with ecological planning under a multi-level governance perspective. Full article
(This article belongs to the Section Animal System and Management)
Show Figures

Figure 1

14 pages, 6602 KB  
Article
Genomic Insights into Pig Domestication and Adaptation: An Integrated Approach Using Genome-Wide Selection Analysis and Multiple Public Datasets
by Haoyuan Zhang, Pengcheng Ruan, He Cong, Lu Xu, Baigao Yang, Tao Ren, Dongjie Zhang, Hongyue Chen, Pengfei Hu, Zhen Wang, Hongmei Pan, Xiuqin Yang, Yanguo Han, Yan Zeng, Yongju Zhao, Di Liu, Simone Ceccobelli and Guangxin E
Animals 2024, 14(21), 3159; https://doi.org/10.3390/ani14213159 - 4 Nov 2024
Viewed by 2406
Abstract
As a global focus of animal husbandry, pigs provide essential meat resources for humans. Therefore, analyzing the genetic basis of adaptability, domestication, and artificial selection in pigs will contribute to further breeding. This study performed a genome-wide selection sweep analysis to identify candidate [...] Read more.
As a global focus of animal husbandry, pigs provide essential meat resources for humans. Therefore, analyzing the genetic basis of adaptability, domestication, and artificial selection in pigs will contribute to further breeding. This study performed a genome-wide selection sweep analysis to identify candidate genes related to domestication and adaptive selection via data from 2413 public genotypes. Two complementary statistical analyses, FST (fixation index) and XP–EHH (cross–population extended haplotype homozygosity) were applied. The results revealed that numerous candidate genes were associated with high-altitude adaptability (e.g., SIRPA, FRS2, and GRIN2B) and habitat temperature adaptability (e.g., MITF, PI3KC2A, and FRS2). In addition, candidate genes related to the domestic genetic imprint of indigenous pigs (e.g., TNR, NOCT, and SPATA5) and strong artificial selection pressure in commercial breeds (e.g., ITPR2, HSD17B12, and UGP2) were identified in this study. Specifically, some MHC–related genes (e.g., ZRTB12, TRIM26, and C7H6orf15) were also under selection during domestication and artificial selection. Additionally, a phylogenetic comparative analysis revealed that the genetic divergence between populations does not fully follow the geographical distribution and management history in the major histocompatibility complex region/major histocompatibility complex II haplotypes, unlike that of the genome-wide genotypes. Furthermore, the higher heterozygosity and haplotype alleles of MHC reduce the differences between populations. Briefly, this study not only helps promote the relative theoretical understanding of environmental adaptive selection and domestication but also provides a theoretical reference for disease-resistant breeding in pigs. Full article
(This article belongs to the Section Animal Genetics and Genomics)
Show Figures

Figure 1

26 pages, 10244 KB  
Article
Novel TiO2-Supported Gold Nanoflowers for Efficient Photocatalytic NOx Abatement
by Špela Slapničar, Gregor Žerjav, Janez Zavašnik, Matevž Roškarič, Matjaž Finšgar and Albin Pintar
Molecules 2024, 29(14), 3333; https://doi.org/10.3390/molecules29143333 - 16 Jul 2024
Cited by 2 | Viewed by 2620
Abstract
In this study, we pioneered the synthesis of nanoflower-shaped TiO2-supported Au photocatalysts and investigated their properties. Au nanoflowers (Au NFs) were prepared by a Na-citrate and hydroquinone-based preparation method, followed by wet impregnation of the derived Au NFs on the surface [...] Read more.
In this study, we pioneered the synthesis of nanoflower-shaped TiO2-supported Au photocatalysts and investigated their properties. Au nanoflowers (Au NFs) were prepared by a Na-citrate and hydroquinone-based preparation method, followed by wet impregnation of the derived Au NFs on the surface of TiO2 nanorods (TNR). A uniform and homogeneous distribution of Au NFs was observed in the TNR + NF(0.7) sample (lower Na-citrate concentration), while their distribution was heterogeneous in the TNR + NF(1.4) sample (higher Na-citrate concentration). The UV-Vis DR spectra revealed the size- and shape-dependent optical properties of the Au NFs, with the LSPR effect observed in the visible region. The solid-state EPR spectra showed the presence of Ti3+, oxygen vacancies and electron interactions with organic compounds on the catalyst surface. In the case of the TNR + NF(0.7) sample, high photocatalytic activity was observed in the H2-assisted reduction of NO2 to N2 at room temperature under visible-light illumination. In contrast, the TNR + NF(1.4) catalyst as well as the heat-treated samples showed no ability to reduce NO2 under visible light, indicating the presence of deformed Au NFs limiting the LSPR effect. These results emphasized the importance of the choice of synthesis method, as this could strongly influence the photocatalytic activity of the Au NFs. Full article
(This article belongs to the Special Issue Feature Papers in Photochemistry and Photocatalysis)
Show Figures

