Sign in to use this feature.

Years

Between: -

Subjects

remove_circle_outline
remove_circle_outline
remove_circle_outline
remove_circle_outline
remove_circle_outline
remove_circle_outline

Journals

Article Types

Countries / Regions

remove_circle_outline
remove_circle_outline
remove_circle_outline
remove_circle_outline
remove_circle_outline

Search Results (182)

Search Parameters:
Keywords = PNPLA3

Order results
Result details
Results per page
Select all
Export citation of selected articles as:
15 pages, 290 KB  
Article
Dietary Patterns, Hepatic Fat Fraction, and the Role of Genotype
by Kyle Salmon, Catherine C. Cohen, Leslie Lange, Dana Dabelea and Wei Perng
Nutrients 2026, 18(7), 1087; https://doi.org/10.3390/nu18071087 - 28 Mar 2026
Viewed by 64
Abstract
Background/Objectives: We aimed to identify eating habits associated with hepatic fat fraction (HFF) and assess effect modification by an established genetic variant for fatty liver disease, PNPLA3 rs738409, among 381 general-risk adolescents. Methods: Dietary intake was assessed using the Block Kids [...] Read more.
Background/Objectives: We aimed to identify eating habits associated with hepatic fat fraction (HFF) and assess effect modification by an established genetic variant for fatty liver disease, PNPLA3 rs738409, among 381 general-risk adolescents. Methods: Dietary intake was assessed using the Block Kids Food Frequency Questionnaire and HFF was measured via magnetic resonance imaging (MRI) at age ~16 years. We first characterized naturally occurring dietary patterns using principal component analysis followed by reduced-rank regression with HFF as the response variable to identify a dietary pattern that is both relevant to the population and associated with HFF. Next, we investigated associations of the dietary pattern with HFF using linear regression models that accounted for maternal gestational diabetes, education, and prenatal smoking and child sex, age, Tanner stage, and BMI. Finally, we tested for a dietary pattern and PNPLA3 rs738409 interaction and stratified by genotype if P-interaction < 0.05. Results: The participants were 16.7 ± 1.2 years (range: 12.6–19.6 years). Half were female (50.4%) and 52.0% identified as non-Hispanic White. The dietary pattern of interest was composed of vegetables, fruit, nuts and seeds, oatmeal, sports bars, crackers and sandwiches, and beef, and was inversely associated with HFF (−0.48 [95% CI: −0.81, −0.16]). Stratified analyses revealed the strongest inverse association observed between the diet pattern score and HFF in the high-risk-variant (GG) group (−2.19 [−4.35, −0.03]), followed by the intermediate-risk (CG) group (−0.43 [−0.77, −0.10]), but not the low-risk (CC) group (−0.32 [−0.77, 0.13]). Conclusions: A diet high in vegetables, fruit, nuts and seeds, oatmeal, sports bars, crackers and sandwiches, and beef—potentially capturing an active, on-the-go lifestyle—is associated with lower HFF during adolescence, especially among individuals at genetic risk. Full article
17 pages, 667 KB  
Article
Ferritin and Liver Steatosis in Children: Interactions Between Metabolic Clustering and PNPLA3 Variants
by Mihaela-Andreea Podeanu, Raluca Elena Sandu, Bianca Ștefănița Vintilescu, Claudiu Marinel Ionele, Ion Rogoveanu, Ioana Streață, Carmen Elena Niculescu, Dan Nicolae Florescu, Sergiu-Marian Cazacu, Ștefania Cornelia Andrei, Adina Maria Barbu and Mioara Desdemona Stepan
Int. J. Mol. Sci. 2026, 27(7), 3044; https://doi.org/10.3390/ijms27073044 - 27 Mar 2026
Viewed by 183
Abstract
Metabolic abnormalities are frequently associated with hepatic steatosis and low-grade inflammation, yet the contributions of iron metabolism and genetic susceptibility are not fully understood. We aimed to investigate the relationship between serum ferritin, hepatic steatosis, metabolic risk clustering, and the PNPLA3 rs738409 gene [...] Read more.
Metabolic abnormalities are frequently associated with hepatic steatosis and low-grade inflammation, yet the contributions of iron metabolism and genetic susceptibility are not fully understood. We aimed to investigate the relationship between serum ferritin, hepatic steatosis, metabolic risk clustering, and the PNPLA3 rs738409 gene variant in children. A total of 68 children aged 6–14 years underwent anthropometric, biochemical, imaging, and genetic assessment. Hepatic steatosis was present in 72.1% of participants, with fibrosis greater than F1 in 42.6%. Serum ferritin showed a strong correlation with echographic liver steatosis severity (ρ = 0.804, p < 0.001) and a moderate correlation with the number of metabolic risk components (ρ = 0.482, p < 0.001). The highest metabolic burden occurred in children with low iron and elevated ferritin. While PNPLA3 status did not independently predict ferritin levels, carriers had a significantly higher prevalence of hypertension (50.0% vs. 25.0%, p = 0.038) and a non-significant trend toward low HDL-C (65.0% vs. 42.9%, p = 0.070). Ferritin was associated with metabolic clustering and ultrasound-defined hepatic steatosis, acting as a nonspecific marker of combined metabolic and hepatic alterations. PNPLA3 genotype was not independently related to ferritin or fibrosis in early pediatric disease. Given the cross-sectional design and the relatively small sample size, these findings should be interpreted as exploratory and further studies including larger populations and direct inflammatory markers should be conducted. Full article
Show Figures

