Sign in to use this feature.

Years

Between: -

Subjects

remove_circle_outline
remove_circle_outline
remove_circle_outline
remove_circle_outline
remove_circle_outline
remove_circle_outline
remove_circle_outline
remove_circle_outline
remove_circle_outline

Journals

Article Types

Countries / Regions

Search Results (64)

Search Parameters:
Keywords = TIVA

Order results
Result details
Results per page
Select all
Export citation of selected articles as:
15 pages, 925 KB  
Article
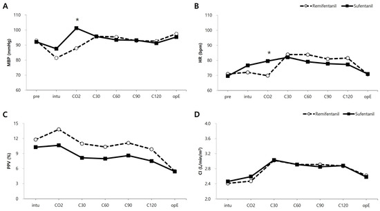
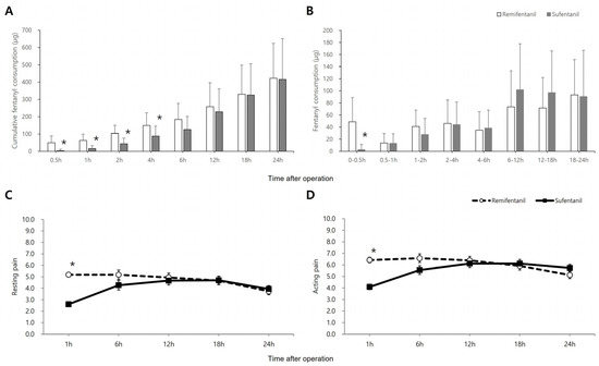
Target-Controlled Infusion with PSI- and ANI-Guided Sufentanil Versus Remifentanil in Remimazolam-Based Total Intravenous Anesthesia for Postoperative Analgesia and Recovery After Laparoscopic Subtotal Gastrectomy: A Randomized Controlled Study
by Byongnam Jun, Young Chul Yoo, Sun Joon Bai, Hye Jung Shin, Jinmok Kim, Na Young Kim and Jiae Moon
J. Clin. Med. 2025, 14(24), 8921; https://doi.org/10.3390/jcm14248921 - 17 Dec 2025
Viewed by 349
Abstract
Background/Objectives: Target-controlled infusion (TCI) with remifentanil or sufentanil provides stable and effective anesthesia. This randomized prospective trial investigated the comparative efficacy of TCI using sufentanil versus remifentanil on postoperative analgesia and recovery profiles in patients after laparoscopic subtotal gastrectomy under remimazolam-based total intravenous [...] Read more.
Background/Objectives: Target-controlled infusion (TCI) with remifentanil or sufentanil provides stable and effective anesthesia. This randomized prospective trial investigated the comparative efficacy of TCI using sufentanil versus remifentanil on postoperative analgesia and recovery profiles in patients after laparoscopic subtotal gastrectomy under remimazolam-based total intravenous anesthesia (TIVA). Methods: Sixty-six patients who underwent laparoscopic subtotal gastrectomy were randomly allocated to receive either TCI-based sufentanil or remifentanil in TIVA with remimazolam. The primary endpoint was the cumulative fentanyl consumption within 24 h after surgery. The secondary outcomes were pain intensity at rest and during activity, and recovery parameters including time to extubation, length of post-anesthesia care unit (PACU) stay, and quality of recovery (QoR-40) on postoperative day 1 (POD1). Results: The cumulative fentanyl consumption over the 24 h postoperative period was similar between the two groups. However, compared with the remifentanil group, the sufentanil group required significantly less fentanyl during the immediate postoperative period (0–0.5 h) (p < 0.001) and exhibited lower pain scores both at rest and during activity during the first postoperative hour (p < 0.001). Although the Sedation-Agitation Scale score at PACU admission was significantly lower in the sufentanil group (p < 0.001), the overall recovery profiles, including time to extubation, PACU stay, and QoR-40 scores on POD 1, were comparable between the groups. Conclusions: TCI-based sufentanil and remifentanil in TIVA with remimazolam showed similar overall analgesic efficacies and recovery outcomes after laparoscopic subtotal gastrectomy. Both opioid strategies are effective for postoperative pain management, with a slight advantage in immediate postoperative pain control for sufentanil. Full article
(This article belongs to the Section Anesthesiology)
Show Figures