Graphical abstract

11 pages, 9210 KB  
Article
Optimized Strain Response in (Co0.5Nb0.5)4+-Doped 76Bi0.5Na0.5TiO3-24SrTiO3 Relaxors
by Hui Li, Jingxia Gao, Mingyang Li, Qingfeng Zhang and Yangyang Zhang
Coatings 2023, 13(8), 1331; https://doi.org/10.3390/coatings13081331 - 28 Jul 2023
Cited by 2 | Viewed by 1525
Abstract
High strain with low hysteresis is crucial for commercial applications in high precision actuators. However, the clear conflict between the high strain and low hysteresis in BNT-based ceramics has long been an obstacle to actual precise actuating or positioning applications. To obtain piezoceramics [...] Read more.
High strain with low hysteresis is crucial for commercial applications in high precision actuators. However, the clear conflict between the high strain and low hysteresis in BNT-based ceramics has long been an obstacle to actual precise actuating or positioning applications. To obtain piezoceramics with high strain and low hysteresis, it is necessary to enhance the electrostrictive effect and develop an ergodic relaxor (ER) and nonergodic relaxor (NR) phase boundary under ambient conditions. In this work, (Co0.5Nb0.5)4+ doped 76Bi0.5Na0.5TiO3-24SrTiO3 (BNST24) relaxors were fabricated using the conventional solid state reaction route. X-ray diffraction patterns revealed the B-site substitution in BNST24 ceramics. By adjusting the (Co0.5Nb0.5)4+ doping in BNST24, we effectively tuned the TNR-ER and Td close to ambient temperature, which contributed to the development of the ergodic relaxor phase and enhanced the electrostrictive effect at ambient temperature. The I-P-E loops and bipolar strain curves verified the gradual evolution from NR to ER states, while the enhanced electrostrictive effect was verified by the nearly linear S-P2 curves and improved electrostrictive coefficient of the BNST24-xCN relaxors. An enhanced strain of 0.34% (d*33 = 483 pm/V) with low hysteresis of 8.9% was simultaneously achieved in the BNST24-0.02CN relaxors. The enhanced strain was mainly attributed to the proximity effect at the ER and NR phase boundary of BNST24-0.02CN, while the improved electrostrictive effect contributed to the reduced strain hysteresis. Our work demonstrates an effective strategy for balancing the paradox of high strain and low hysteresis in piezoceramics. Full article
Show Figures

Figure 1

18 pages, 1348 KB  
Article
Improving Spaceborne GNSS-R Algal Bloom Detection with Meteorological Data
by Yinqing Zhen and Qingyun Yan
Remote Sens. 2023, 15(12), 3122; https://doi.org/10.3390/rs15123122 - 15 Jun 2023
Cited by 15 | Viewed by 2266
Abstract
Algal bloom has become a serious environmental problem caused by the overgrowth of plankton in many waterbodies, and effective remote sensing methods for monitoring it are urgently needed. Global navigation satellite system-reflectometry (GNSS-R) has been developed rapidly in recent years, which offers a [...] Read more.
Algal bloom has become a serious environmental problem caused by the overgrowth of plankton in many waterbodies, and effective remote sensing methods for monitoring it are urgently needed. Global navigation satellite system-reflectometry (GNSS-R) has been developed rapidly in recent years, which offers a new perspective on algal bloom detection. When algal bloom emerges, the water surface will turn smoother, which can be detected by GNSS-R. In addition, meteorological parameters, such as temperature, wind speed and solar radiation, are generally regarded as the key factors in the formation of algal bloom. In this article, a new algal bloom detection method aided by machine learning and auxiliary meteorological data is established. This work employs the Cyclone GNSS (CYGNSS) data and the fifth generation European Reanalysis (ERA-5) data with the application of the random under sampling boost (RUSBoost) algorithm. Experiments were carried out for Taihu Lake, China, over the period of August 2018 to May 2022. During the evaluation stage, the test true positive rate (TPR) of 81.9%, true negative rate (TNR) of 82.9%, overall accuracy (OA) of 82.9% and the area under (receiver operating characteristic) curve (AUC) of 0.88 were achieved, with all the GNSS-R observables and meteorological factors being involved. Meanwhile, the contribution of each meteorological factor and the error sources were assessed, and the results indicate that temperature and solar radiation play a prominent role among other meteorological factors in this research. This work demonstrates the capability of CYGNSS as an effective tool for algal bloom detection and the inclusion of meteorological data for further enhanced performance. Full article
(This article belongs to the Special Issue New Advances in GNSS-R Signal Processing)
Show Figures

