Sign in to use this feature.

Years

Between: -

Subjects

remove_circle_outline
remove_circle_outline
remove_circle_outline
remove_circle_outline
remove_circle_outline
remove_circle_outline
remove_circle_outline
remove_circle_outline

Journals

Article Types

Countries / Regions

Search Results (29)

Search Parameters:
Keywords = MPPT theory

Order results
Result details
Results per page
Select all
Export citation of selected articles as:
19 pages, 2954 KB  
Article
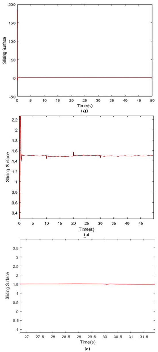
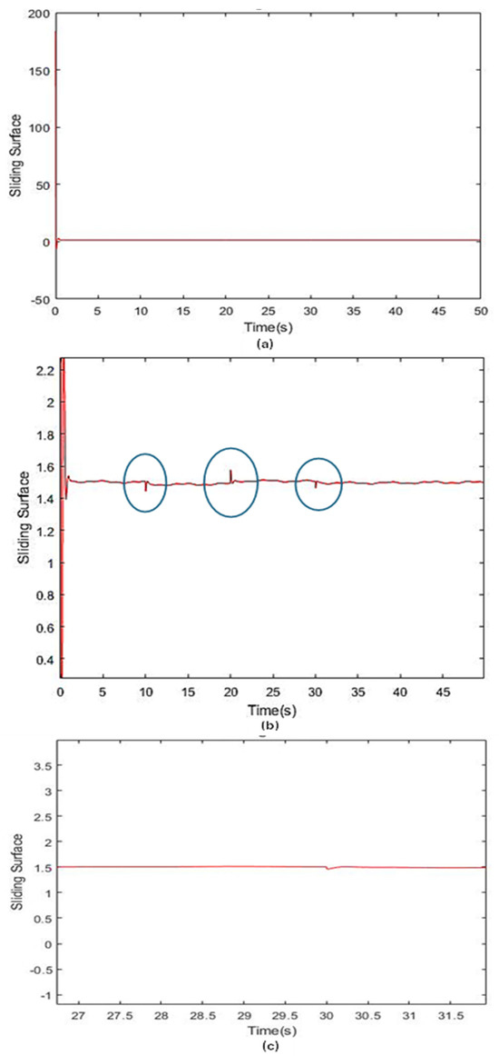
Maximum Power Extraction of Photovoltaic Systems Using Dynamic Sliding Mode Control and Sliding Observer
by Ali Karami-Mollaee and Oscar Barambones
Mathematics 2025, 13(14), 2305; https://doi.org/10.3390/math13142305 - 18 Jul 2025
Viewed by 335
Abstract
In this paper, a robust optimized controller is implemented in the photovoltaic generator system (PVGS). The PVGS is composed of individual photovoltaic (PV) cells, which convert solar energy to electrical energy. To optimize the efficiency of the PVGS under variable solar irradiance and [...] Read more.
In this paper, a robust optimized controller is implemented in the photovoltaic generator system (PVGS). The PVGS is composed of individual photovoltaic (PV) cells, which convert solar energy to electrical energy. To optimize the efficiency of the PVGS under variable solar irradiance and temperatures, a maximum power point tracking (MPPT) controller is necessary. Additionally, the PVGS output voltage is typically low for many applications. To achieve the MPPT and to gain the output voltage, an increasing boost converter (IBC) is employed. Then, two issues should be considered in MPPT. At first, a smooth control signal for adjusting the duty cycle of the IBC is important. Another critical issue is the PVGS and IBC unknown sections, i.e., the total system uncertainty. Therefore, to address the system uncertainties and to regulate the smooth duty cycle of the converter, a robust dynamic sliding mode control (DSMC) is proposed. In DSMC, a low-pass integrator is placed before the system to suppress chattering and to produce a smooth actuator signal. However, this integrator increases the system states, and hence, a sliding mode observer (SMO) is proposed to estimate this additional state. The stability of the proposed control scheme is demonstrated using the Lyapunov theory. Finally, to demonstrate the effectiveness of the proposed method and provide a reliable comparison, conventional sliding mode control (CSMC) with the same proposed SMO is also implemented. Full article
(This article belongs to the Special Issue Applied Mathematics and Intelligent Control in Electrical Engineering)
Show Figures