Figure 1

11 pages, 248 KB  
Brief Report
Genes Involved in Lipid, Carbohydrate, and Protein Metabolism as Candidates Affecting Beef Flavor
by Andrea Rando, Giulia Grassi, Anna Maria Perna and Paola Di Gregorio
Animals 2026, 16(7), 1003; https://doi.org/10.3390/ani16071003 - 25 Mar 2026
Viewed by 158
Abstract
Beef flavor is a trait difficult to evaluate since different senses (taste, touch, and smell) are involved in its perception. In the last 20 years, 102 Quantitative Trait Loci (QTLs), associated with the variability of different beef flavor notes, have been reported. These [...] Read more.
Beef flavor is a trait difficult to evaluate since different senses (taste, touch, and smell) are involved in its perception. In the last 20 years, 102 Quantitative Trait Loci (QTLs), associated with the variability of different beef flavor notes, have been reported. These QTLs are spread on all chromosomes, including BTA X. In these QTL regions, 2509 genes are located and, among them, 594 are involved in the metabolic processes of lipids, proteins, and carbohydrates, the main meat components for the production of volatile substances responsible for flavor. Only 19 of these genes (ACSM2B, ACSM3, ACSM4, ACSM5, CHID1, DHCR7, EDEM3, GDE1, HEXB, IGF2, INS, NDUFAB1, PIGC, PNPLA2, PRDX6, SCNN1B, SIAE, SMG1, and UMOD) are also present in the QTL regions affecting pork flavor. The applied approach allowed us to strongly restrict the number of candidate genes to affect the variability of both beef and pork flavor. Full article
(This article belongs to the Section Animal Products)
28 pages, 6269 KB  
Article
Glyphosate-Induced Metabolic and Immune Modulation in Hepatoma Cells: Identification of Key Genes as Diagnostic and Therapeutic Targets Using an In Silico Systems Biology Approach
by Divya Mishra
J. Xenobiot. 2026, 16(2), 51; https://doi.org/10.3390/jox16020051 - 19 Mar 2026
Viewed by 339
Abstract
Glyphosate, one of the most widely used herbicides worldwide, has raised significant concerns regarding its potential involvement in hepatotoxicity and molecular changes associated with liver cancer biology. These concerns highlight the need to better understand its underlying molecular mechanisms in hepatoma cells. Emerging [...] Read more.
Glyphosate, one of the most widely used herbicides worldwide, has raised significant concerns regarding its potential involvement in hepatotoxicity and molecular changes associated with liver cancer biology. These concerns highlight the need to better understand its underlying molecular mechanisms in hepatoma cells. Emerging evidence suggests that glyphosate exposure may increase the risk of liver cancer and chronic liver disease. However, the precise molecular alterations and promising biomarkers associated with glyphosate-induced hepatic toxicity and disease remain largely unexplored. In this study, an RNA-Seq-based in silico systems biology approach was employed to elucidate glyphosate-induced differential transcriptional profiling in hepatoma cells. This analysis revealed significant transcriptional profiling characterized by the upregulated hub genes ATF3, JUNB, ALDOA, FOSB, PFKFB3, G6PD, ENO2, HK2, FOS and PGK1. These genes were primarily associated with glucose metabolism, TNF-α/NF-κB signaling, epithelial–mesenchymal transition (EMT) and cellular stress responses. Conversely, several key genes were significantly downregulated, including PIK3R1, FYN, CEBPA, MLXIPL, PPARA, CD36, PCK2, PNPLA3, NR1H4 and MGLL, which were involved in lipid metabolism, immune regulation and non-alcoholic fatty liver disease (NAFLD) pathways. Notably, all hub genes demonstrated strong diagnostic performance, highlighting their potential as sensitive biomarkers of glyphosate exposure. Collectively, this study provides comprehensive insights into gene expression changes associated with glyphosate exposure in hepatoma cells, linking them to hepatic metabolic dysregulation and immune modulation and suggesting a panel of hub genes with potential diagnostic and therapeutic significance. Full article
Show Figures