Figure 1

24 pages, 1599 KB  
Review
Perioperative Anesthetic Management in Pediatric Scoliosis Surgery: A Narrative Review with Focus on Neuromuscular Disorders
by Barbora Nedomová, Boris Liščák, Soňa Urbanová, Štefan Pavlík, Rudolf Riedel and Vlasta Dostálová
Children 2025, 12(11), 1481; https://doi.org/10.3390/children12111481 - 2 Nov 2025
Viewed by 1328
Abstract
Background/Objectives: Scoliosis surgery in pediatric patients, particularly those with neuromuscular disorders, is associated with increased perioperative risk due to respiratory insufficiency, cardiovascular comorbidities, and nutritional deficiencies. This review aims to summarize current evidence-based approaches to anesthetic management in this vulnerable population. Methods: A [...] Read more.
Background/Objectives: Scoliosis surgery in pediatric patients, particularly those with neuromuscular disorders, is associated with increased perioperative risk due to respiratory insufficiency, cardiovascular comorbidities, and nutritional deficiencies. This review aims to summarize current evidence-based approaches to anesthetic management in this vulnerable population. Methods: A comprehensive literature review was conducted focusing on anesthetic strategies and multidisciplinary protocols used in the perioperative care of children with neuromuscular conditions undergoing scoliosis surgery. Emphasis was placed on intraoperative neurophysiological monitoring (IONM), blood conservation techniques, and Enhanced Recovery After Surgery (ERAS) principles. Results: Key management strategies include individualized preoperative risk assessment, use of total intravenous anesthesia (TIVA) to preserve IONM signal integrity, and the implementation of blood conservation methods such as antifibrinolytic therapy and intraoperative cell salvage. Additional perioperative considerations include maintaining normothermia, careful positioning, and multimodal analgesia. Postoperative care should incorporate structured respiratory support and early mobilization within the ERAS pathway to promote recovery and reduce complications. Conclusions: The perioperative care of pediatric patients with neuromuscular scoliosis undergoing spinal surgery requires a multidisciplinary and individualized anesthetic approach. Adherence to evidence-based protocols, including TIVA, blood management strategies, and ERAS principles, is essential for minimizing perioperative complications and improving outcomes in this high-risk group. Full article
Show Figures

Graphical abstract

22 pages, 12194 KB  
Article
Visual Signal Recognition with ResNet50V2 for Autonomous ROV Navigation in Underwater Environments
by Cristian H. Sánchez-Saquín, Alejandro Gómez-Hernández, Tomás Salgado-Jiménez, Juan M. Barrera Fernández, Leonardo Barriga-Rodríguez and Alfonso Gómez-Espinosa
Automation 2025, 6(4), 51; https://doi.org/10.3390/automation6040051 - 1 Oct 2025
Viewed by 1082
Abstract
This study presents the design and evaluation of AquaSignalNet, a deep learning-based system for recognizing underwater visual commands to enable the autonomous navigation of a Remotely Operated Vehicle (ROV). The system is built on a ResNet50 V2 architecture and trained with a custom [...] Read more.
This study presents the design and evaluation of AquaSignalNet, a deep learning-based system for recognizing underwater visual commands to enable the autonomous navigation of a Remotely Operated Vehicle (ROV). The system is built on a ResNet50 V2 architecture and trained with a custom dataset, UVSRD, comprising 33,800 labeled images across 12 gesture classes, including directional commands, speed values, and vertical motion instructions. The model was deployed on a Raspberry Pi 4 integrated with a TIVA C microcontroller for real-time motor control, a PID-based depth control loop, and an MPU9250 sensor for orientation tracking. Experiments were conducted in a controlled pool environment using printed signal cards to define two autonomous trajectories. In the first trajectory, the system achieved 90% success, correctly interpreting a mixed sequence of turns, ascents, and speed changes. In the second, more complex trajectory, involving a rectangular inspection loop and multi-layer navigation, the system achieved 85% success, with failures mainly due to misclassification resulting from lighting variability near the water surface. Unlike conventional approaches that rely on QR codes or artificial markers, AquaSignalNet employs markerless visual cues, offering a flexible alternative for underwater inspection, exploration, and logistical operations. The results demonstrate the system’s viability for real-time gesture-based control. Full article
(This article belongs to the Section Robotics and Autonomous Systems)
Show Figures

Figure 1

15 pages, 575 KB  
Article
Comparative Effects of Remimazolam and Propofol on Intraoperative Hypertension and Hypotension During Robot-Assisted Laparoscopic Gynecologic Surgery: A Retrospective Analysis
by Jung Min Lee, Joohyun Lee, Se Hee Kang, Kangha Jung, Hyean Yeo and Young Joo
Medicina 2025, 61(9), 1721; https://doi.org/10.3390/medicina61091721 - 22 Sep 2025
Cited by 1 | Viewed by 1372
Abstract
Background and Objectives: Remimazolam is a recently introduced benzodiazepine that has been increasingly adopted as an alternative to propofol. Although several trials have compared remimazolam with propofol, these studies have primarily focused on induction-related hypotension in non-gynecologic settings. To the best of our [...] Read more.
Background and Objectives: Remimazolam is a recently introduced benzodiazepine that has been increasingly adopted as an alternative to propofol. Although several trials have compared remimazolam with propofol, these studies have primarily focused on induction-related hypotension in non-gynecologic settings. To the best of our knowledge, both intraoperative hypertension and hypotension have not been systematically evaluated throughout the full anesthetic course in the specific physiologic context of robot-assisted laparoscopic gynecologic surgery performed in the steep Trendelenburg position with pneumoperitoneum. Materials and Methods: In this retrospective study, propensity score matching was performed to minimize selection bias. The demographic data of 694 patients, along with the incidence of intraoperative hypertension and hypotension, were collected through a review of medical records. Results: A total of 694 patients met the selection criteria, all of whom underwent total intravenous anesthesia (TIVA) using either remimazolam (n = 321) or propofol (n = 373). After propensity score matching, 317 pairs were analyzed. The incidence of intraoperative hypertension was higher in the remimazolam group (66.2% vs. 52.1%; p < 0.001), whereas hypotension was more frequent in the propofol group (12.0% vs. 5.4%; p = 0.003). Conclusions: TIVA with remimazolam was associated with a higher incidence of intraoperative hypertension compared to propofol, whereas propofol was more likely to cause hypotension in patients undergoing laparoscopic gynecologic surgery. Full article
(This article belongs to the Section Intensive Care/ Anesthesiology)
Show Figures

