Sign in to use this feature.

Years

Between: -

Subjects

remove_circle_outline
remove_circle_outline
remove_circle_outline

Journals

Article Types

Countries / Regions

Search Results (7)

Search Parameters:
Keywords = MCF7 zebrafish xenograft

Order results
Result details
Results per page
Select all
Export citation of selected articles as:
22 pages, 4924 KB  
Article
Novel Isolongifolenone-Based Caprolactam Derivatives as Potential Anticancer Agents via the p53/mTOR/Autophagy Pathway
by Yunyun Wang, Min Hu, Jiale Han, Yuxun Zhao, Biao Xiong, Peihai Li and Shifa Wang
Molecules 2025, 30(19), 4013; https://doi.org/10.3390/molecules30194013 - 8 Oct 2025
Viewed by 198
Abstract
Isolongifolenone, a natural sesquiterpenoid widely used in food additives and perfume, demonstrates a range of biological activities. In this study, a series of isolongifolenone-based caprolactam derivatives (E1E19) were designed, synthesized, and evaluated for their anticancer activities in vitro. Most [...] Read more.
Isolongifolenone, a natural sesquiterpenoid widely used in food additives and perfume, demonstrates a range of biological activities. In this study, a series of isolongifolenone-based caprolactam derivatives (E1E19) were designed, synthesized, and evaluated for their anticancer activities in vitro. Most of the synthesized compounds significantly inhibited the proliferation of cultured cancer cells. Compound E10, containing an m-trifluoromethyl group, demonstrated the strongest anti-proliferation activities against MCF-7 (IC50 = 0.32 µM), HepG2 (IC50 = 1.36 µM), and A549 (IC50 = 1.39 µM) cells. Moreover, E10 was shown to increase intracellular ROS, reduce mitochondrial function, and induce cancer cell apoptosis via the p53/mTOR/autophagy pathway. Together, these results indicate that compound E10 induced autophagy-associated cell apoptosis in MCF-7 cancer cells. Additionally, the antitumor activity of E10 was validated in a zebrafish MCF-7 xenograft model. The observation that E10 exhibits potent antitumor activity in both a three-dimensional (3D) cell culture model and the zebrafish xenograft model supports the development of E10 as a potential drug candidate for cancer therapy. Full article
(This article belongs to the Section Natural Products Chemistry)
Show Figures

Figure 1

16 pages, 3852 KB  
Article
A Natural Alkaloid, 6-Hydroxymethyldihydronitidine, Suppresses Tumor Progression by Co-Regulating Apoptosis, Ferroptosis, and FAK Pathways
by Haojing Jiang, Jiantong Hou, Jianliang Wang, Jing Xu and Yuanqiang Guo
Biomolecules 2025, 15(6), 814; https://doi.org/10.3390/biom15060814 - 4 Jun 2025
Viewed by 841
Abstract
Cancer treatment remains a formidable challenge globally. Natural products, particularly natural alkaloids, have emerged as significant resources for the development of novel anti-tumor drugs due to their structural diversity and unique biological activities. Our team previously isolated an alkaloid, 6-hydroxymethyldihydrochelerythrine (6-HMDN), from Zanthoxylum [...] Read more.
Cancer treatment remains a formidable challenge globally. Natural products, particularly natural alkaloids, have emerged as significant resources for the development of novel anti-tumor drugs due to their structural diversity and unique biological activities. Our team previously isolated an alkaloid, 6-hydroxymethyldihydrochelerythrine (6-HMDN), from Zanthoxylum ailanthoides. Subsequent in vitro and in vivo activity screenings, utilizing cell-based assays and a zebrafish xenograft model, revealed that 6-HMDN significantly inhibited the proliferation of HepG2 and MCF7 cells and effectively suppressed HepG2 cell migration. Mechanistic studies indicated that 6-HMDN induced tumor cell apoptosis by modulating the Bcl-2/Bax protein balance and activating the caspase cascade. Furthermore, 6-HMDN augmented intracellular reactive oxygen species (ROS) levels, thereby promoting ferroptosis, as evidenced by lipid ROS accumulation and glutathione (GSH) depletion. Additionally, 6-HMDN attenuated focal adhesion kinase (FAK) phosphorylation, leading to the inhibition of tumor cell migration. In vivo experiments further substantiated the capacity of 6-HMDN to effectively suppress tumor proliferation and metastasis. These findings demonstrate that 6-HMDN exhibits potent anti-tumor activity, exerting its effects through multiple mechanisms involving the regulation of apoptosis, ferroptosis, and the FAK signaling pathway. Therefore, 6-HMDN may be considered a promising candidate for anti-tumor drug development. Full article
(This article belongs to the Section Natural and Bio-derived Molecules)
Show Figures