Graphical abstract

18 pages, 1334 KB  
Article
Longitudinal Examination of the UA/HDL-C Ratio as a Biomarker for Fatty Liver Disease: Findings from a Five-Year Follow-Up. Genetics of Atherosclerotic Disease (GEA) Study
by Rosalinda Posadas-Sánchez, Gilberto Vargas-Alarcón, Giovanny Fuentevilla-Álvarez and Guillermo C. Cardoso-Saldaña
Diagnostics 2026, 16(5), 655; https://doi.org/10.3390/diagnostics16050655 - 24 Feb 2026
Viewed by 303
Abstract
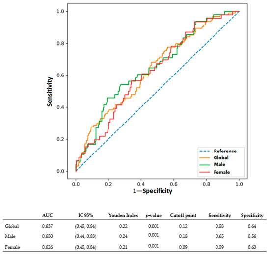
Background: This longitudinal study assessed the Uric Acid/HDL-Cholesterol (UA/HDL-C) ratio as a prognostic biomarker for fatty liver disease (FLD) during a five-year follow-up of 1022 participants from the Genetics of Atherosclerotic Disease (GEA) Study. FLD is a multifactorial disease associated with cardiometabolic [...] Read more.
Background: This longitudinal study assessed the Uric Acid/HDL-Cholesterol (UA/HDL-C) ratio as a prognostic biomarker for fatty liver disease (FLD) during a five-year follow-up of 1022 participants from the Genetics of Atherosclerotic Disease (GEA) Study. FLD is a multifactorial disease associated with cardiometabolic comorbidities, and genetic variants affecting uric acid transport (ABCG2 rs2231142) and hepatic lipid metabolism (PNPLA3 rs738409). Early diagnosis is essential to prevent disease progression; however, standard diagnostics are expensive and not widely accessible, highlighting the need for noninvasive tools. Objectives: The study aimed to validate the UA/HDL-C as a long-term predictor for FLD and its effectiveness in risk stratification, including adjustment for cardiometabolic factors and genetics. Methods: Non-contrast computed tomography was used to diagnose FLD and rs738409 and rs2231142 were genotyped by real-time PCR. ROC curves, Kaplan–Meier survival analysis, and logistic regression were used. Results: The findings show that FLD patients exhibited significantly higher UA/HDL-C than controls at both baseline and follow-up (p < 0.0001). Higher UA/HDL-C quartiles were associated with greater FLD prevalence, exceeding 50% in the highest quartile. The index cut-off points were 0.18 in men and 0.09 in women. ROC analysis showed significant discrimination for FLD (AUC: 0.637 overall, 0.650 in men, 0.626 in women). Conclusions: Logistic regression confirmed a strong independent association between UA/HDL-C and FLD over five years, even after adjustment for genetic, biochemical, and anthropometric factors, OR = 3.53, 95% CI: 2.39–4.68, p < 0.0001. Results suggest this ratio could be an alternative to find and follow FLD early on, especially in places with few resources. Full article
(This article belongs to the Section Clinical Diagnosis and Prognosis)
Show Figures

Figure 1

13 pages, 653 KB  
Review
Genetic Predisposition to MASLD: Potential for Therapeutic Management
by Fani Karapanagiotidi, Chrysoula Boutari and Emmanouil Sinakos
Int. J. Mol. Sci. 2026, 27(4), 1933; https://doi.org/10.3390/ijms27041933 - 18 Feb 2026
Viewed by 603
Abstract
Metabolic Dysfunction-Associated Steatotic Liver Disease (MASLD) is now the most common liver disease worldwide, with a continuously increasing prevalence. The mechanisms involved in its pathophysiology are numerous and may include metabolic, environmental, and genetic factors. Genome-wide association studies have identified key genetic variants, [...] Read more.
Metabolic Dysfunction-Associated Steatotic Liver Disease (MASLD) is now the most common liver disease worldwide, with a continuously increasing prevalence. The mechanisms involved in its pathophysiology are numerous and may include metabolic, environmental, and genetic factors. Genome-wide association studies have identified key genetic variants, most notably in PNPLA3, TM6SF2, MBOAT7, GCKR, and HSD17B13. This mini review discusses the mechanisms through which these variants contribute to the disease pathogenesis, an area that remains a rapidly evolving field of research. Beyond improving our understanding of MASLD, the identification of these variants may also aid in the development of targeted pharmacological approaches. We first summarize the major genetic variants associated with MASLD and then present findings from studies exploring how these variants may influence the efficacy of emerging pharmacotherapies. Finally, we examine the therapeutic agents in the field of precision medicine that are currently being tested in clinical trials. These therapeutic opportunities are a promising approach that may provide individualized solutions for this chronic liver disorder that affects a wide range of the population. Full article
(This article belongs to the Special Issue Current and Emerging Therapeutic Approaches for MASLD)
Show Figures