Figure 1

21 pages, 6137 KB  
Article
Analysis of Recrystallization Kinetics Concerning the Experimental, Computational, and Empirical Evaluation of Critical Temperatures for Static Recrystallization in Nb, Ti, and V Microalloyed Steels
by Evelyn Sobotka, Johannes Kreyca, Robert Kahlenberg, Aurélie Jacob, Ernst Kozeschnik and Erwin Povoden-Karadeniz
Metals 2023, 13(5), 884; https://doi.org/10.3390/met13050884 - 3 May 2023
Cited by 9 | Viewed by 4069
Abstract
Recrystallization kinetics and two critical temperatures—the non-recrystallization temperature TNR and the static recrystallization critical temperature TSRCT—of five Nb, Ti, and V microalloyed steel grades are evaluated. The experimental examination is realized by employing isothermal double-hit compression tests and continuous hot [...] Read more.
Recrystallization kinetics and two critical temperatures—the non-recrystallization temperature TNR and the static recrystallization critical temperature TSRCT—of five Nb, Ti, and V microalloyed steel grades are evaluated. The experimental examination is realized by employing isothermal double-hit compression tests and continuous hot torsion tests, both performed on a Gleeble® 3800 thermo-mechanical simulator. The experimental results are used for the critical assessment of predicted TNR using four empirical equations from the literature, and for the validation of simulated TNR and TSRCT. The thermokinetic computer simulations are realized using the mean-field microstructure modeling software MatCalc. Analysis shows that higher microalloying contents increase both critical temperatures, TNR and TSRCT, whereby the effect of recrystallization retardation of Nb is more pronounced than that of Ti or V. The most accurate reproduction of the experimental recrystallization behavior of the five examined steel grades is realized by the employed physics-based simulation approach. Full article
(This article belongs to the Special Issue Physical Metallurgy of Microalloyed Steels)
Show Figures

Figure 1

19 pages, 4583 KB  
Article
Hydrogeochemical Study of Hot Springs along the Tingri—Nyima Rift: Relationship between Fluids and Earthquakes
by Deyang Zhao, Xiaocheng Zhou, Yongxian Zhang, Miao He, Jiao Tian, Junfeng Shen, Ying Li, Guilan Qiu, Fang Du, Xiaoming Zhang, Yao Yang, Jun Zeng, Xuelian Rui, Feng Liao and Zhijun Guan
Water 2023, 15(8), 1634; https://doi.org/10.3390/w15081634 - 21 Apr 2023
Cited by 7 | Viewed by 3368
Abstract
Studying the hydrogeochemical characteristics of hot springs provides essential geochemical information for monitoring earthquake precursors and understanding the relationship between fluids, fractures, and earthquakes. This paper investigates the hydrogeochemical characteristics of hot springs along the Tingri–Nyima Rift (TNR) in southern Tibet, a seismically [...] Read more.
Studying the hydrogeochemical characteristics of hot springs provides essential geochemical information for monitoring earthquake precursors and understanding the relationship between fluids, fractures, and earthquakes. This paper investigates the hydrogeochemical characteristics of hot springs along the Tingri–Nyima Rift (TNR) in southern Tibet, a seismically active zone at the collision front of the Indian and Asian-European plates. The major elements, hydrogen, and oxygen isotopes of seven thermal springs were analyzed from July 2019 to September 2021. The findings indicate that Mount Everest’s meteoric water, which has a recharge elevation of roughly 7.5–8.4 km, is the main source of recharge for the hot springs. The water samples have two main hydrochemical types: HCO3-Na and Cl-Na. The temperature of the geothermal reservoir is between 46.5 and 225.4 °C, while the circulation depth is between 1.2 and 5.0 km based on silica-enthalpy mixing models and traditional geothermometers. Furthermore, continuous measurements of major anions and cations at the Yundong Spring (T06) near Mount Everest reveal short-term (8 days) seismic precursor anomalies of hydrochemical compositions before an ML4.7 earthquake 64.36 km away from T06. Our study suggests that seismicity in the northern section of the TNR is controlled by both hydrothermal activity and tectonic activity, while seismicity in the southern section is mainly influenced by tectonic activity. In addition to magnitude and distance from the epicenter, geological forces from deep, large fissures also affect how hot springs react to seismic occurrences. A fluid circulation model is established in order to explain the process of groundwater circulation migration. The continuous hydrochemical monitoring of hot springs near Everest is critical for studying the coupling between hot springs, fractures, and earthquakes, as well as monitoring information on earthquake precursory anomalies near Everest. Full article
(This article belongs to the Section Hydrogeology)
Show Figures