Graphical abstract

12 pages, 3740 KB  
Article
Chlorahololide D, a Lindenane-Type Sesquiterpenoid Dimer from Chloranthus holostegius Suppressing Breast Cancer Progression
by Ying Li, Wenhui Liu, Jing Xu and Yuanqiang Guo
Molecules 2023, 28(20), 7070; https://doi.org/10.3390/molecules28207070 - 13 Oct 2023
Cited by 6 | Viewed by 2018
Abstract
Aimed at discovering small molecules as anticancer drugs or lead compounds from plants, a lindenane-type sesquiterpene dimer, chlorahololide D, was isolated from Chloranthus holostegius. The literature review showed that there were few reports on the antitumor effects and mechanisms of chlorahololide D. [...] Read more.
Aimed at discovering small molecules as anticancer drugs or lead compounds from plants, a lindenane-type sesquiterpene dimer, chlorahololide D, was isolated from Chloranthus holostegius. The literature review showed that there were few reports on the antitumor effects and mechanisms of chlorahololide D. Our biological assay suggested that chlorahololide D blocked the growth and triggered apoptosis of MCF-7 cells by stimulating the reactive oxygen species (ROS) levels and arresting the cell cycle at the G2 stage. Further mechanism exploration suggested that chlorahololide D regulated apoptosis-related proteins Bcl-2 and Bax. Moreover, chlorahololide D inhibited cell migration by regulating the FAK signaling pathway. In the zebrafish xenograft model, chlorahololide D was observed to suppress tumor proliferation and migration significantly. Considering the crucial function of angiogenesis in tumor development, the anti-angiogenesis of chlorahololide D was also investigated. All of the research preliminarily revealed that chlorahololide D could become an anti-breast cancer drug. Full article
Show Figures

Graphical abstract

23 pages, 5708 KB  
Article
Discovery of 1-Benzhydryl-Piperazine-Based HDAC Inhibitors with Anti-Breast Cancer Activity: Synthesis, Molecular Modeling, In Vitro and In Vivo Biological Evaluation
by Dusan Ruzic, Bernhard Ellinger, Nemanja Djokovic, Juan F. Santibanez, Sheraz Gul, Milan Beljkas, Ana Djuric, Arasu Ganesan, Aleksandar Pavic, Tatjana Srdic-Rajic, Milos Petkovic and Katarina Nikolic
Pharmaceutics 2022, 14(12), 2600; https://doi.org/10.3390/pharmaceutics14122600 - 25 Nov 2022
Cited by 12 | Viewed by 3717
Abstract
Isoform-selective histone deacetylase (HDAC) inhibition is promoted as a rational strategy to develop safer anti-cancer drugs compared to non-selective HDAC inhibitors. Despite this presumed benefit, considerably more non-selective HDAC inhibitors have undergone clinical trials. In this report, we detail the design and discovery [...] Read more.
Isoform-selective histone deacetylase (HDAC) inhibition is promoted as a rational strategy to develop safer anti-cancer drugs compared to non-selective HDAC inhibitors. Despite this presumed benefit, considerably more non-selective HDAC inhibitors have undergone clinical trials. In this report, we detail the design and discovery of potent HDAC inhibitors, with 1-benzhydryl piperazine as a surface recognition group, that differ in hydrocarbon linker. In vitro HDAC screening identified two selective HDAC6 inhibitors with nanomolar IC50 values, as well as two non-selective nanomolar HDAC inhibitors. Structure-based molecular modeling was employed to study the influence of linker chemistry of synthesized inhibitors on HDAC6 potency. The breast cancer cell lines (MDA-MB-231 and MCF-7) were used to evaluate compound-mediated in vitro anti-cancer, anti-migratory, and anti-invasive activities. Experiments on the zebrafish MDA-MB-231 xenograft model revealed that a novel non-selective HDAC inhibitor with a seven-carbon-atom linker exhibits potent anti-tumor, anti-metastatic, and anti-angiogenic effects when tested at low micromolar concentrations. Full article
(This article belongs to the Special Issue Current and Future Cancer Chemoprevention Strategies, 2nd Edition)
Show Figures