Figure 1

22 pages, 4538 KB  
Systematic Review
Total Intravenous Versus Inhalational Anesthesia in High-Grade Glioma Surgery: A Systematic Review and Meta-Analysis
by Plamen Penchev, Boris Tablov, Mariano Gallo Ruelas, Daniela Milanova-Ilieva, Lyubomir Gaydarski, Nikolay Yordanov, Eduardo Alonso, Danna Espinoza, Petar-Preslav Petrov, Ivelina Lukanova, Pavel Stanchev, Julian Dichev, Ivana Korentova and Nikolai Ramadanov
Medicina 2025, 61(8), 1463; https://doi.org/10.3390/medicina61081463 - 14 Aug 2025
Viewed by 1675
Abstract
Background and Objectives: High-grade gliomas (HGGs) are aggressive primary brain tumors with a poor prognosis despite multimodal treatment. The anesthetic technique used during surgery may influence tumor progression and survival, but its role in HGGs remains unclear. This meta-analysis evaluated the effect [...] Read more.
Background and Objectives: High-grade gliomas (HGGs) are aggressive primary brain tumors with a poor prognosis despite multimodal treatment. The anesthetic technique used during surgery may influence tumor progression and survival, but its role in HGGs remains unclear. This meta-analysis evaluated the effect of total intravenous anesthesia (TIVA) versus inhalational anesthesia (INHA) on overall survival (OS) and progression-free survival (PFS) in HGG patients. Materials and Methods: A systematic search was conducted in PubMed, Scopus, and Cochrane databases for studies assessing the impact of TIVA versus INHA on OS and PFS in HGG patients. Statistical analysis was performed using R version 4.3.1. Heterogeneity across studies was quantified using the Cochrane Q test alongside the I2 statistic. A random-effects model was employed to derive the pooled hazard ratios (HRs). Results: A total of five studies involving 827 participants (mean age 58 years, mean females 38%) were included, of whom 406 (49%) received TIVA. No statistically significant differences were observed in OS (HR 0.77; 95% CI [0.58–1.02]; p = 0.07; I2 = 67%) or PFS (HR 0.88; 95% CI [0.70–1.10]; p = 0.27; I2 = 51%) between the groups. A subgroup analysis revealed that TIVA was associated with improved OS in patients with grade IV tumors (HR 0.70; 95% CI [0.51–0.96]; p = 0.03), while no significant effect was observed in the mixed grade III–IV subgroup. However, the test for subgroup differences was not statistically significant (p = 0.0669), and this finding should be interpreted with caution. No significant differences were observed in median OS or PFS, or in single-arm meta-analyses. Conclusions: This meta-analysis found no statistically significant differences in overall or progression-free survival between TIVA and INHA in patients undergoing surgery for HGGs. Although a subgroup analysis suggested a possible survival advantage of TIVA in grade IV tumors, the lack of a statistically significant subgroup difference test limits the strength of this finding. Further investigation is needed to determine whether anesthetic technique influences outcomes in this subgroup. Full article
(This article belongs to the Special Issue High-Grade Gliomas: Updates and Challenges)
Show Figures