Figure 1

18 pages, 31691 KB  
Article
Effects of Ecological Programs and Other Factors on Soil Wind Erosion between 1981–2020
by Jinzhou Wu, Xiao Zheng, Lanlin Zhao, Junmei Fan and Jinghong Liu
Remote Sens. 2022, 14(21), 5322; https://doi.org/10.3390/rs14215322 - 24 Oct 2022
Cited by 11 | Viewed by 2795
Abstract
Wind erosion is one of the most widespread and severe natural hazards in arid, semiarid, and semihumid regions worldwide. The Three-North region (TNR) (Northeast China, North China, and Northwest China) of China includes 90% of the wind erosion area in China. In response [...] Read more.
Wind erosion is one of the most widespread and severe natural hazards in arid, semiarid, and semihumid regions worldwide. The Three-North region (TNR) (Northeast China, North China, and Northwest China) of China includes 90% of the wind erosion area in China. In response to the harsh environmental conditions in the TNR, China initiated a series of ecological programs, including the Three-North Afforestation Program and Grain for Green. However, little is known about the effect of these ecological programs on wind erosion. Therefore, within our study, we estimated the spatiotemporal variations in wind erosion in the TNR between 1981–2020 with a revised wind erosion model and analyzed its driving mechanism. Then, the ecological programs’ effects on wind erosion changes was identified. The results showed the following. (1) From 1981 to 2020, wind erosion showed a clear downward trend of 99.02 t km−2 a1, with a slope. On average, the areas of mild, moderate, severe, more severe, and very severe wind erosion accounted for 28.76%, 7.17%, 3.92%, 3.72%, and 13.29% of the total in the TNR, respectively. (2) Wind erosion variation was inconsistent in different parts of the TNR. The wind erosion expressed a long-term decreasing trend in Northeast China and the Loess Plateau, a nonsignificant change in North Central China, and an increasing trend in Northwest China. (3) On average, ecological programs were very limited in reducing erosion at the regional scale, with a contribution of approximately 5.93% in the TNR because of the relatively small scope of ecological programs’ implementation. Climate change played a key role in adjusting wind erosion; wind speed, temperature, and precipitation affected 57.58% of the TNR. Human interference (proportion of cropland and grassland areas in a 1 km ×1 km grid) affected 8.78% of the TNR. Thus, the persistent complement of ecological programs, reasonable human activities, and timely observation is a method to alleviate wind erosion in the TNR. Full article
(This article belongs to the Section Ecological Remote Sensing)
Show Figures