Figure 1

15 pages, 640 KB  
Article
HLA DRB1*01 and *04 Predisposition to Rheumatoid Arthritis and Polymorphisms of the SLCO1B1, MTHFR and PNPLA3 Genes Are Not Associated with Fatty Liver and Hepatotoxicity
by Tatjana Zekić, Nataša Katalinić, Nada Starčević Čizmarević and Aleksandar Čubranić
J. Clin. Med. 2026, 15(4), 1568; https://doi.org/10.3390/jcm15041568 - 16 Feb 2026
Viewed by 356
Abstract
Background: Nonalcoholic fatty liver disease (NAFLD) is common in rheumatoid arthritis (RA), and methotrexate (MTX) use raises concern about hepatotoxicity. We evaluated whether HLA-DRB1, PNPLA3, SLCO1B1, and MTHFR variants are associated with NAFLD, liver fibrosis, or MTX toxicity/pharmacokinetics in [...] Read more.
Background: Nonalcoholic fatty liver disease (NAFLD) is common in rheumatoid arthritis (RA), and methotrexate (MTX) use raises concern about hepatotoxicity. We evaluated whether HLA-DRB1, PNPLA3, SLCO1B1, and MTHFR variants are associated with NAFLD, liver fibrosis, or MTX toxicity/pharmacokinetics in RA, after accounting for clinical covariates. Methods: In a cross-sectional cohort of 159 patients with RA, NAFLD, and fibrosis were assessed by FibroScan (CAP ≥ 275 dB/m; LSM > 8 kPa). We compared baseline characteristics by NAFLD status and fitted multivariable models for NAFLD, fibrosis, ALT elevation, and MTX toxicity; MTX pharmacokinetics were analyzed in 111 MTX-treated patients. Multiple testing was controlled using the Benjamini–Hochberg method. Results: The prevalence of NAFLD was 36%, and that of fibrosis was 11%. NAFLD patients had higher CAP and LSM, and markedly greater adiposity indices (body weight, BMI, waist and hip circumference, WC). BMI and WC were independently associated with NAFLD (BMI OR 1.27 per kg/m2, 95% CI 1.16–1.40; WC OR 1.06 per cm, 95% CI 1.01–1.12). No HLA-DRB1, PNPLA3, SLCO1B1, or MTHFR variant showed an association that survived multiple-comparison correction. Among MTX users, 21/111 (19%) experienced toxicity. SLCO1B1 and MTHFR variants did not influence MTX pharmacokinetics; age was associated with lower dose-normalized MTX exposure, and cumulative dose was positively associated with exposure. Conclusions: In RA, adiposity—not the tested candidate pharmacogenes—drives NAFLD risk, and SLCO1B1/MTHFR variants do not support MTX dose adjustment. The findings emphasize routine clinical risk factors over single-gene testing for NAFLD and MTX hepatotoxicity in this setting. Full article
(This article belongs to the Special Issue Pharmacotherapy and Patient Care in Rheumatoid Arthritis)
Show Figures

Graphical abstract

18 pages, 1733 KB  
Article
Lysophosphatidylethanolamine Degradation Associated with Upregulation of Pnpla6/7 in a Murine Model of Metabolic Dysfunction-Associated Steatohepatitis
by Nao Inoue, Hsin-Jung Ho, Siddabasave Gowda B. Gowda, Miki Eguchi, Minato Masamura-Takeuchi, Hitoshi Chiba and Shu-Ping Hui
Int. J. Mol. Sci. 2026, 27(4), 1869; https://doi.org/10.3390/ijms27041869 - 15 Feb 2026
Viewed by 399
Abstract
Metabolic dysfunction-associated steatohepatitis (MASH) is a form of fatty liver disease characterized by fat accumulation, hepatic inflammation, and fibrosis. Lysophosphatidylethanolamine (LPE), a partially deacylated product of phosphatidylethanolamine, plays significant roles in anti-inflammatory responses and mitochondrial homeostasis. Although serum LPE levels are reduced in [...] Read more.
Metabolic dysfunction-associated steatohepatitis (MASH) is a form of fatty liver disease characterized by fat accumulation, hepatic inflammation, and fibrosis. Lysophosphatidylethanolamine (LPE), a partially deacylated product of phosphatidylethanolamine, plays significant roles in anti-inflammatory responses and mitochondrial homeostasis. Although serum LPE levels are reduced in patients with MASH, the underlying mechanisms remain unclear. In this study, we investigated LPE metabolism using liquid chromatography–tandem mass spectrometry and protein expressions in MASH mice. Male C57BL/6J mice were fed a high-fat, high-cholesterol, and cholic acid diet, along with 2% hydroxypropyl-β-cyclodextrin in drinking water (HFCC/CDX) for three weeks to induce MASH. LPE was primarily distributed in the liver and kidneys, with lower levels in the white adipose tissue. HFCC/CDX mice exhibited accumulation of cholesterols and oxidized triglycerides, accompanied by inflammation and fibrosis in the liver. In the plasma and liver of HFCC/CDX mice, most LPE species were decreased and showed negative correlations with hepatic inflammation, with the exception of LPE 18:1. Mechanistically, enhanced degradation of LPE to glycerophosphorylethanolamine was associated with upregulation of Pnpla6/7 in the liver. These findings suggest that Pnpla6/7-driven LPE catabolism is contributing to LPE depletion. This study provides a new perspective to understand the association between disrupted phospholipid metabolism and MASH pathogenesis. Full article
(This article belongs to the Special Issue Advancements in Inflammatory and Oxidative Disease Research)
Show Figures