Figure 1

11 pages, 686 KB  
Article
Influence of Remimazolam and Propofol on Intraoperative Motor Evoked Potentials During Spinal Surgery: A Randomized Crossover Trial
by Bo Rim Kim, Hye-Bin Kim, Moo Soo Kim, Byung Gun Lim and Seok Kyeong Oh
J. Clin. Med. 2025, 14(15), 5491; https://doi.org/10.3390/jcm14155491 - 4 Aug 2025
Cited by 1 | Viewed by 1587
Abstract
Background/Objectives: Total intravenous anesthesia (TIVA) typically combines propofol and remifentanil. Remifentanil exerts minimal influence on motor evoked potential (MEP), whereas propofol partially reduces MEP amplitude. Remimazolam, a novel agent, is a component of TIVA. However, evidence of remimazolam on MEP is limited. We [...] Read more.
Background/Objectives: Total intravenous anesthesia (TIVA) typically combines propofol and remifentanil. Remifentanil exerts minimal influence on motor evoked potential (MEP), whereas propofol partially reduces MEP amplitude. Remimazolam, a novel agent, is a component of TIVA. However, evidence of remimazolam on MEP is limited. We aimed to compare the effects of propofol and remimazolam, combined with remifentanil, on relative MEP depression. Methods: Using a crossover design, 18 patients undergoing spine surgery were randomly assigned to receive either propofol or remimazolam as the first agent. In the propofol first sequence, anesthesia was induced and maintained with propofol, which was then switched to remimazolam 60 min after surgery. In the remimazolam first sequence, remimazolam was used first and then switched to propofol. The primary outcomes measured were the MEP amplitude and latency. Results: MEP amplitude and latency during propofol and remimazolam infusions were as follows: amplitude (mean (SD); 635.3 (399.1) vs. 738.4 (480.4) μV, p = 0.047) and latency (median [IQR]; 22.4 [20.3–24.6] vs. 21.4 [19.6–23.5] ms, p = 0.070), indicating propofol caused greater depression in amplitude than remimazolam. However, an incident of severe body movement disrupting surgery occurred under remimazolam anesthesia in a young, healthy male patient, although bispectral index remained below 60. This suggests that remimazolam, at hypnotic levels similar to propofol, may result in reduced akinesia in major surgeries, such as spinal surgery, when neuromuscular blockade is not employed. Conclusions: Remimazolam demonstrated comparable or superior effects to propofol on MEP latency and amplitude when combined with remifentanil during spinal surgery, rendering it a potential alternative to propofol for MEP monitoring. Full article
(This article belongs to the Section Anesthesiology)
Show Figures