Figure 1

15 pages, 6446 KB  
Article
Siberian Ibex Capra sibirica Respond to Climate Change by Shifting to Higher Latitudes in Eastern Pamir
by Yingying Zhuo, Muyang Wang, Baolin Zhang, Kathreen E. Ruckstuhl, António Alves da Silva, Weikang Yang and Joana Alves
Diversity 2022, 14(9), 750; https://doi.org/10.3390/d14090750 - 11 Sep 2022
Cited by 10 | Viewed by 4611
Abstract
Climate change has led to shifts in species distribution and become a crucial factor in the extinction of species. Increasing average temperatures, temperature extremes, and unpredictable weather events have all become a part of a perfect storm that is threatening ecosystems. Higher altitude [...] Read more.
Climate change has led to shifts in species distribution and become a crucial factor in the extinction of species. Increasing average temperatures, temperature extremes, and unpredictable weather events have all become a part of a perfect storm that is threatening ecosystems. Higher altitude habitats are disproportionately affected by climate change, and habitats for already threatened specialist species are shrinking. The Siberian ibex, Capra sibirica, is distributed across Central Asia and Southern Siberia and is the dominant ungulate in the Pamir plateau. To understand how climate change could affect the habitat of Siberian ibex in the Taxkorgan Nature Reserve (TNR), an ensemble species distribution model was built using 109 occurrence points from a four-year field survey. Fifteen environmental variables were used to simulate suitable habitat distribution under different climate change scenarios. Our results demonstrated that a stable, suitable habitat for Siberian ibex was mostly distributed in the northwest and northeast of the TNR. We found that climate change will further reduce the area of suitable habitat for this species. In the scenarios of RCP2.6 to 2070 and RCP8.5 to 2050, habitat loss would exceed 30%. In addition, suitable habitats for Siberian ibex will shift to higher latitudes under climate change. As a result, timely prediction of the distribution of endangered animals is conducive to the conservation of the biodiversity of mountain ecosystems, particularly in arid areas. Full article
(This article belongs to the Special Issue Mountain Biodiversity, Ecosystem Functioning and Services)
Show Figures

Figure 1

20 pages, 8686 KB  
Article
Development of Desirable Fine Ferrite Grain Size and Random Second Phase Dual-Phase Steel Microstructures Using Composition and/or Processing Modifications
by Bharath Bandi, Carl Slater, Didier Farrugia and Claire Davis
Metals 2022, 12(7), 1158; https://doi.org/10.3390/met12071158 - 7 Jul 2022
Cited by 4 | Viewed by 3292
Abstract
Microstructural morphology is known to have a significant impact on the mechanical properties of dual-phase steels. A fine ferrite grain size and random distribution of small second phase islands are desirable to provide superior isotropic properties compared to the banded second phase distribution [...] Read more.
Microstructural morphology is known to have a significant impact on the mechanical properties of dual-phase steels. A fine ferrite grain size and random distribution of small second phase islands are desirable to provide superior isotropic properties compared to the banded second phase distribution that is typical for this type of steel. A rapid alloy prototyping (RAP) facility has been used to investigate three different DP 800 variants by systematically varying the compositions and/or process parameters compared to the ‘standard’ DP800 composition and processing that gives a banded microstructure. For Variant 1, the heating rate during the annealing cycle after cold rolling varied between 0.65 and 30 °C/s for the 45%, 60% and 75% cold reduction samples. It was found that a cold reduction of 75% and heating rate of 15 °C/s resulted in the microstructure that can give the best combination of strength and ductility because of the fine grain size and high martensite volume fraction. For Variant 2, the effect of changing the hot rolled (HR) microstructure (ferrite–pearlite, ferrite–bainite or martensite) on the final microstructure was investigated. Both the ferrite–50% bainite and fully martensite/bainite HR materials for all cold reductions resulted in annealed microstructures with necklace martensite morphology and finer ferrite grains compared to the ferrite–pearlite HR material, which gave a typical banded ferrite–martensite microstructure with a coarser ferrite grain size. For Variant 3, the Mn content was reduced, and increased Nb was used to achieve higher pancaking during the hot rolling stage, which refined ferrite grains in the HR condition with the same hardness. After annealing with the standard parameters only the 45% cold-reduced material produced a finer ferrite grain size than the standard material, whereas the 60% and 75% cold-reduced samples required a higher heating rate to achieve finer ferrite grain sizes due to rapid recrystallisation and growth kinetics. Full article
(This article belongs to the Special Issue Novel Steel Compositions and Processing Technologies)
Show Figures