Figure 1

21 pages, 5979 KB  
Article
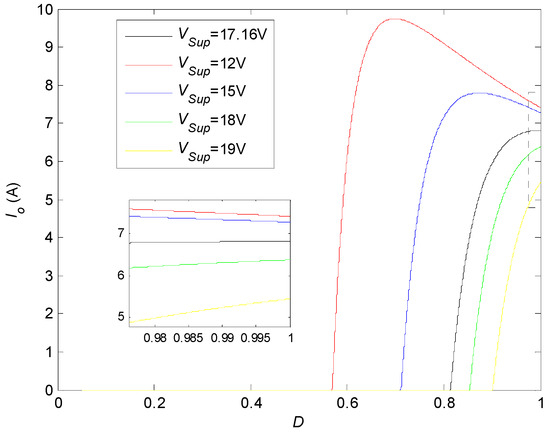
Introducing the Adaptive Nonlinear Input Impedance Control Approach for MPPT of Renewable Generators
by Mahdi Salimi
Electronics 2025, 14(10), 1960; https://doi.org/10.3390/electronics14101960 - 11 May 2025
Viewed by 450
Abstract
This paper proposes a novel maximum power point tracking (MPPT) strategy for renewable energy systems using Input Impedance Control (I2C) in power electronic converters, combined with an adaptive nonlinear controller. Unlike conventional voltage- or current-based methods, the I2C-MPPT approach [...] Read more.
This paper proposes a novel maximum power point tracking (MPPT) strategy for renewable energy systems using Input Impedance Control (I2C) in power electronic converters, combined with an adaptive nonlinear controller. Unlike conventional voltage- or current-based methods, the I2C-MPPT approach leverages the maximum power transfer theorem by dynamically matching the converter’s equivalent input impedance to the source’s internal impedance. The adaptive nonlinear controller, designed using the Lyapunov stability theory, estimates system uncertainties and provides superior performance compared to traditional Proportional–Integral (PI) controllers. The proposed approach is validated through both simulations in MATLAB and experimental implementation using a Digital Signal Processor (DSP)-based controller. Practical results confirm the controller’s effectiveness in maintaining maximum power transfer under dynamic variations in source parameters, demonstrating improved settling time and robust operation. These findings underscore the potential of the I2C approach for enhancing the efficiency and reliability of renewable energy systems. Full article
Show Figures

Figure 1

23 pages, 9839 KB  
Article
FPGA Implementation of Synergetic Controller-Based MPPT Algorithm for a Standalone PV System
by Abdul-Basset A. Al-Hussein, Fadhil Rahma Tahir and Viet-Thanh Pham
Computation 2025, 13(3), 64; https://doi.org/10.3390/computation13030064 - 3 Mar 2025
Cited by 2 | Viewed by 1890
Abstract
Photovoltaic (PV) energy is gaining traction due to its direct conversion of sunlight to electricity without harming the environment. It is simple to install, adaptable in size, and has low operational costs. The power output of PV modules varies with solar radiation and [...] Read more.
Photovoltaic (PV) energy is gaining traction due to its direct conversion of sunlight to electricity without harming the environment. It is simple to install, adaptable in size, and has low operational costs. The power output of PV modules varies with solar radiation and cell temperature. To optimize system efficiency, it is crucial to track the PV array’s maximum power point. This paper presents a novel fixed-point FPGA design of a nonlinear maximum power point tracking (MPPT) controller based on synergetic control theory for driving autonomously standalone photovoltaic systems. The proposed solution addresses the chattering issue associated with the sliding mode controller by introducing a new strategy that generates a continuous control law rather than a switching term. Because it requires a lower sample rate when switching to the invariant manifold, its controlled switching frequency makes it better suited for digital applications. The suggested algorithm is first emulated to evaluate its performance, robustness, and efficacy under a standard benchmarked MPPT efficiency (ηMPPT) calculation regime. FPGA has been used for its capability to handle high-speed control tasks more efficiently than traditional micro-controller-based systems. The high-speed response is critical for applications where rapid adaptation to changing conditions, such as fluctuating solar irradiance and temperature levels, is necessary. To validate the effectiveness of the implemented synergetic controller, the system responses under variant meteorological conditions have been analyzed. The results reveal that the synergetic control algorithm provides smooth and precise MPPT. Full article
(This article belongs to the Special Issue Nonlinear System Modelling and Control)
Show Figures