Graphical abstract

22 pages, 3169 KB  
Article
Interactions Between the Gut Microbiome and Genetic and Clinical Risk Factors for Metabolic Dysfunction-Associated Steatotic Liver Disease (MASLD) in Patients with Type 2 Diabetes Mellitus from Different Geographical Regions of Argentina
by Bárbara Suarez, Adriana Mabel Álvarez, María Florencia Mascardi, Ana Laura Manzano Ramos, Dong Hoon Woo, María Mercedes Gutiérrez, Guillermo Alzueta, María del Carmen Basbus, Santiago Bruzone, Patricia Cuart, Guillermo Dieuzeide, Teresita García, Olga Escobar, Ramón Diego José Carulla, Cristina Oviedo, Natalia Segura, Olguita Del Valle Vera, Javier Nicolás Giunta, Adrián Gadano and Julieta Trinks
Life 2026, 16(2), 283; https://doi.org/10.3390/life16020283 - 6 Feb 2026
Viewed by 526
Abstract
Background: Local specific biomarkers for MASLD risk stratification are urgently needed in Argentina. Aim: The aim of the study was to characterize the interaction of gut microbiome signatures and genetic and clinical risk factors for MASLD in patients with diabetes from different regions [...] Read more.
Background: Local specific biomarkers for MASLD risk stratification are urgently needed in Argentina. Aim: The aim of the study was to characterize the interaction of gut microbiome signatures and genetic and clinical risk factors for MASLD in patients with diabetes from different regions of Argentina. Materials and Methods: We recruited 214 patients with diabetes from different regions of Argentina. Anthropometric, clinical, and lifestyle data were obtained from all participants, who also underwent abdominal ultrasound for MASLD diagnosis and oral swabbing. The PNPLA3 gene was amplified by PCR from the swabs, and the rs738409 genotype was determined via bidirectional sequencing. To profile the MASLD-associated microbiome, stool was collected from 170 participants. V4 16S rRNA gene sequencing was performed, and reads were analyzed using QIIME2 2024.10.1. R Studio 2023.05.1 was used for statistical analyses. Results: MASLD prevalence was 77.9%, with similar rates of occurrence in all regions represented. FIB-4 scores < 1.3 and > 2.67 were detected in 55.3% and 7.4% of patients, respectively. Half of the diabetic patients had the PNPLA3 GG genotype, with the highest rates occurring in patients from Northwestern Argentina (64.9%; p = 0.02 vs. Buenos Aires). The PNPLA3 GG genotype was an independent risk factor for FIB-4 score (p = 0.0008) and a protective factor against glycated hemoglobin (p = 0.004), fasting plasma glucose (p = 0.008), and cholesterol levels (p = 0.02). Marked regional differences were observed in microbiota diversity and composition in Argentina. After adjusting for geographical region, Negativibacillus genus was exclusively detected in diabetic patients with MASLD and GG carriers. The Catenibacterium genus was related to FIB-4 > 2.67. Short-chain fatty acid-producing bacteria were linked to the absence of MASLD. Conclusions: Although some geographical regions of Argentina were not represented in this study and these results therefore cannot be generalized to the country as a whole, these specific signatures could be useful as biomarkers for MASLD risk stratification in Argentines with diabetes. Full article
Show Figures