Figure 1

15 pages, 5766 KB  
Article
Polyethersulfone Blended with Titanium Dioxide Nanoribbons/Multi-Wall Carbon Nanotubes for Strontium Removal from Water
by Tarek Ashraf, Nada Alfryyan, Abdallah M. Ashraf, Sayed A. Ahmed and Mohamed Shaban
Polymers 2022, 14(7), 1390; https://doi.org/10.3390/polym14071390 - 29 Mar 2022
Cited by 4 | Viewed by 3134
Abstract
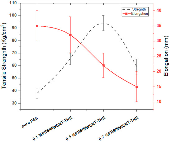
Nanofiltration methods were used and evaluated for strontium removal from wastewater. The phase inversion method was used to create a variety of polyethersulfone (PES)/TiO2 nanoribbons (TNRs)–multi-walled carbon nanotubes (MWCNTs) membranes with varied ratios of TNR-MWCNT nanocomposite. The hydrothermal technique was applied to [...] Read more.
Nanofiltration methods were used and evaluated for strontium removal from wastewater. The phase inversion method was used to create a variety of polyethersulfone (PES)/TiO2 nanoribbons (TNRs)–multi-walled carbon nanotubes (MWCNTs) membranes with varied ratios of TNR-MWCNT nanocomposite. The hydrothermal technique was applied to synthesize the nanocomposite (TNRs-MWCNTs), which was then followed by chemical vapor deposition (CVD). The synthesized membranes were characterized by scanning electron microscopy (SEM), transmission electron microscopy, and FTIR. TNR macrovoids are employed as a support for the MWCNT growth catalyst, resulting in a TNR-MWCNT network composite. The hydrophilicity, mechanical properties, porosity, filtration efficiency of the strontium-containing samples, water flux, and fouling tendency were used to assess the performance of the synthesized membranes. The effect of feed water temperature on water flux was investigated as well as its effect on salt rejection. As the temperature increased from 30 to 90 °C, the salt rejection decreased from 96.6 to 82% for the optimized 0.7 PES/TNR-MWCNT membrane, whereas the water flux increased to ≈150 kg/m2. h. Double successive filtration was evaluated for its high efficiency of 1000 ppm strontium removal, which reached 82.4%. Full article
(This article belongs to the Section Polymer Applications)
Show Figures

Figure 1

14 pages, 18638 KB  
Article
Determination of Non-Recrystallization Temperature for Niobium Microalloyed Steel
by Mohammad Nishat Akhtar, Muneer Khan, Sher Afghan Khan, Asif Afzal, Ram Subbiah, Sheikh Nazir Ahmad, Murtuja Husain, Mohammad Mursaleen Butt, Abdul Rahim Othman and Elmi Abu Bakar
Materials 2021, 14(10), 2639; https://doi.org/10.3390/ma14102639 - 18 May 2021
Cited by 43 | Viewed by 5380
Abstract
In the present investigation, the non-recrystallization temperature (TNR) of niobium-microalloyed steel is determined to plan rolling schedules for obtaining the desired properties of steel. The value of TNR is based on both alloying elements and deformation parameters. In the literature, [...] Read more.
In the present investigation, the non-recrystallization temperature (TNR) of niobium-microalloyed steel is determined to plan rolling schedules for obtaining the desired properties of steel. The value of TNR is based on both alloying elements and deformation parameters. In the literature, TNR equations have been developed and utilized. However, each equation has certain limitations which constrain its applicability. This study was completed using laboratory-grade low-carbon Nb-microalloyed steels designed to meet the API X-70 specification. Nb- microalloyed steel is processed by the melting and casting process, and the composition is found by optical emission spectroscopy (OES). Multiple-hit deformation tests were carried out on a Gleeble® 3500 system in the standard pocket-jaw configuration to determine TNR. Cuboidal specimens (10 (L) × 20 (W) × 20 (T) mm3) were taken for compression test (multiple-hit deformation tests) in gleeble. Microstructure evolutions were carried out by using OM (optical microscopy) and SEM (scanning electron microscopy). The value of TNR determined for 0.1 wt.% niobium bearing microalloyed steel is ~ 951 °C. Nb- microalloyed steel rolled at TNR produce partially recrystallized grain with ferrite nucleation. Hence, to verify the TNR value, a rolling process is applied with the finishing rolling temperature near TNR (~951 °C). The microstructure is also revealed in the pancake shape, which confirms TNR. Full article
(This article belongs to the Special Issue Functional Materials, Machine Learning, and Optimization)
Show Figures