Figure 1

24 pages, 6023 KB  
Article
Advanced Control Scheme Optimization for Stand-Alone Photovoltaic Water Pumping Systems
by Maissa Farhat and Oscar Barambones
Computation 2024, 12(11), 224; https://doi.org/10.3390/computation12110224 - 11 Nov 2024
Cited by 4 | Viewed by 1670
Abstract
This study introduces a novel method for controlling an autonomous photovoltaic pumping system by integrating a Maximum Power Point Tracking (MPPT) control scheme with variable structure Sliding Mode Control (SMC) alongside Perturb and Observe (P&O) algorithms. The stability of the proposed SMC method [...] Read more.
This study introduces a novel method for controlling an autonomous photovoltaic pumping system by integrating a Maximum Power Point Tracking (MPPT) control scheme with variable structure Sliding Mode Control (SMC) alongside Perturb and Observe (P&O) algorithms. The stability of the proposed SMC method is rigorously analyzed using Lyapunov’s theory. Through simulation-based comparisons, the efficacy of the SMC controller is demonstrated against traditional P&O methods. Additionally, the SMC-based system is experimentally implemented in real time using dSPACE DSP1104, showcasing its robustness in the presence of internal and external disturbances. Robustness tests reveal that the SMC controller effectively tracks Maximum Power Points (MMPs) despite significant variations in load and solar irradiation, maintaining optimal performance even under challenging conditions. The results indicate that the SMC system can achieve up to a 70% increase in water flow rates compared with systems without MPPT controllers. Furthermore, SMC demonstrated high sensitivity to sudden changes in environmental conditions, ensuring efficient power extraction from the photovoltaic panels. This study highlights the advantages of integrating SMC into Photovoltaic Water Pumping Systems (PV-WPSs), providing enhanced control capabilities and optimizing system performance. The findings contribute to the development of sustainable water supply solutions, particularly in remote areas with limited access to the electrical grid. Full article
(This article belongs to the Section Computational Engineering)
Show Figures

Figure 1

17 pages, 4174 KB  
Article
Nonlinear Enhanced Control for Wind Energy Generation System-Based Permanent Magnet Synchronous Generator
by Youssef Errami, Abdellatif Obbadi, Smail Sahnoun and Mohssin Aoutoul
Sustainability 2024, 16(17), 7374; https://doi.org/10.3390/su16177374 - 27 Aug 2024
Cited by 1 | Viewed by 1767
Abstract
This paper proposes a Nonlinear Backstepping Approach (NBA) to improve the control performance of a Permanent Magnet Synchronous Generator (PMSG)-based Wind Energy Generation System (WEGS) under parameter uncertainties and short circuits with fluctuations in the grid voltage. Both the rectifier and the three-phase [...] Read more.
This paper proposes a Nonlinear Backstepping Approach (NBA) to improve the control performance of a Permanent Magnet Synchronous Generator (PMSG)-based Wind Energy Generation System (WEGS) under parameter uncertainties and short circuits with fluctuations in the grid voltage. Both the rectifier and the three-phase inverter are controlled using the NBA scheme; this method ensures Maximum Power Point Tracking (MPPT), which is a very appealing control objective with unpredictable scenarios of wind speed, and regulates the active and reactive power flows to the electrical network under varying wind speeds. Also, an inverter was employed to control voltage of the DC bus and the powers. The regulator’s stability is achieving using the Lyapunov approach. Simulation results with Matlab/Simulink confirm the efficiency of the presented scheme. The comparative analysis of the NBA with conventional Vector Controllers (VCs), under parameter deviations and for low voltage drop conditions, demonstrates the efficiency of the studied method. Full article
Show Figures