Figure 1

10 pages, 223 KB  
Case Report
Total Intravenous Anesthesia Using Target-Controlled Infusion with Propofol for Category 1 Emergency Cesarean Section in Patients with Preeclampsia with Severe Features
by Janos Szederjesi, Emoke Almasy, Oana Elena Branea and Matild Keresztes
Life 2025, 15(8), 1237; https://doi.org/10.3390/life15081237 - 4 Aug 2025
Cited by 1 | Viewed by 2016
Abstract
Preeclampsia with severe features presents major anesthetic challenges, particularly in category 1 cesarean sections, in which rapid, safe, and hemodynamically stable induction is critical. Neuraxial techniques may be controversial due to neurological symptoms, making general anesthesia a viable option. However, traditional general anesthesia [...] Read more.
Preeclampsia with severe features presents major anesthetic challenges, particularly in category 1 cesarean sections, in which rapid, safe, and hemodynamically stable induction is critical. Neuraxial techniques may be controversial due to neurological symptoms, making general anesthesia a viable option. However, traditional general anesthesia may exacerbate hypertension and increase maternal and fetal risks. Two primigravida patients with elevated blood pressure and neurological symptoms underwent category 1 cesarean delivery under TIVA-TCI with propofol, using the Marsh model. Hemodynamic stability, drug dosing, and maternal–neonatal outcomes were monitored. Sufentanil was administered for analgesia; neuromuscular blockade was achieved with rocuronium and reversed with sugammadex. No BIS or TOF monitoring was available. Both patients maintained stable hemodynamics and oxygenation throughout surgery. Intubation was successfully performed at an effect-site concentration of 3.5 µg/mL. Neonatal Apgar scores were within acceptable limits. No major complications occurred intraoperatively or postoperatively. TCI allowed individualized dosing and smooth emergence. TIVA-TCI with propofol appears to be a viable alternative to volatile-based general anesthesia in category 1 emergencies for cesarean sections for patients with preeclampsia with severe features, especially when neuraxial anesthesia is controversial. It offers hemodynamic stability and controlled depth of anesthesia, though its use requires experience and may not be optimal in cases requiring ultra-rapid induction. Full article
(This article belongs to the Special Issue Prevention, Diagnosis, and Treatment of Gestational Diseases)
23 pages, 343 KB  
Article
How Do China’s OFDI Motivations Affect the Bilateral GVC Relationship and Sustainable Global Economy?
by Min Wang
Sustainability 2025, 17(15), 7049; https://doi.org/10.3390/su17157049 - 3 Aug 2025
Viewed by 1236
Abstract
The purpose of this paper is to analyze how China’s outward foreign direct investment (OFDI), driven by different motivations, affects the bilateral global value chain (GVC) relationship between the home country (China) and host countries, evaluating both bilateral GVC trade value and relative [...] Read more.
The purpose of this paper is to analyze how China’s outward foreign direct investment (OFDI), driven by different motivations, affects the bilateral global value chain (GVC) relationship between the home country (China) and host countries, evaluating both bilateral GVC trade value and relative GVC positions. Employing the OECD Trade in Value Added (TiVA) database combined with Chinese listed firm data, we found the following results: (1) Strategic asset-seeking OFDI strengthens the GVC relationship between China and host countries while enhancing China’s GVC position relative to host countries. (2) Efficiency-seeking OFDI increases the domestic value-added exported from host countries to China but does not improve China’s relative GVC position. (3) Natural resource-seeking OFDI enhances bilateral GVC trade volumes but has no significant impact on the relative GVC positions of China and host countries. (4) China’s OFDI, not driven by these motivations, generates a trade substitution effect between home and host countries. We also examined the heterogeneity of these effects. Our findings suggest that China’s OFDI fosters equitable and sustainable international cooperation, supports mutually beneficial GVC trade and host-country economic growth, and therefore, progresses toward Sustainable Development Goal (SDG) 8. Full article
19 pages, 1773 KB  
Systematic Review
Immunomodulatory Effects of Anesthetic Techniques in Lung Cancer Surgery: A Systematic Review and Meta-Analysis
by Georgios Konstantis, Ilias Katsadouros, Georgia Tsaousi, Vasileios Grosomanidis and Chryssa Pourzitaki
Medicina 2025, 61(7), 1263; https://doi.org/10.3390/medicina61071263 - 12 Jul 2025
Cited by 2 | Viewed by 992
Abstract
Background and Objectives: Lung cancer represents one of the principal causes of cancer-associated mortality worldwide. Despite the numerous novel therapeutic agents, surgical resection remains, in many cases, the mainstay treatment. A growing body of evidence indicates that the anesthetic technique of choice [...] Read more.
Background and Objectives: Lung cancer represents one of the principal causes of cancer-associated mortality worldwide. Despite the numerous novel therapeutic agents, surgical resection remains, in many cases, the mainstay treatment. A growing body of evidence indicates that the anesthetic technique of choice contributes to perioperative immunosuppression, thus having an impact on cancer recurrence and prognosis. The aim of this systematic review is to provide a thorough summary of the current literature regarding the modulation of the immune response induced by the various anesthetic techniques that are used in lung cancer surgery, with a particular emphasis on cellular immunity. Materials and Methods: PubMed, Scopus, and the Cochrane databases were systematically searched from November 2023 up to March 2024 to identify randomized controlled trials (RCTs) that met the eligibility criteria. Results: A total of seven RCTs were included. Four of the RCTs compared the administration of general anesthesia alone versus general anesthesia combined with epidural anesthesia. The subsequent meta-analysis showed that the combination of general and epidural anesthesia exerted a positive impact on the cell counts of the CD3+ cells (SMD −0.42, 95% Cl −0.70 to −0.13 24 h postoperatively and SMD −0.86 95% Cl −1.48 to −0.23 72 h postoperatively), the CD4+ cells (SMD −0.41 95% Cl −0.69 to −0.12 at the end of surgery and SMD −0.56 95% Cl −0.85 to −0.27 72 h later), and the CD4+/CD8+ ratio (SMD −0.31 95% Cl −0.59 to −0.02 immediately after surgery, SMD −0.50 95% Cl −0.86 to −0.14 24 h postoperatively, and SMD −0.60 95% Cl −0.89 to −0.31 72 h later). The pooled results regarding CD8+ and NK cell counts were inconclusive. The remaining three studies compared volatile-based anesthesia with total intravenous anesthesia (TIVA). Due to disparities between these studies, qualitative analysis was inconclusive, whereas quantitative analysis was not feasible. Conclusions: The supplementation of general anesthesia with epidural anesthesia favorably impacts CD3+ and CD4+ cell counts, as well as the CD4+/CD8+ ratio. The present results and the effects of anesthetic technique on other immune cells must be consolidated with further high-quality studies. Full article
(This article belongs to the Section Pharmacology)
Show Figures

