Sign in to use this feature.

Years

Between: -

Subjects

remove_circle_outline
remove_circle_outline
remove_circle_outline

Journals

Article Types

Countries / Regions

Search Results (4)

Search Parameters:
Keywords = Paenibacillus polymyxa KF-1

Order results
Result details
Results per page
Select all
Export citation of selected articles as:
15 pages, 3654 KB  
Article
Cloning, Expression, Purification, and Characterization of a Novel β-Galactosidase/α-L-Arabinopyranosidase from Paenibacillus polymyxa KF-1
by Jing Cui, Yibing Wang, Andong Zhou, Shuhui He, Zihan Mao, Ting Cao, Nan Wang and Ye Yuan
Molecules 2023, 28(22), 7464; https://doi.org/10.3390/molecules28227464 - 7 Nov 2023
Cited by 1 | Viewed by 2802
Abstract
Glycosidases are essential for the industrial production of functional oligosaccharides and many biotech applications. A novel β-galactosidase/α-L-arabinopyranosidase (PpBGal42A) of the glycoside hydrolase family 42 (GH42) from Paenibacillus polymyxa KF-1 was identified and functionally characterized. Using pNPG as a substrate, the recombinant PpBGal42A [...] Read more.
Glycosidases are essential for the industrial production of functional oligosaccharides and many biotech applications. A novel β-galactosidase/α-L-arabinopyranosidase (PpBGal42A) of the glycoside hydrolase family 42 (GH42) from Paenibacillus polymyxa KF-1 was identified and functionally characterized. Using pNPG as a substrate, the recombinant PpBGal42A (77.16 kD) was shown to have an optimal temperature and pH of 30 °C and 6.0. Using pNPαArap as a substrate, the optimal temperature and pH were 40 °C and 7.0. PpBGal42A has good temperature and pH stability. Furthermore, Na+, K+, Li+, and Ca2+ (5 mmol/L) enhanced the enzymatic activity, whereas Mn2+, Cu2+, Zn2+, and Hg2+ significantly reduced the enzymatic activity. PpBGal42A hydrolyzed pNP-β-D-galactoside and pNP-α-L-arabinopyranoside. PpBGal42A liberated galactose from β-1,3/4/6-galactobiose and galactan. PpBGal42A hydrolyzed arabinopyranose at C20 of ginsenoside Rb2, but could not cleave arabinofuranose at C20 of ginsenoside Rc. Meanwhile, the molecular docking results revealed that PpBGal42A efficiently recognized and catalyzed lactose. PpBGal42A hydrolyzes lactose to galactose and glucose. PpBGal42A exhibits significant degradative activity towards citrus pectin when combined with pectinase. Our findings suggest that PpBGal42A is a novel bifunctional enzyme that is active as a β-galactosidase and α-L-arabinopyranosidase. This study expands on the diversity of bifunctional enzymes and provides a potentially effective tool for the food industry. Full article
Show Figures

Figure 1

17 pages, 14924 KB  
Article
A Novel PL9 Pectate Lyase from Paenibacillus polymyxa KF-1: Cloning, Expression, and Its Application in Pectin Degradation
by Ye Yuan, Xin-Yu Zhang, Yan Zhao, Han Zhang, Yi-Fa Zhou and Juan Gao
Int. J. Mol. Sci. 2019, 20(12), 3060; https://doi.org/10.3390/ijms20123060 - 22 Jun 2019
Cited by 29 | Viewed by 5112
Abstract
Pectate lyases play an important role in pectin degradation, and therefore are highly useful in the food and textile industries. Here, we report on the cloning of an alkaline pectate lyase gene (pppel9a) from Paenibacillus polymyxa KF-1. The full-length gene (1350 [...] Read more.
Pectate lyases play an important role in pectin degradation, and therefore are highly useful in the food and textile industries. Here, we report on the cloning of an alkaline pectate lyase gene (pppel9a) from Paenibacillus polymyxa KF-1. The full-length gene (1350 bp) encodes for a 449-residue protein that belongs to the polysaccharide lyase family 9 (PL9). Recombinant PpPel9a produced in Escherichia coli was purified to electrophoretic homogeneity in a single step using Ni2+-NTA affinity chromatography. The enzyme activity of PpPel9a (apparent molecular weight of 45.3 kDa) was found to be optimal at pH 10.0 and 40 °C, with substrate preference for homogalacturonan type (HG) pectins vis-à-vis rhamnogalacturonan-I (RG-I) type pectins. Using HG-type pectins as substrate, PpPel9a showed greater activity with de-esterified HGs. In addition, PpPel9a was active against water-soluble pectins isolated from different plants. Using this lyase, we degraded citrus pectin, purified fractions using Diethylaminoethyl (DEAE)-sepharose column chromatography, and characterized the main fraction MCP-0.3. High-performance gel permeation chromatography (HPGPC) analysis showed that the molecular mass of citrus pectin (~230.2 kDa) was reduced to ~24 kDa upon degradation. Ultra-performance liquid chromatography - tandem mass spectrometer (UPLC-MS) and monosaccharide composition analyses demonstrated that PpPel9a worked as an endo-pectate lyase, which acted primarily on the HG domain of citrus pectin. In vitro testing showed that the degradation product MCP-0.3 significantly promotes the growth of Lactobacillus plantarum and L. rhamnosus. In this regard, the enzyme has potential in the preparation of pharmacologically active pectin products. Full article
Show Figures