Figure 1

27 pages, 6910 KB  
Article
An MPPT Control Strategy Based on Current Constraint Relationships for a Photovoltaic System with a Battery or Supercapacitor
by Guohong Lai, Guoping Zhang and Shaowu Li
Energies 2024, 17(16), 3982; https://doi.org/10.3390/en17163982 - 11 Aug 2024
Cited by 1 | Viewed by 1774
Abstract
When the battery or supercapacitor is connected to the output of a PV system, the conventional voltage equation expressing its mathematical model usually must be replaced by the current relationship to study the maximum power point tracking (MPPT) control theory. However, hitherto, there [...] Read more.
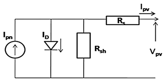
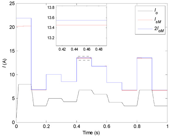
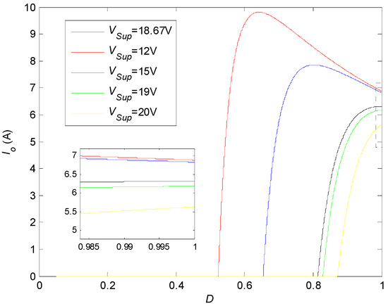
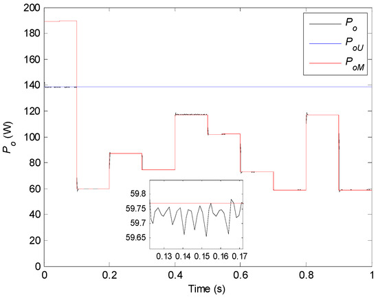
When the battery or supercapacitor is connected to the output of a PV system, the conventional voltage equation expressing its mathematical model usually must be replaced by the current relationship to study the maximum power point tracking (MPPT) control theory. However, hitherto, there is a lack of an attempt to disclose the current constraint relationships at the maximum power point (MPP), which leads to the potential risk of MPPT failure. To solve this problem, in this paper, the MPPT constraint conditions on the basis of currents are built and then a new MPPT control strategy is proposed. In this strategy, a linearized model parameter of a PV cell is used as the bridge to find the current relationships. On the basis of them, some expressions involving the duty cycle are built to directly calculate the control signal of the MPPT controller. Meanwhile, an implementation method is designed to match this proposed MPPT strategy. Finally, some simulation experiments are conducted. The simulation results verify that the proposed MPPT constraint expressions are accurate and workable and that the proposed MPPT strategy and its implementation process are feasible and available. In addition, the simulation results also show that the proposed MPPT strategy has a better MPPT speed and the same MPPT accuracy when the P&O method and fuzzy algorithm are compared. By this work, the MPPT constraint conditions based on current relationships are first found, representing a breakthrough in disclosing the inherent relationships between different currents when the PV system is operating around the MPP. Full article
(This article belongs to the Section A2: Solar Energy and Photovoltaic Systems)
Show Figures

Figure 1

36 pages, 28072 KB  
Article
Four-Wire Three-Level NPC Shunt Active Power Filter Using Model Predictive Control Based on the Grid-Tied PV System for Power Quality Enhancement
by Zoubida Amrani, Abdelkader Beladel, Abdellah Kouzou, Jose Rodriguez and Mohamed Abdelrahem
Energies 2024, 17(15), 3822; https://doi.org/10.3390/en17153822 - 2 Aug 2024
Cited by 2 | Viewed by 2092
Abstract
The primary objective of this paper focuses on developing a control approach to improve the operational performance of a three-level neutral point clamped (3LNPC) shunt active power filter (SAPF) within a grid-tied PV system configuration. Indeed, this developed control approach, based on the [...] Read more.
The primary objective of this paper focuses on developing a control approach to improve the operational performance of a three-level neutral point clamped (3LNPC) shunt active power filter (SAPF) within a grid-tied PV system configuration. Indeed, this developed control approach, based on the used 3LNPC-SAPF topology, aims to ensure the seamless integration of a photovoltaic system into the three-phase four-wire grid while effectively mitigating grid harmonics, grid current unbalance, ensuring grid unit power factor by compensating the load reactive power, and allowing power sharing with the grid in case of an excess of generated power from the PV system, leading to overall high power quality at the grid side. This developed approach is based initially on the application of the four-wire instantaneous p-q theory for the identification of the reference currents that have to be injected by the 3LNPC-SAPF in the grid point of common coupling (PCC). Whereas, the 3LNPC is controlled based on using the finite control set model predictive control (FCS-MPC), which can be accomplished by determining the convenient set of switch states leading to the voltage vector, which is the most suitable to ensure the minimization of the selected cost function. Furthermore, the used topology requires a constant DC-link voltage and balanced split-capacitor voltages at the input side of the 3LNPN. Hence, the cost function is adjusted by the addition of another term with a selected weighting factor related to these voltages to ensure their precise control following the required reference values. However, due to the random changes in solar irradiance and, furthermore, to ensure efficient operation of the proposed topology, the PV system is connected to the 3LNPN-SAPF via a DC/DC boost converter to ensure the stability of the 3LNPN input voltage within the reference value, which is achieved in this paper based on the use of the maximum power point tracking (MPPT) technique. For the validation of the proposed control technique and the functionality of the used topology, a set of simulations has been presented and investigated in this paper following different irradiance profile scenarios such as a constant irradiance profile and a variables irradiance profile where the main aim is to prove the effectiveness and flexibility of the proposed approach under variable irradiance conditions. The obtained results based on the simulations carried out in this study demonstrate that the proposed control approach with the used topology under different loads such as linear, non-linear, and unbalanced can effectively reduce the harmonics, eliminating the unbalance in the currents and compensating for the reactive component contained in the grid side. The obtained results prove also that the proposed control ensures a consistent flow of power based on the sharing principle between the grid and the PV system as well as enabling the efficient satisfaction of the load demand. It can be said that the proposal presented in this paper has been proven to have many dominant features such as the ability to accurately estimate the power sharing between the grid and the PV system for ensuring the harmonics elimination, the reactive power compensation, and the elimination of the neutral current based on the zero-sequence component compensation, even under variable irradiance conditions. This feature makes the used topology and the developed control a valuable tool for power quality improvement and grid stability enhancement with low cost and under clean energy. Full article
(This article belongs to the Section A2: Solar Energy and Photovoltaic Systems)
Show Figures