Figure 1

14 pages, 976 KB  
Article
Propofol Total Intravenous Anesthesia for Pediatric Proton Radiotherapy and Its Effect on Patient Outcomes
by Pascal Owusu-Agyemang, Julie Mani, Techecia Idowu, Acsa Zavala, January Tsai, Ravish Kapoor, Olakunle Idowu, Jose Galdamez Melara, Pallavi Muraleedharan, Clara Francis, Lei Feng and Juan Cata
Cancers 2025, 17(12), 1904; https://doi.org/10.3390/cancers17121904 - 7 Jun 2025
Viewed by 1391
Abstract
Background: Patient motion poses significant challenges for the accurate delivery of radiotherapy. In children undergoing proton beam therapy (PBT), up to 30 treatments under general anesthesia may be required over a period of 6 to 8 weeks. To date, the impact of this [...] Read more.
Background: Patient motion poses significant challenges for the accurate delivery of radiotherapy. In children undergoing proton beam therapy (PBT), up to 30 treatments under general anesthesia may be required over a period of 6 to 8 weeks. To date, the impact of this many iterative anesthetic exposures on patient outcomes remains unclear. Objective: The primary objective of this study was to assess the impact of iterative anesthesia with propofol-based total intravenous anesthesia (propofol-TIVA) on overall survival. The secondary objective was to assess the association between propofol-TIVA and the occurrence of an unplanned admission or emergency room visit within 30 days of treatment start. Methods: This was a retrospective study of children (≤19 years) who had undergone PBT (with or without anesthesia) for central nervous system disease. The Log-rank test and Cox proportional hazards models were used for analysis. Propensity score matching and E-value analyses were used to adjust for selection bias. Results: The average age of the 461 children included was 9.0 years (SD ± 4.9). The majority, 261/461 (56.6%), were male, and 267/461 (57.9%) had undergone PBT without anesthesia. The group who underwent PBT with propofol-TIVA were younger (4.7 years vs. 12.2 years, p < 0.001) and had higher proportions of patients with treatment interruptions (111/194 [57.2%] vs. 118/267 [44.2%], p = 0.006), chemotherapy history (64/194 [33.0%] vs. 18/267 [6.7%], p < 0.001), concurrent chemotherapy (37/194 [19.1%] vs. 27/267 [10.1%], p = 0.006), and unplanned admissions/emergency room visits (26/194 [13.4%] vs. 1/267 [0.4%], p < 0.001). Overall survival rates (propofol-TIVA vs. no anesthesia) at 1yr (94% vs. 96%), 2 years (88% vs. 90%), and 3 years (88% vs. 89%) were similar between patient groups (p = 0.558). In the multivariable analysis, PBT with propofol-TIVA was associated with increased odds of an unplanned admission/emergency room visit before (OR, 38.311; 95%CI, 5.139–285.580; p < 0.001) and after (OR, 42.012; 95% CI, 5.322–331.632; p < 0.001; E-value = 83.52) propensity score matching. Conclusions: In this retrospective study of children undergoing PBT for central nervous system disease, there was no association between anesthesia exposure with propofol-based total intravenous anesthesia and overall survival. However, PBT with propofol-based total intravenous anesthesia was associated with an increased risk of an unplanned admission/emergency room visit within 30 days of treatment start. Full article
(This article belongs to the Special Issue Perioperative Management and Cancer Outcome)
Show Figures

Figure 1

11 pages, 415 KB  
Article
Remimazolam-Based Anesthesia and Systemic Inflammatory Biomarkers in Relation to Postoperative Delirium in Elderly Patients: A Retrospective Cohort Study
by Hayoung Lee, Keunyoung Kim and Cheol Lee
Medicina 2025, 61(6), 1023; https://doi.org/10.3390/medicina61061023 - 30 May 2025
Cited by 2 | Viewed by 1722
Abstract
Background and Objectives: Postoperative delirium (POD) is a common complication in elderly patients undergoing major surgery, associated with systemic inflammation and potentially influenced by anesthetic techniques. This study investigated whether remimazolam-based total intravenous anesthesia (R-TIVA) reduces the level of systemic inflammatory biomarkers [...] Read more.
Background and Objectives: Postoperative delirium (POD) is a common complication in elderly patients undergoing major surgery, associated with systemic inflammation and potentially influenced by anesthetic techniques. This study investigated whether remimazolam-based total intravenous anesthesia (R-TIVA) reduces the level of systemic inflammatory biomarkers and the incidence of POD more compared to inhalational anesthesia (IA) or balanced anesthesia (BA) in patients aged ≥ 65 years undergoing major non-neurosurgical, non-cardiac surgery. Materials and Methods: This retrospective cohort study analyzed the medical records of 340 patients categorized by anesthesia type: R-TIVA (n = 111), IA (n = 117), or BA (n = 112). Propensity score matching (PSM) created POD (n = 104) and No POD (n = 106) cohorts. Systemic inflammatory biomarkers—the systemic immune–inflammation index (SII), the neutrophil-to-lymphocyte ratio (NLR), the platelet-to-lymphocyte ratio (PLR), and C-reactive protein (CRP)—were measured pre- and postoperatively. POD was identified by clinical symptoms or the postoperative use of antipsychotics/sedatives. Results: The incidence of POD did not significantly differ among the R-TIVA, IA, and BA groups. However, the postoperative SII, NLR, PLR, and CRP levels were significantly lower in the R-TIVA group compared to those in the IA group (p < 0.05). Both the preoperative (rpb = 0.72, p < 0.01) and postoperative (rpb = 0.58, p < 0.01) NLRs were strongly correlated with POD. Higher NLR values predicted the incidence of POD, with odds ratios of 1.71 for preoperative and 1.32 for postoperative measurements. Conclusions: While R-TIVA did not significantly reduce the incidence of POD compared to that of IA or BA, it was associated with reduced levels of postoperative inflammatory biomarkers. The preoperative and postoperative NLRs emerged as strong predictors of POD, suggesting their potential utility in guiding prophylactic strategies for older surgical patients. These findings underscore the interplay between anesthesia type, systemic inflammation, and delirium risk. Full article
(This article belongs to the Section Intensive Care/ Anesthesiology)
Show Figures

