Sign in to use this feature.

Years

Between: -

Subjects

remove_circle_outline
remove_circle_outline
remove_circle_outline
remove_circle_outline
remove_circle_outline
remove_circle_outline
remove_circle_outline

Journals

Article Types

Countries / Regions

Search Results (91)

Search Parameters:
Keywords = Lyotropic liquid crystals

Order results
Result details
Results per page
Select all
Export citation of selected articles as:
22 pages, 5738 KB  
Review
Probing Membrane Structure of Lipid Nanomedicines Using Solution Small-Angle X-Ray Scattering: Applications and Prospects
by Ke-Meng Li, Panqi Song, Xiao-Peng He and Na Li
Membranes 2025, 15(12), 382; https://doi.org/10.3390/membranes15120382 - 16 Dec 2025
Viewed by 691
Abstract
Lipid-based nanomedicines are already widely used in antitumor therapy and gene delivery. However, their complex structural features demand advanced mesoscopic structural characterization tools for effective research and development (R&D) and quality control. Synchrotron small-angle X-ray scattering (SAXS) is a powerful, non-invasive technique for [...] Read more.
Lipid-based nanomedicines are already widely used in antitumor therapy and gene delivery. However, their complex structural features demand advanced mesoscopic structural characterization tools for effective research and development (R&D) and quality control. Synchrotron small-angle X-ray scattering (SAXS) is a powerful, non-invasive technique for probing nanoscale membrane organizations, monitoring in situ dynamic membrane assembly, and exploring the interactions of components in lipid-based drug delivery systems, including liposomes, lipoplexes, lipid nanoparticles (LNPs), and lyotropic liquid crystals (LLCs). Recent advances in high-flux synchrotron facilities, high-frequency detectors, and automated SAXS data processing pipelines permit a detailed structural characterization of lamellarity, bilayer spacing, internal phases, core–shell morphology, as well as “pump-probe” dynamic process studies for lipid nanomedicines. Though major challenges remain in sample polydispersity and model fitting, the advances in time-resolved synchrotron SAXS, high-throughput automation, and artificial intelligence (AI)-assisted modeling are rapidly reducing this barrier. This review summarizes SAXS methodology and introduces representative case studies in the field of lipid nanomedicines. The performance of BioSAXS beamline BL19U2 in the Shanghai synchrotron radiation facility (SSRF) and prospects of AI-guided drug screening at BL19U2 are highlighted to advance intelligent R&D and quality control for lipid nanomedicines. Full article
Show Figures

Graphical abstract

18 pages, 5235 KB  
Article
Intermolecular Organization of a Lyotropic Liquid Crystal and Carbon Dot Composite in Microfluidic Channels: Surface and Dynamic Effects
by Artem Bezrukov, Aliya Galeeva, Aleksandr Krupin and Yuriy Galyametdinov
Nanomaterials 2025, 15(21), 1682; https://doi.org/10.3390/nano15211682 - 6 Nov 2025
Viewed by 622
Abstract
Composites of lyotropic liquid crystals with biocompatible luminescent nanoparticles represent multifunctional materials with high potential for application in molecular diagnostics and biomedicine. Their integration with microfluidics is a new and scarcely studied approach that offers unique opportunities for tuning properties of such nanomaterials [...] Read more.
Composites of lyotropic liquid crystals with biocompatible luminescent nanoparticles represent multifunctional materials with high potential for application in molecular diagnostics and biomedicine. Their integration with microfluidics is a new and scarcely studied approach that offers unique opportunities for tuning properties of such nanomaterials and simulating the biological environment of their application. This paper analyzes the impact of the governing microfluidic factors, including wall effects and flow dynamics, on the intermolecular structure and optical properties of the mesogenic luminescent nanocomposite of tetraethylene glycol monododecyl ether and carbon dots. The nanoscale and microscale surface structure of microchannel walls was found to be the dominating factor for additional near-wall ordering of the intrinsic lamellar structure of the composite. A combination of controlled shear stress with heating–cooling cycles allowed for a gradual and reversible transformation of multilamellar vesicles into the axial lamellar structure, and provided the composite with anisotropic luminescence capabilities according to the study of the luminescent behavior of carbon dots. The collected experimental datasets, comprising hundreds of texture images, allowed for training the neural network for subsequent accurate recognition of the composite nanoscale organization and dynamic properties in straight and serpentine microchannels. The results will contribute to developing AI-powered microfluidic chips with integrated biocompatible nanocomposite materials for testing drug delivery systems and simulating biological capillary environment in organ-on-chip prototypes. Full article
Show Figures