Figure 1

16 pages, 4745 KB  
Article
The I148M PNPLA3 Variant Forces Progressive Portal MASLD by Spatially Perturbing Metabolic Pathways Across Liver Zones
by Erika Paolini, Marica Meroni, Miriam Longo, Sara Badiali, Marco Maggioni, Anna Ludovica Fracanzani and Paola Dongiovanni
Int. J. Mol. Sci. 2026, 27(3), 1601; https://doi.org/10.3390/ijms27031601 - 6 Feb 2026
Viewed by 565
Abstract
Genetics strongly impacts the course of metabolic dysfunction-associated steatotic liver disease (MASLD), with the I148M Patatin like phospholipase domain containing 3 (PNPLA3) variant representing the main modifier. Fat accumulation in the hepatic lobule, strongly enhanced by this SNP, may be influenced [...] Read more.
Genetics strongly impacts the course of metabolic dysfunction-associated steatotic liver disease (MASLD), with the I148M Patatin like phospholipase domain containing 3 (PNPLA3) variant representing the main modifier. Fat accumulation in the hepatic lobule, strongly enhanced by this SNP, may be influenced by the liver’s zonation. Therefore, we applied spatial transcriptomics to investigate the metabolic processes across portal (PZ)-central (CZ) zones in I148M PNPLA3 carriers. Visium CytAssist technology was applied to liver biopsies from MASLD patients sharing similar disease severity, who were wild-type (WT) or homozygous for the I148M variant (Discovery cohort, n = 4). The distribution of steatosis, inflammation, and fibrosis was assessed in the liver biopsies of MASLD patients, stratified according to the I148M variant (validation cohort, n = 100). At the Visium-LOUPE browser, we spatially mapped PZ and CZ hepatocytes (HEPs), revealing higher lipid turnover, glucose signaling, and lower mitochondrial activity in I148M-PZ-HEPs compared to 148M-CZ-HEPs. Thus, the I148M variant could unbalance the physiological hepatic zonation boosting steatosis development in PZ, consequently inducing mitochondrial dysfunction. The unsupervised analysis confirmed the altered metabolic pattern among CZ and PZ in patients carrying the variant. Interestingly, PNPLA3 expression was higher in I148M-PZ, which also showed an enrichment of non-parenchymal cells, thus possibly explaining the more severe injury in this area. Finally, in the validation cohort, we observed a pronounced PZ distribution of steatosis, inflammation, and fibrosis in I148M PNPLA3 subjects compared to WT, confirming the spatial data. The I148M variant contributes to the metabolic switching across different hepatic zones and represents a new clinical perspective by defining a specific histological pattern of MASLD. Full article
Show Figures

Graphical abstract

19 pages, 2740 KB  
Article
Genomic Signatures Underlying Environmental Adaptation and Reproductive Traits in the Tibetan Pig
by Mengqi Duan, Songyuan Zhang, Hang Jiao, Peng Shang, Chunli Li and Kejun Wang
Animals 2026, 16(3), 509; https://doi.org/10.3390/ani16030509 - 5 Feb 2026
Viewed by 433
Abstract
Background: The Tibetan pig, a highland breed with exceptional adaptability to harsh environments (cold, hypoxia, coarse feed) but poor growth/reproductive traits, was studied to uncover genetic mechanisms and support breeding improvements. Methods: We conducted de novo genome assembly of a male Tibetan pig [...] Read more.
Background: The Tibetan pig, a highland breed with exceptional adaptability to harsh environments (cold, hypoxia, coarse feed) but poor growth/reproductive traits, was studied to uncover genetic mechanisms and support breeding improvements. Methods: We conducted de novo genome assembly of a male Tibetan pig using stLFR sequencing, supplemented with ONT data, and compared the assembly to the Duroc pig genome (v11.1). Results: The assembled genome (2.25 Gb, contig N50 = 136.5 Mb, GC content = 41.74%, 94.16× coverage) showed 96.9% BUSCO completeness. Structural variant (SV) analysis identified 22,008 insertions and 27,639 deletions, with an SV genotyping accuracy of 0.9735. Selective sweep analysis highlighted adaptive genes: XIRP2 (cardiac function), KSR2/CACNA1A (fat metabolism), COL11A1 (cartilage), and ADORA2A (vascular regulation). Tibetan pigs exhibited the fewest and shortest runs of homozygosity (ROHs) among four breeds, with ROH-linked SNPs implicating lipid catabolism genes (LIPE, PNPLA2, MGLL, DGAT1). An SNP-based GWAS revealed reproductive trait associations: immune gene IL2RB, energy metabolism genes PRKAG2, ADGRA1, and PTPRN2, and growth genes SLIT2 and BMP6. SV analysis identified additional candidates: energy metabolism genes HAO2 and NRG4, growth genes MTUS2 and FGF12, and immune genes SCGB1A1 and C8A. Conclusions: This study provides a chromosome-level genome assembly of a male Tibetan pig (generated from stLFR and ONT data), and, through whole-genome resequencing of 124 Tibetan sows, identifies key genetic factors underlying Tibetan pigs’ environmental adaptability and reproductive limitations, enabling genomic strategies to enhance breeding efficiency while preserving adaptive traits. Full article
(This article belongs to the Section Animal Genetics and Genomics)
Show Figures