Figure 1

13 pages, 229 KB  
Review
Neuroendoscopy and Postoperative Nausea and Vomiting: Pathophysiology, Incidence and Management Strategies
by Vincenzo Pota, Francesco Coletta, Francesca Pascazio, Pasquale Rinaldi, Antonio Tomasello, Giovanna Paola De Marco, Francesca Schettino, Maria Beatrice Passavanti, Pasquale Sansone, Maria Caterina Pace, Manlio Barbarisi, Roberto Altieri, Romolo Villani and Francesco Coppolino
Brain Sci. 2025, 15(6), 586; https://doi.org/10.3390/brainsci15060586 - 29 May 2025
Cited by 1 | Viewed by 2371
Abstract
Neuroendoscopy is a minimally invasive surgical technique used to treat brain pathologies such as hydrocephalus, arachnoid cysts, and skull base tumors. While it offers several advantages, including reduced tissue trauma and lower morbidity, it is associated with a high risk of postoperative nausea [...] Read more.
Neuroendoscopy is a minimally invasive surgical technique used to treat brain pathologies such as hydrocephalus, arachnoid cysts, and skull base tumors. While it offers several advantages, including reduced tissue trauma and lower morbidity, it is associated with a high risk of postoperative nausea and vomiting (PONV). This paper provides a narrative review of the literature on the incidence, pathophysiology, and management of PONV in patients undergoing neuroendoscopic procedures. The review includes several studies published between 2001 and 2024, analyzing specific risk factors such as female gender, postoperative opioid use, extended endoscopic approaches, and cavernous sinus dissection. PONV prevention strategies include a multimodal approach combining total intravenous anesthesia (TIVA) with propofol, perioperative hydration, and pharmacological prophylaxis (5-HT3 receptor antagonists, NK1 antagonists, dexamethasone, and droperidol). Despite advances in surgical and anesthetic techniques, further research is needed to develop procedure-specific protocols and optimize PONV management in neuroendoscopy. Full article
(This article belongs to the Special Issue Current Research in Neurosurgery)
13 pages, 1292 KB  
Article
The Effect of Sevoflurane Versus Total Intravenous Anesthesia on Intraocular Pressure in Patients Undergoing Coronary Artery Bypass Graft Surgery with Cardiopulmonary Bypass: A Prospective Observational Study
by Zeynep Yasemin Tavsanoglu, Ali Sait Kavakli, Senay Canim Erdem, Arzu Karaveli, Ulku Arslan, Adnan Yalcinkaya, Ali Umit Yener and Berna Dogan
Medicina 2025, 61(6), 975; https://doi.org/10.3390/medicina61060975 - 25 May 2025
Viewed by 1223
Abstract
Background and Objectives: The aim of this study was to compare the effects of sevoflurane-based anesthesia and propofol-based total intravenous anesthesia (TIVA) on intraocular pressure (IOP) during coronary artery bypass graft surgery (CABG) with cardiopulmonary bypass (CPB). Materials and Methods: This [...] Read more.
Background and Objectives: The aim of this study was to compare the effects of sevoflurane-based anesthesia and propofol-based total intravenous anesthesia (TIVA) on intraocular pressure (IOP) during coronary artery bypass graft surgery (CABG) with cardiopulmonary bypass (CPB). Materials and Methods: This prospective observational monocentric study included 68 patients scheduled for CABG with CPB, divided into two groups of propofol-based TIVA (Group P) and sevoflurane-based anesthesia (Group S). Intraocular pressure was measured and recorded at eight predefined time points using a tonometer: before anesthesia induction (T1), 10 min after induction (T2), immediately before the beginning of CPB (T3), 3 min after the beginning of CPB (T4), 3 min after cross-clamping (T5), 3 min after cross-clamp removal (T6), immediately before the weaning of CPB (T7), and at the end of the surgery (immediately after skin closure) (T8). The primary endpoint was to examine the effects of propofol-based TIVA and sevoflurane-based anesthesia methods on IOP during CABG operation. The secondary endpoints included a comparison of hemodynamic variables, blood gas values, and intensive care unit (ICU) and hospital stays. Results: Intraocular pressure values were similar for both groups at all time points. A statistically significant decrease was found in IOP in all measurements after induction compared to pre-induction values in both Group P and Group S (p < 0.05). Compared to IOP measured at 10 min after induction, no statistically significant difference was found at all subsequent time points in both groups. When the right and left IOP values were compared, no statistically significant difference was detected at all time points in both Group P and Group S. Conclusions: The results of the study indicated that propofol-based TIVA and sevoflurane-based anesthesia had similar effects on IOP in patients undergoing CABG with CPB. Full article
(This article belongs to the Section Intensive Care/ Anesthesiology)
Show Figures