Figure 1

27 pages, 10161 KB  
Article
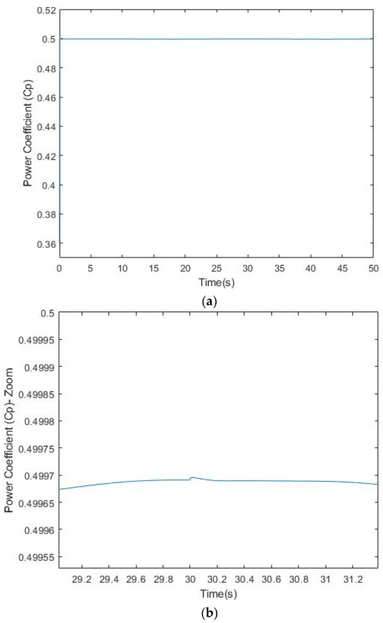
Combining Sliding Mode and Fractional-Order Theory for Maximum Power Point Tracking Enhancement of Variable-Speed Wind Energy Conversion
by Mujahed Al-Dhaifallah, Abdul-Wahid A. Saif, Sami Elferik, Siddig M. Elkhider and Abdalrazak Seaf Aldean
Fractal Fract. 2024, 8(8), 447; https://doi.org/10.3390/fractalfract8080447 - 30 Jul 2024
Cited by 5 | Viewed by 1214
Abstract
The present study used the wind turbine as a model to focus on combining sliding mode and fractional-order theory for maximum power point tracking (MPPT) enhancement. The combination of sliding mode and fractional-order theory was implemented considering the nonlinearity of the studied model [...] Read more.
The present study used the wind turbine as a model to focus on combining sliding mode and fractional-order theory for maximum power point tracking (MPPT) enhancement. The combination of sliding mode and fractional-order theory was implemented considering the nonlinearity of the studied model for studying the system’s response. The response of the wind turbine was evaluated after introducing disturbance to the output of the regulator. The results showed the excellent ability of the system to track the reference, regardless of any disturbances. There was no impact of any disturbance on the system or the system’s good follow-up. Moreover, the control scheme showed robustness as regards rejecting the disturbances. Full article
Show Figures

Figure 1

25 pages, 10625 KB  
Article
Fault-Tolerant Control of Tidal Stream Turbines: Non-Singular Fast Terminal Sliding Mode and Adaptive Robust Method
by Meng Wang, Xueli Wang and Tianzhen Wang
J. Mar. Sci. Eng. 2024, 12(4), 539; https://doi.org/10.3390/jmse12040539 - 24 Mar 2024
Cited by 4 | Viewed by 1784
Abstract
This paper addresses the issues of maximum power point tracking (MPPT) and fault-tolerant control in tidal steam turbines under complex marine environments. In order to solve the conflicting problems in the existing sliding mode control between dynamic performance and chatter reduction as well [...] Read more.
This paper addresses the issues of maximum power point tracking (MPPT) and fault-tolerant control in tidal steam turbines under complex marine environments. In order to solve the conflicting problems in the existing sliding mode control between dynamic performance and chatter reduction as well as the use of fault estimation link in the fault-tolerant control, which increases the system complexity, an adaptive non-singular fast terminal sliding mode and adaptive robust fault tolerance method (ANFTSMC-ARC) is proposed. First, a speed controller equipped with adaptive non-singular fast terminal sliding mode control (ANFTSMC) is designed to improve the power capture efficiency under swell disturbances. This design achieves fast convergence and circumvents the singularity problem. Then, a new reach law is proposed based on the adaptive hybrid exponential reaching law (AHERL), which ensures high tracking performance while reducing chattering. In addition, considering that the hydraulic pitch system is prone to failure, a fault-tolerant controller with automatically adjustable gain is designed under the adaptive robust scheme. With the help of Lyapunov theory, the closed-loop system is proved to be uniform and ultimately bounded. Finally, comparative simulation results verify the efficiency of the proposed control strategy. Full article
(This article belongs to the Special Issue The Development of Marine Renewable Energy)
Show Figures