Figure 1

15 pages, 316 KB  
Review
New Definition, New Point of View: Sex and Gender Interpretation of MASLD—Interpretation of Guidelines and Review of the Literature
by Massimo De Luca, Rita Verdoliva, Anna Lombardi and Antonio Giorgio
Gastroenterol. Insights 2026, 17(1), 7; https://doi.org/10.3390/gastroent17010007 - 23 Jan 2026
Viewed by 4593
Abstract
Metabolic dysfunction-associated steatotic liver disease (MASLD) encompasses a spectrum from simple steatosis to steatohepatitis (MASH), including liver fibrosis, cirrhosis, and hepatocellular carcinoma (HCC). The 2023 EASL–EASD–EASO guidelines provide updated definitions and emphasize personalized management, yet do not explicitly address sex- and gender-related differences. [...] Read more.
Metabolic dysfunction-associated steatotic liver disease (MASLD) encompasses a spectrum from simple steatosis to steatohepatitis (MASH), including liver fibrosis, cirrhosis, and hepatocellular carcinoma (HCC). The 2023 EASL–EASD–EASO guidelines provide updated definitions and emphasize personalized management, yet do not explicitly address sex- and gender-related differences. This review highlights the impact of biological sex and gender on MASLD epidemiology, pathogenesis, clinical presentation, and therapeutic response. Men show earlier peak prevalence, greater visceral obesity, higher insulin resistance, and increased risk of fibrosis, HCC, and cardiovascular mortality. Women of childbearing age benefit from estrogen-mediated protection, which diminishes after menopause, leading to disease risk similar to men. Genetic variants (PNPLA3, TM6SF2), hormonal factors, platelet parameters, liver biomarkers, and environmental exposures contribute to sex-specific susceptibility and disease progression. Lifestyle interventions and pharmacological therapies exhibit differential efficacy across sexes, influenced by hormonal status. Integrating biological sex, gender identity, and sociocultural factors into diagnostic and therapeutic strategies is essential to optimize MASLD management and reduce its global burden. Full article
(This article belongs to the Section Gastrointestinal Disease)
17 pages, 805 KB  
Review
Genetic Variants in Liver Cirrhosis: Classifications, Mechanisms, and Implications for Clinical Practice
by Roshni Pushpa Raghavan, Kirti Theresa Alexander, Shine Sadasivan, Chetan Parmar and Manikandan Kathirvel
J. Pers. Med. 2026, 16(1), 29; https://doi.org/10.3390/jpm16010029 - 5 Jan 2026
Viewed by 918
Abstract
Background: Cirrhosis represents the final common pathway of chronic liver injury, arising from diverse etiologies such as metabolic, viral, autoimmune, and alcohol-related liver diseases. Despite similar exposures, disease progression varies considerably among individuals, suggesting a genetic contribution to susceptibility and outcome. Objective: This [...] Read more.
Background: Cirrhosis represents the final common pathway of chronic liver injury, arising from diverse etiologies such as metabolic, viral, autoimmune, and alcohol-related liver diseases. Despite similar exposures, disease progression varies considerably among individuals, suggesting a genetic contribution to susceptibility and outcome. Objective: This narrative review examines how specific genetic variants influence the risk, progression, and phenotypic expression of cirrhosis. It provides a structured synthesis of established and emerging gene associations, emphasizing their biological mechanisms and potential clinical relevance. Methods: This narrative review synthesizes evidence from all major biomedical and scientific databases, including PubMed, Scopus, Web of Science, and Google Scholar, as well as reference lists of relevant articles, covering literature published between 2005 and 2025 on genetic polymorphisms associated with cirrhosis and its etiological subtypes. Content: Variants are categorized into four mechanistic domains—metabolic regulation, immune modulation, liver enzyme activity, and ancestry-linked expression patterns—representing a novel integrative framework for understanding genetic risk in cirrhosis. Well-characterized variants such as PNPLA3, TM6SF2, HSD17B13, and MBOAT7, along with less commonly studied loci and chromosomal alterations, are discussed in relation to major etiologies, including MASLD/MASH, viral hepatitis, alcohol-related liver disease, and autoimmune conditions. Conclusions: Genetic insights into cirrhosis offer pathways toward early risk stratification and personalized disease management. While polygenic risk scores and multi-omic integration show promise, their clinical translation remains exploratory and requires further validation through large-scale prospective studies. Full article
Show Figures