Figure 1

18 pages, 4123 KB  
Article
Screening of a Novel Glycoside Hydrolase Family 51 α-L-Arabinofuranosidase from Paenibacillus polymyxa KF-1: Cloning, Expression, and Characterization
by Yanbo Hu, Yan Zhao, Shuang Tian, Guocai Zhang, Yumei Li, Qiang Li and Juan Gao
Catalysts 2018, 8(12), 589; https://doi.org/10.3390/catal8120589 - 28 Nov 2018
Cited by 13 | Viewed by 3914
Abstract
Paenibacillus polymyxa exhibits remarkable hemicellulolytic activity. In the present study, 13 hemicellulose-degrading enzymes were identified from the secreted proteome of P. polymyxa KF-1 by liquid chromatography-tandem mass spectrometry analysis. α-L-arabinofuranosidase is an important member of hemicellulose-degrading enzymes. A novel α-L-arabinofuranosidase (PpAbf51b), [...] Read more.
Paenibacillus polymyxa exhibits remarkable hemicellulolytic activity. In the present study, 13 hemicellulose-degrading enzymes were identified from the secreted proteome of P. polymyxa KF-1 by liquid chromatography-tandem mass spectrometry analysis. α-L-arabinofuranosidase is an important member of hemicellulose-degrading enzymes. A novel α-L-arabinofuranosidase (PpAbf51b), belonging to glycoside hydrolase family 51, was identified from P. polymyxa. Recombinant PpAbf51b was produced in Escherichia coli BL21 (DE3) and was found to be a tetramer using gel filtration chromatography. PpAbf51b hydrolyzed neutral arabinose-containing polysaccharides, including sugar beet arabinan, linear-1,5-α-L-arabinan, and wheat arabinoxylan, with L-arabinose as the main product. The products from hydrolysis indicate that PpAbf51b functions as an exo-α-L-arabinofuranosidase. Combining PpAbf51b and Trichoderma longibrachiatum endo-1,4-xylanase produced significant synergistic effects for the degradation of wheat arabinoxylan. The α-L-arabinofuranosidase identified from the secretome of P. polymyxa KF-1 is potentially suitable for application in biotechnological industries. Full article
(This article belongs to the Special Issue Novel Enzyme and Whole-Cell Biocatalysis)
Show Figures

Figure 1

14 pages, 3583 KB  
Article
Screening of a Novel Polysaccharide Lyase Family 10 Pectate Lyase from Paenibacillus polymyxa KF-1: Cloning, Expression and Characterization
by Yan Zhao, Ye Yuan, Xinyu Zhang, Yumei Li, Qiang Li, Yifa Zhou and Juan Gao
Molecules 2018, 23(11), 2774; https://doi.org/10.3390/molecules23112774 - 26 Oct 2018
Cited by 29 | Viewed by 4305
Abstract
Pectate lyase (EC 4.2.2.2) catalyzes the cleavage of α-1,4-glycosidic bonds of pectin polymers, and it has potential uses in the textile industry. In this study, a novel pectate lyase belonging to polysaccharide lyase family 10 was screened from the secreted enzyme extract of [...] Read more.
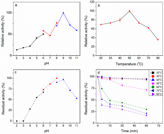
Pectate lyase (EC 4.2.2.2) catalyzes the cleavage of α-1,4-glycosidic bonds of pectin polymers, and it has potential uses in the textile industry. In this study, a novel pectate lyase belonging to polysaccharide lyase family 10 was screened from the secreted enzyme extract of Paenibacillus polymyxa KF-1 and identified by liquid chromatography-MS/MS. The gene was cloned from P. polymyxa KF-1 genomic DNA and expressed in Escherichia coli. The recombinant enzyme PpPel10a had a predicted Mr of 45.2 kDa and pI of 9.41. Using polygalacturonic acid (PGA) as substrate, the optimal conditions for PpPel10a reaction were determined to be 50 °C and pH 9.0, respectively. The Km, vmax and kcat values of PpPel10a with PGA as substrate were 0.12 g/L, 289 μmol/min/mg, and 202.3 s−1, respectively. Recombinant PpPel10a degraded citrus pectin, producing unsaturated mono- and oligogalacturonic acids. PpPel10a reduced the viscosity of PGA, and weight loss of ramie (Boehmeria nivea) fibers was observed after treatment with the enzyme alone (22.5%) or the enzyme in combination with alkali (26.3%). This enzyme has potential for use in plant fiber processing. Full article
(This article belongs to the Section Chemical Biology)
Show Figures

Figure 1

Back to TopTop