Figure 1

15 pages, 9658 KB  
Article
Rational Alloy Design of Niobium-Bearing HSLA Steels
by Rami A. Almatani and Anthony J. DeArdo
Metals 2020, 10(3), 413; https://doi.org/10.3390/met10030413 - 23 Mar 2020
Cited by 4 | Viewed by 4289
Abstract
In the 61 years that niobium has been used in commercial steels, it has proven to be beneficial via several properties, such as strength and toughness. Over this time, numerous studies have been performed and papers published showing that both the strength and [...] Read more.
In the 61 years that niobium has been used in commercial steels, it has proven to be beneficial via several properties, such as strength and toughness. Over this time, numerous studies have been performed and papers published showing that both the strength and toughness can be improved with higher Nb additions. Earlier studies have verified this trend for steels containing up to about 0.04 wt.% Nb. Basic studies have shown that the addition of Nb increases the recrystallization-stop temperature, T5% or Tnr. These same studies have shown that with up to about 0.05 wt.% of Nb, the T5% temperature increases in the range of finish rolling, which is the basis of controlled rolling. These studies also have shown that at very high Nb levels, exceeding approximately 0.06 wt.% Nb, the recrystallization-stop temperature or T5% can increase into the temperature range of rough rolling, and this could result in insufficient grain refinement and recrystallization during rough rolling. However, the question remains as to how much Nb can be added before the detriments outweigh the benefits. While the benefits are easily observed and discussed, the detriments are not. These detriments at high Nb levels include cost, undissolved Nb particles, weldability issues, higher mill loads and roll wear and the lessening of grain refinement that might otherwise occur during plate rough rolling. This loss of grain refinement is important, since coarse grained microstructures often result in failure in the drop weight tear testing of the plate and pipe. The purpose of this paper is to discuss the practical limits of Nb microalloying in controlled rolled low carbon linepipe steels of gauges ranging from 12 to 25 mm in thickness. Full article
(This article belongs to the Special Issue Advances in Low-carbon and Stainless Steels)
Show Figures

Figure 1

16 pages, 4185 KB  
Article
Extended Dependence of the Hydrological Regime on the Land Cover Change in the Three-North Region of China: An Evaluation under Future Climate Conditions
by Yi Yao, Xianhong Xie, Shanshan Meng, Bowen Zhu, Kang Zhang and Yibing Wang
Remote Sens. 2019, 11(1), 81; https://doi.org/10.3390/rs11010081 - 4 Jan 2019
Cited by 17 | Viewed by 4694
Abstract
The hydrological regime in arid and semi-arid regions is quite sensitive to climate and land cover changes (LCC). The Three-North region (TNR) in China experiences diverse climate conditions, from arid to humid zones. In this region, substantial LCC has occurred over the past [...] Read more.
The hydrological regime in arid and semi-arid regions is quite sensitive to climate and land cover changes (LCC). The Three-North region (TNR) in China experiences diverse climate conditions, from arid to humid zones. In this region, substantial LCC has occurred over the past decades due to ecological restoration programs and urban expansion. At a regional scale, the hydrological effects of LCC have been demonstrated to be less observable than the effects of climate change, but it is unclear whether or not the effects of LCC may be intensified by future climate conditions. In this study, we employed remote sensing datasets and a macro-scale hydrological modeling to identify the dependence of the future hydrological regime of the TNR on past LCC. The hydrological effects over the period from 2020–2099 were evaluated based on a Representative Concentration Pathway climate scenario. The results indicated that the forest area increased in the northwest (11,691 km2) and the north (69 km2) of China but declined in the northeast (30,042 km2) over the past three decades. Moreover, the urban area has expanded by 1.3% in the TNR. Under the future climate condition, the hydrological regime will be influenced significantly by LCC. Those changes from 1986 to 2015 may alter the future hydrological cycle mainly by promoting runoff (3.24 mm/year) and decreasing evapotranspiration (3.23 mm/year) over the whole region. The spatial distribution of the effects may be extremely uneven: the effects in humid areas would be stronger than those in other areas. Besides, with rising temperatures and precipitation from 2020 to 2099, the LCC may heighten the risk of dryland expansion and flooding more than climate change alone. Despite uncertainties in the datasets and methods, the regional-scale hydrological model provides new insights into the extended impacts of ecological restoration and urbanization on the hydrological regime of the TNR. Full article
(This article belongs to the Special Issue Remote Sensing of the Terrestrial Hydrologic Cycle)
Show Figures

Figure 1

Back to TopTop