Figure 1

11 pages, 1825 KB  
Article
Prospective Randomized Comparison of Opioid-Based Versus Non-Opioid-Based Anaesthetic Protocols for Endobronchial Ultrasound-Guided Transbronchial Needle Aspiration (EBUS-TBNA)
by Anna Szelka-Urbanczyk, Maja Copik, Hanna Misiolek, Ewa Olewnicka, Maria Mirek and Szymon Białka
J. Clin. Med. 2025, 14(6), 1964; https://doi.org/10.3390/jcm14061964 - 14 Mar 2025
Cited by 1 | Viewed by 1098
Abstract
Background: The evolution of interventional pulmonology has necessitated the refinement of anesthetic techniques to ensure the safety and efficacy of procedures such as endobronchial ultrasound-guided transbronchial needle aspiration (EBUS-TBNA), particularly when performed outside the conventional operating room setting. The management of anesthesia in [...] Read more.
Background: The evolution of interventional pulmonology has necessitated the refinement of anesthetic techniques to ensure the safety and efficacy of procedures such as endobronchial ultrasound-guided transbronchial needle aspiration (EBUS-TBNA), particularly when performed outside the conventional operating room setting. The management of anesthesia in patients with significant comorbidities, classified as American Society of Anesthesiologists (ASA) class III, presents distinct challenges. In this context, the transtracheal block emerges as a viable alternative to total intravenous anesthesia (TIVA) for these high-risk procedures. Objectives: This study aims to evaluate the comparative safety and efficacy of opioid-based intravenous analgesia versus a regimen combining sedative agents with transtracheal block in the administration of anesthesia for EBUS TBNA in high-risk patients. Design: We conducted a randomized observational study involving 57 elective EBUS-TBNA patients classified as ASA class III. Methods: Participants were allocated into two cohorts: one receiving intravenous opioid analgesia and the other receiving a combination of sedative agents with transtracheal block. Collected data encompassed patient demographics, medical history, incidence of adverse events during anesthesia, indicators of sympathetic nervous system activation, patient satisfaction levels, and the procedural conditions as assessed by the operator. Results: Opioid anesthesia was associated with increased desaturation (95.7% vs. 60.6%; p < 0.05) and higher pain-related sympathetic responses (VAS and SCI at 40–100; p < 0.05). No differences in other adverse events, patient satisfaction, or procedural conditions were noted. Conclusions: In summary, the study indicates that transtracheal block combined with sedatives may be a safer anesthetic alternative to opioid-based regimens for high-risk EBUS-TBNA patients, reducing desaturation and pain-related sympathetic activity without affecting satisfaction or procedural efficacy. Full article
(This article belongs to the Special Issue Perioperative Management in Thoracic Surgery)
Show Figures

Figure 1

16 pages, 1150 KB  
Article
Evaluating Midazolam’s Influence on Bispectral Index and Propofol Concentrations Using Schnider and Eleveld Models in Target-Controlled Infusion General Anesthesia: A Prospective Observational Study
by Federico Linassi, Paolo Zanatta, Matthias Kreuzer, Emma Ciavattini, Christian Rizzetto and Michele Carron
Life 2025, 15(2), 219; https://doi.org/10.3390/life15020219 - 31 Jan 2025
Viewed by 3124
Abstract
Background: Midazolam is widely used in clinical anesthesia, but its effects on the Bispectral Index (BIS) and propofol concentration at the effector site (CeP) are underexplored. This study investigates the pharmacodynamic interaction between midazolam and propofol in total intravenous anesthesia (TIVA) with target-controlled [...] Read more.
Background: Midazolam is widely used in clinical anesthesia, but its effects on the Bispectral Index (BIS) and propofol concentration at the effector site (CeP) are underexplored. This study investigates the pharmacodynamic interaction between midazolam and propofol in total intravenous anesthesia (TIVA) with target-controlled infusion (TCI), focusing on Schnider and Eleveld models. Methods: This prospective study included breast surgery patients receiving TIVA-TCI. BIS and CeP were assessed at loss of responsiveness (LoR), during maintenance (MA), and at return of responsiveness (RoR). Incidences of unwanted spontaneous responsiveness (USRE), burst suppression episodes (BSuppE), and postoperative delirium (POD) were recorded. Results: Midazolam premedication significantly reduced propofol doses and CeP at LoR and during MA, without affecting CeP at RoR. In the Schnider model, midazolam reduced total propofol dose, while in the Eleveld model, it lowered BIS at LoR. Unwanted anesthesia events occurred in 36.2% of patients, including USRE (10%), BSuppE (26.2%), and POD (1.2%). BSuppE rates were lower in the Schnider model and reduced in the midazolam group in the Eleveld model. Conclusions: Midazolam premedication influences CeP and BIS in TIVA-TCI, with model-specific variations, optimizing propofol management and improving patient outcomes. Full article
(This article belongs to the Section Medical Research)
Show Figures

Figure 1

Back to TopTop