Graphical abstract

13 pages, 3142 KB  
Article
Microcrater-Arrayed Chemiluminescence Cell Chip to Boost Anti-Cancer Drug Administration in Zebrafish Tumor Xenograft Model
by Ching-Te Kuo, Yu-Sheng Lai, Siang-Rong Lu, Hsinyu Lee and Hsiu-Hao Chang
Biology 2022, 11(1), 4; https://doi.org/10.3390/biology11010004 - 21 Dec 2021
Cited by 2 | Viewed by 3288
Abstract
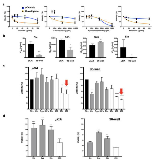
Purpose: The aim of this study was to develop a rapid and automatic drug screening platform using microcrater-arrayed (µCA) cell chips. Methods: The µCA chip was fabricated using a laser direct writing technique. The fabrication time required for one 9 × 9 microarray [...] Read more.
Purpose: The aim of this study was to develop a rapid and automatic drug screening platform using microcrater-arrayed (µCA) cell chips. Methods: The µCA chip was fabricated using a laser direct writing technique. The fabrication time required for one 9 × 9 microarray wax chip was as quick as 1 min. On a nanodroplet handling platform, the chip was pre-coated with anti-cancer drugs, including cyclophosphamide, cisplatin, doxorubicin, oncovin, etoposide, and 5-fluorouracil, and their associated mixtures. Cell droplets containing 100 SK-N-DZ or MCF-7 cells were then loaded onto the chip. Cell viability was examined directly through a chemiluminescence assay on the chip using the CellTiter-Glo assay. Results: The time needed for the drug screening assay was demonstrated to be less than 30 s for a total of 81 tests. The prediction of optimal drug synergy from the µCA chip was found by matching it to that of the zebrafish MCF-7 tumor xenograft model, instead of the conventional 96-well plate assay. In addition, the critical reagent volume and cell number for each µCA chip test were 200 nL and 100 cells, respectively, which were significantly lower than 100 µL and 4000 cells, which were achieved using the 96-well assay. Conclusion: Our study for the µCA chip platform could improve the high-throughput drug synergy screening targeting the applications of tumor cell biology. Full article
Show Figures