Figure 1

15 pages, 5097 KB  
Article
Grain Feeding Improves Yak Meat Tenderness and Lipid Deposition: Meat Quality, Amino Acid and Fatty Acid Profiles, Metabolomics, and Transcriptomics
by Bo Zou, Yuanli Yang, Yuqing Zhou, Yiran Yang, Weiru Song, Peng Xie and Mingwu Zang
Foods 2026, 15(1), 172; https://doi.org/10.3390/foods15010172 - 4 Jan 2026
Viewed by 597
Abstract
Grain feeding is used to alleviate grazing pressure on the Tibetan Plateau. This study employed metabolomics and transcriptomics to elucidate the regulatory mechanisms of grain feeding on yak (Bos grunniens) meat quality, intramuscular fat, and amino acids. The results demonstrate that grain feeding [...] Read more.
Grain feeding is used to alleviate grazing pressure on the Tibetan Plateau. This study employed metabolomics and transcriptomics to elucidate the regulatory mechanisms of grain feeding on yak (Bos grunniens) meat quality, intramuscular fat, and amino acids. The results demonstrate that grain feeding significantly reduces meat shear force (11.05 vs. 18.98) and increases intramuscular fat content (1.48 g/100 g vs. 0.75 g/100 g). This is accompanied by elevated levels of monounsaturated and saturated fatty acids, alongside a decreased proportion of n-3 PUFAs, leading to a higher n-6/n-3 ratio of 5.13. Mechanistically, metabolomic analysis identified 83 differential metabolites, including flavor-related nucleosides, amino acids, and key lipids, such as palmitoleic and oleic acid, which collectively contribute to improved flavor and tenderness. Concurrently, transcriptomics revealed 1047 differentially expressed genes enriched in lipid metabolism pathways, including PPAR signaling, steroid biosynthesis, and glycerolipid metabolism. The PPAR signaling pathway plays a central role in coordinating lipid synthesis, and critical genes, such as PNPLA2, PPARA, SREBF1, and PRKAA1, were highlighted. In conclusion, grain feeding improves yak meat tenderness and fat deposition by modulating lipid metabolism at both the transcriptional and metabolic levels. This improvement, however, is balanced against a less favorable n-6/n-3 PUFA ratio. Full article
(This article belongs to the Section Meat)
Show Figures

Figure 1

22 pages, 5740 KB  
Article
Integrated Cross-Platform Analysis Reveals Candidate Variants and Linkage Disequilibrium-Defined Loci Associated with Osteoporosis in Korean Postmenopausal Women
by Su Kang Kim, Seoung-Jin Hong, Seung Il Song, Jeong Keun Lee, Gyutae Kim, Byung-Joon Choi, Suyun Seon, Seung Jun Kim, Ju Yeon Ban and Sang Wook Kang
Diagnostics 2026, 16(1), 153; https://doi.org/10.3390/diagnostics16010153 - 3 Jan 2026
Viewed by 702
Abstract
Background: Osteoporosis is highly prevalent in postmenopausal women, yet genome-wide association studies often miss disease-relevant variants because of incomplete single nucleotide polymorphism (SNP) coverage and platform-specific limitations. We aimed to identify genetic contributors to osteoporosis risk by integrating two exome-based genotyping platforms with [...] Read more.
Background: Osteoporosis is highly prevalent in postmenopausal women, yet genome-wide association studies often miss disease-relevant variants because of incomplete single nucleotide polymorphism (SNP) coverage and platform-specific limitations. We aimed to identify genetic contributors to osteoporosis risk by integrating two exome-based genotyping platforms with multilayer analytic approaches. Methods: We analyzed extreme osteoporosis phenotypes in Korean postmenopausal women from the Korean Genome and Epidemiology Study (KoGES) Ansan–Anseong cohorts using the Illumina Infinium HumanExome BeadChip and the Affymetrix Axiom Exome Array. After standard quality control, single-SNP logistic regression, cross-platform overlap analysis, and three machine-learning models were applied. Predicted functional impact was evaluated using multiple in silico algorithms and conservation scores. Finally, datasets from both platforms were merged, and cross-platform linkage disequilibrium (LD) blocks were defined to identify loci containing SNPs with p < 1 × 10−4. Results: No overlapped SNP reached genome-wide significance, but rs2076212 in PNPLA3 achieved suggestive significance (p < 1 × 10−5) only on the Illumina array. Cross-platform analysis identified 111 overlapping SNPs in 70 genes. Integrated machine-learning, in silico, and conservation evidence prioritized ARMS2, CCDC92, NQO1, ZNF510, PTPRB, and DYNC2H1 as candidate genes. LD-block analysis revealed 10 blocks with at least one SNP at p < 1 × 10−4, including four chromosome 12 loci (NAV2, BICD1, CCDC92, ZNF664) that became apparent only when LD patterns were evaluated jointly across platforms. Conclusions: Combining dual exome arrays with LD-block analysis, machine learning, and functional prediction improved sensitivity for detecting low bone mineral density-related loci and highlighted CCDC92, DYNC2H1, NQO1, and related genes as biologically plausible candidates for future validation. Full article
(This article belongs to the Special Issue Current Diagnosis and Management of Metabolic Bone Diseases)
Show Figures

Figure 1

Back to TopTop