Figure 1

28 pages, 5729 KB  
Article
Maximum Power Point Tracking Constraint Conditions and Two Control Methods for Isolated Photovoltaic Systems
by Jingxun Fan, Shaowu Li, Sanjun Liu, Xiaoqing Deng and Xianping Zhu
Processes 2023, 11(11), 3245; https://doi.org/10.3390/pr11113245 - 17 Nov 2023
Cited by 3 | Viewed by 1425
Abstract
A maximum power point (MPP) always exists in photovoltaic (PV) cells, but a mismatch between PV system circuit parameters, weather conditions and system structure leads to the possibility that the MPP may not be tracked successfully. In addition, the introduction of an isolation [...] Read more.
A maximum power point (MPP) always exists in photovoltaic (PV) cells, but a mismatch between PV system circuit parameters, weather conditions and system structure leads to the possibility that the MPP may not be tracked successfully. In addition, the introduction of an isolation transformer into a basic PV system allows for moderate values of the converter duty cycle and electrical isolation. However, there is no comprehensive research on MPPT (maximum power point tracking) constraint conditions for different isolated PV systems, which seriously hinders the application of isolated PV systems and the development of a related linear control theory. Therefore, in this paper, the overall mathematical models of different isolated PV systems are first established based on the PV cell engineering model and the MPP linear model, and then, two sets of constraint conditions are found for the successful realization of MPPT. These MPPT constraint conditions (MCCs) describe in detail the direct mathematical relationships between PV cell parameters, weather conditions and circuit parameters. Finally, based on the MPP linear model and MCCs, two new MPPT methods are designed for isolated PV systems. Considering the MCCs proposed in this paper, a suitable range of load and transformer ratios can be estimated from the measured data of irradiance and temperature in a certain area, and the range of MPPs existing in PV systems with different structures can be estimated, which is a good guide for circuit design, theoretical derivation and product selection for PV systems. Meanwhile, comparative experiments confirm the rapidity and accuracy of the two proposed MPPT methods, with the MPPT time improving from 0.23 s to 0.03 s, and they have the advantages of a simple program, small computational volume and low hardware cost. Full article
(This article belongs to the Special Issue Process Design and Modeling of Low-Carbon Energy Systems)
Show Figures

Figure 1

17 pages, 3850 KB  
Article
An Intelligent Controller Based on Extension Theory for Batteries Charging and Discharging Control
by Kuei-Hsiang Chao and Jia-Yan Li
Sustainability 2023, 15(21), 15664; https://doi.org/10.3390/su152115664 - 6 Nov 2023
Cited by 1 | Viewed by 1531
Abstract
The main purpose of this paper is to develop an intelligent controller for the DC-link voltage of bidirectional soft-switching converters used in the batteries with equalizing charge and discharge control. To accelerate the equalizing charge and discharge speed of batteries, the DC-link voltage [...] Read more.
The main purpose of this paper is to develop an intelligent controller for the DC-link voltage of bidirectional soft-switching converters used in the batteries with equalizing charge and discharge control. To accelerate the equalizing charge and discharge speed of batteries, the DC-link voltage controller of the bidirectional converters is designed based on extension theory. Firstly, the photovoltaic module arrays (PVMAs) are used with the intelligent maximum power point tracker (MPPT) for supplying the power to the load side. Through the bidirectional soft-switching converters, the PVMAs will be allowed to carry out the uniform charging and discharging for the storage battery in order to achieve the intended energy storage and auxiliary power supply functions. In terms of the controller design, the quantitative design techniques are utilized, by which the P-I controller parameters will be designed for the converter when attempting to achieve the same control performance at different working points. As a next step, the aforesaid parameters are used together with the extenics theory. Based on the variation in the output power of the bidirectional converter and that in the voltage of the storage battery, it allows the system to find out the intended P-I controller parameters that will be approximate to the prescribed control performance when operating under different working conditions. As a result, the P-I controller will be provided with more efficient control flexibility and control performances. Finally, actual test results demonstrated that the response time of the proposed intelligent extension controller is shortened by 3% compared to the quantitative design of the proportional–integral (P-I) controller. Based on the proposed quantitative design of an intelligent controller for uniform charging and discharging management of batteries, the sustainable utilization of renewable sources of energy can be improved. At the same time, the better economic benefit of the energy preservation system is obtained. In addition, it also prolongs the life cycle of batteries, and then enhances the reliability of the batteries. Full article
Show Figures