Graphical abstract

13 pages, 3241 KB  
Article
Evaluation of the In Vitro and In Vivo Efficacy of Ruthenium Polypyridyl Compounds against Breast Cancer
by Oscar A. Lenis-Rojas, Catarina Roma-Rodrigues, Alexandra R. Fernandes, Andreia Carvalho, Sandra Cordeiro, Jorge Guerra-Varela, Laura Sánchez, Digna Vázquez-García, Margarita López-Torres, Alberto Fernández and Jesús J. Fernández
Int. J. Mol. Sci. 2021, 22(16), 8916; https://doi.org/10.3390/ijms22168916 - 18 Aug 2021
Cited by 6 | Viewed by 2851
Abstract
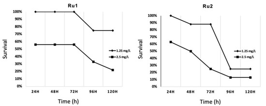
The clinical success of cisplatin, carboplatin, and oxaliplatin has sparked the interest of medicinal inorganic chemistry to synthesize and study compounds with non-platinum metal centers. Despite Ru(II)–polypyridyl complexes being widely studied and well established for their antitumor properties, there are not enough in [...] Read more.
The clinical success of cisplatin, carboplatin, and oxaliplatin has sparked the interest of medicinal inorganic chemistry to synthesize and study compounds with non-platinum metal centers. Despite Ru(II)–polypyridyl complexes being widely studied and well established for their antitumor properties, there are not enough in vivo studies to establish the potentiality of this type of compound. Therefore, we report to the best of our knowledge the first in vivo study of Ru(II)–polypyridyl complexes against breast cancer with promising results. In order to conduct our study, we used MCF7 zebrafish xenografts and ruthenium complexes [Ru(bipy)2(C12H8N6-N,N)][CF3SO3]2Ru1 and [{Ru(bipy)2}2(μ-C12H8N6-N,N)][CF3SO3]4Ru2, which were recently developed by our group. Ru1 and Ru2 reduced the tumor size by an average of 30% without causing significant signs of lethality when administered at low doses of 1.25 mg·L−1. Moreover, the in vitro selectivity results were confirmed in vivo against MCF7 breast cancer cells. Surprisingly, this work suggests that both the mono- and the dinuclear Ru(II)–polypyridyl compounds have in vivo potential against breast cancer, since there were no significant differences between both treatments, highlighting Ru1 and Ru2 as promising chemotherapy agents in breast cancer therapy. Full article
(This article belongs to the Section Molecular Genetics and Genomics)
Show Figures

Figure 1

11 pages, 3436 KB  
Article
Development of a Patient-Derived Xenograft (PDX) of Breast Cancer Bone Metastasis in a Zebrafish Model
by Laura Mercatali, Federico La Manna, Arwin Groenewoud, Roberto Casadei, Federica Recine, Giacomo Miserocchi, Federica Pieri, Chiara Liverani, Alberto Bongiovanni, Chiara Spadazzi, Alessandro De Vita, Gabri Van der Pluijm, Andrea Giorgini, Roberto Biagini, Dino Amadori, Toni Ibrahim and Ewa Snaar-Jagalska
Int. J. Mol. Sci. 2016, 17(8), 1375; https://doi.org/10.3390/ijms17081375 - 22 Aug 2016
Cited by 89 | Viewed by 10616
Abstract
Bone metastasis is a complex process that needs to be better understood in order to help clinicians prevent and treat it. Xenografts using patient-derived material (PDX) rather than cancer cell lines are a novel approach that guarantees more clinically realistic results. A primary [...] Read more.
Bone metastasis is a complex process that needs to be better understood in order to help clinicians prevent and treat it. Xenografts using patient-derived material (PDX) rather than cancer cell lines are a novel approach that guarantees more clinically realistic results. A primary culture of bone metastasis derived from a 67-year-old patient with breast cancer was cultured and then injected into zebrafish (ZF) embryos to study its metastatic potential. In vivo behavior and results of gene expression analyses of the primary culture were compared with those of cancer cell lines with different metastatic potential (MCF7 and MDA-MB-231). The MCF7 cell line, which has the same hormonal receptor status as the bone metastasis primary culture, did not survive in the in vivo model. Conversely, MDA-MB-231 disseminated and colonized different parts of the ZF, including caudal hematopoietic tissues (CHT), revealing a migratory phenotype. Primary culture cells disseminated and in later stages extravasated from the vessels, engrafting into ZF tissues and reaching the CHT. Primary cell behavior reflected the clinical course of the patient’s medical history. Our results underline the potential for using PDX models in bone metastasis research and outline new methods for the clinical application of this in vivo model. Full article
(This article belongs to the Special Issue Cellular and Molecular Mechanisms of Bone Metastasis)
Show Figures

Graphical abstract

Back to TopTop