Figure 1

21 pages, 7951 KB  
Article
Robust Adaptive Super Twisting Algorithm Sliding Mode Control of a Wind System Based on the PMSG Generator
by Nada Zine Laabidine, Badre Bossoufi, Ismail El Kafazi, Chakib El Bekkali and Najib El Ouanjli
Sustainability 2023, 15(14), 10792; https://doi.org/10.3390/su151410792 - 10 Jul 2023
Cited by 9 | Viewed by 3040
Abstract
In the field of optimizing wind system control approaches and enhancing the quality of electricity generated on the grid, this research makes a fresh addition. The Sliding Mode Control (SMC) technique produces some fairly intriguing outcomes, but it has a severe flaw in [...] Read more.
In the field of optimizing wind system control approaches and enhancing the quality of electricity generated on the grid, this research makes a fresh addition. The Sliding Mode Control (SMC) technique produces some fairly intriguing outcomes, but it has a severe flaw in the oscillations (phenomenon of reluctance: chattering) that diminish the system’s efficiency. In this paper, an AST (adaptive super twisting) approach is proposed to control the wind energy conversion system of the permanent magnet synchronous generator (PMSG), which is connected to the electrical system via two converters (grid-side and machine-side) and a capacitor serves as a DC link between them. This research seeks to regulate the generator and grid-side converter to monitor the wind rate reference given by the MPPT technique in order to eliminate the occurrence of the chattering phenomenon. With the help of this approach, precision and stability flaws will be resolved, and the wind system will perform significantly better in terms of productivity. To evaluate the performance of each control in terms of reference tracking, response time, stability, and the quality of the signal sent to the network under different wind conditions, a detailed description of the individual controls is given, preceded by a simulation in the Matlab/Simulink environment. The simulation study validates the control method and demonstrates that the AST control based on the Lyapunov stability theory provides excellent THD and power factor results. This work is completed by a comparative analysis of the other commands to identify the effect on the PMSG wind energy conversion system. Full article
(This article belongs to the Special Issue Novel Research on Wind Turbine Control and Integration)
Show Figures

Figure 1

18 pages, 5908 KB  
Article
Study of a New Wave Energy Converter with Perturb and Observe Maximum Power Point Tracking Method
by José Carlos Ugaz Peña, Christian Luis Medina Rodríguez and Gustavo O. Guarniz Avalos
Sustainability 2023, 15(13), 10447; https://doi.org/10.3390/su151310447 - 3 Jul 2023
Cited by 6 | Viewed by 3420
Abstract
Ocean waves contain the highest energy density among renewable energy sources. However, harnessing the energy from ocean waves represents a challenge because wave energy converters (WECs) must be designed to have great survivability and efficiency. The power production challenge of any WEC depends [...] Read more.
Ocean waves contain the highest energy density among renewable energy sources. However, harnessing the energy from ocean waves represents a challenge because wave energy converters (WECs) must be designed to have great survivability and efficiency. The power production challenge of any WEC depends on the power take-off (PTO) system efficiency. Maximum power point tracking (MPPT) algorithms have been widely applied in renewable energy from photovoltaic and wind sources, and have subsequently been adapted to wave energy converters (WECs). Energy extraction is optimized by applying MPPT, resulting in an increase in efficiency. This study aims to address the analysis of the influence of the perturb and observe MPPT in the electrical power performance of a WEC composed of a point absorber, a hinged arm and a direct mechanical drive PTO system. The PTO is characterized by a pulley system, a counterweight, one-way bearings, a gearbox, a flywheel and an electric generator; in the present study it is considered to be a cylindrical point absorber. The linear theory and the viscous damping effect are applied to analyze the hydrodynamic behavior of the point absorber. Regarding the two generators considered in the present study, the contribution of MPPT is greater for the low power generator; the high values of the capture width ratio (CWR) occur at low values of period and wave height, showing the maximum value in the high-power generator. Full article
Show Figures

Figure 1

21 pages, 4398 KB  
Article
Ocean Wave Energy Control Using Aquila Optimization Technique
by Sunil Kumar Mishra, Amitkumar V. Jha, Bhargav Appasani, Nicu Bizon, Phatiphat Thounthong and Pongsiri Mungporn
Energies 2023, 16(11), 4495; https://doi.org/10.3390/en16114495 - 2 Jun 2023
Cited by 5 | Viewed by 2201
Abstract
This paper presents ocean wave energy control using the Aquila optimization (AO) technique. An oscillating water column (OWC)-type wave energy converter has been considered that is fitted with a Wells turbine and doubly fed induction generator (DFIG). To achieve maximum power point tracking [...] Read more.
This paper presents ocean wave energy control using the Aquila optimization (AO) technique. An oscillating water column (OWC)-type wave energy converter has been considered that is fitted with a Wells turbine and doubly fed induction generator (DFIG). To achieve maximum power point tracking (MPPT), the rotor speed of the DFIG must be controlled as per the MPPT law. The MPPT law is designed in such a way that the Wells turbine flow coefficient remains within the threshold limit. It avoids the turbine from stalling which generates the maximum power. The MPPT law provides the reference rotor speed which is followed by the actual rotor speed. For this, a backstepping controller (BSC)-based rotational speed control strategy has been designed using the Lyapunov stability theory. The BSC has unknown control parameters which should be selected such that tracking errors are minimum. Hence, the objective of this work is to find the unknown control parameters using an optimization approach. The optimization approach of selecting BSC control parameters for an OWC plant has not been explored yet. To achieve this, an integral square error (ISE)-type fitness function has been defined and minimized using the AO technique. The results achieved using the AO technique have been compared with particle swarm optimization (PSO) and a genetic algorithm (GA), validating its superior performance. The rotor speed error maximum peak overshoot is least for AO-BSC as compared to PSO-BSC and GA-BSC. The fitness function value for AO comes out to be least among all the optimization methods applied. However, all tested methods provide satisfactory results in terms of turbine flow coefficient, rotor speed and output power. The approach paves the way for future research on ocean wave energy control. Full article
(This article belongs to the Section F3: Power Electronics)
Show Figures

Figure 1

19 pages, 5820 KB  
Article
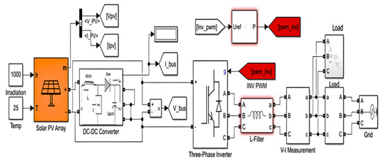
Adaptive Least Mean Square Controller for Power Quality Enhancement in Solar Photovoltaic System
by Nalini Karchi, Deepak Kulkarni, Rocío Pérez de Prado, Parameshachari Bidare Divakarachari, Sujata N. Patil and Veena Desai
Energies 2022, 15(23), 8909; https://doi.org/10.3390/en15238909 - 25 Nov 2022
Cited by 56 | Viewed by 3374
Abstract
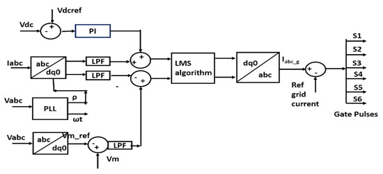
The objective of the proposed work is to develop a Maximum Power Point Tracking (MPPT) controller and inverter controller by applying the adaptive least mean square (LMS) algorithm to control the total harmonics distortion of a solar photovoltaic system. The advantage of the [...] Read more.
The objective of the proposed work is to develop a Maximum Power Point Tracking (MPPT) controller and inverter controller by applying the adaptive least mean square (LMS) algorithm to control the total harmonics distortion of a solar photovoltaic system. The advantage of the adaptive LMS algorithm is given by its simplicity and reduced required computational time. The adaptive LMS algorithm is applied to modify the Perturb and Observe (P&O), MPPT controller. In this controller, the adaptive LMS algorithm is used to predict solar photovoltaic power. The adaptive LMS maximum power point tracking controller gives better optimal solutions with less steady error 0.7% (6 watts) and 0% peak overshot in power with the tradeoff being more settling time at 0.33 s. The development of the inverter control law is performed using the d-q frame theory. This helps to reduce the number of equations to build a control law. The load current, grid current and grid voltage are sensed and transformed into d and q components. This adaptive LMS control law is used to extract the reference grid currents and, later, to compare them with the actual grid currents. The result of this comparison is used to generate the switching gate pulses for the inverter switches. The proposed controllers are developed and implemented with a solar PV system in MATLAB Simulink. The total harmonics distortion in grid and load current (3.25% and 7%) and voltage (0%) is investigated under linear and non-linear load conditions with changes in solar irradiations. The analysis is performed by selecting step incremental values and sampling time. Full article
(This article belongs to the Section F: Electrical Engineering)
Show Figures

Figure 1

Back to TopTop