Figure 1

18 pages, 2572 KB  
Article
Stimuli-Responsive Cationic Lyotropic Liquid Crystalline Nanoparticles: Formulation Process, Physicochemical and Morphological Evaluation
by Maria Chountoulesi, Natassa Pippa, Varvara Chrysostomou, Aleksander Forys, Barbara Trzebicka, Stergios Pispas and Costas Demetzos
Pharmaceutics 2025, 17(9), 1199; https://doi.org/10.3390/pharmaceutics17091199 - 15 Sep 2025
Viewed by 1015
Abstract
Background/Objectives: Lyotropic liquid crystalline nanoparticles are promising drug delivery nanocarriers, exhibiting significant technological advantages, such as their extended internal morphology. In this study, cationic non-lamellar lyotropic–lipidic liquid crystalline nanoparticles were formulated by phytantriol lipid. Methods: The poly(2-(dimethylamino)ethyl methacrylate)-b-poly(lauryl methacrylate) block copolymer [...] Read more.
Background/Objectives: Lyotropic liquid crystalline nanoparticles are promising drug delivery nanocarriers, exhibiting significant technological advantages, such as their extended internal morphology. In this study, cationic non-lamellar lyotropic–lipidic liquid crystalline nanoparticles were formulated by phytantriol lipid. Methods: The poly(2-(dimethylamino)ethyl methacrylate)-b-poly(lauryl methacrylate) block copolymer carrying tri-phenyl-phosphine cations (TPP-QPDMAEMA-b-PLMA), was employed as a stabilizer co-assisted by other polymeric guests. The exact qualitative and quantitative formulation of the systems was investigated. Their physicochemical profile was depicted from a variety of light scattering techniques, while their microenvironmental parameters were determined by fluorescence spectroscopy using adequate probe molecules. The effect of environmental conditions was monitored, confirming stimuli-responsiveness properties. Their morphology was illustrated by cryo-TEM, revealing expanded internal assemblies. Resveratrol was incorporated into the nanoparticles and the entrapment efficiency was calculated. Results: Their properties were found to be dependent on the formulation characteristics, such as the lipid used, as well as the architecture of the polymeric stabilizer, also being found to be stealth toward proteins, exhibiting stimuli responsiveness and high entrapment efficiency. Conclusions: The studied liquid crystalline nanoparticles, being stimuli-responsive, with high cationic potential, high loading capacity and showing intriguing 3D structures, are suitable for pharmaceutical applications. Full article
Show Figures

Graphical abstract

13 pages, 3804 KB  
Article
Maintaining Glycerol-Based Hexagonal Structures by Crosslinkers for High Permeability Nanofiltration
by Senlin Gu, Luke A. O’Dell and Lingxue Kong
Crystals 2025, 15(7), 664; https://doi.org/10.3390/cryst15070664 - 20 Jul 2025
Viewed by 627
Abstract
Hypothesis: Structural optimization of crosslinkers within a reactive glycerol-based hexagonal lyotropic liquid crystal (HLLC) system is proposed to enhance the interfacial stability of hexagonal mesophases and improve the hexagonal structure retention during polymerization. This targeted modification is anticipated to significantly improve the water [...] Read more.
Hypothesis: Structural optimization of crosslinkers within a reactive glycerol-based hexagonal lyotropic liquid crystal (HLLC) system is proposed to enhance the interfacial stability of hexagonal mesophases and improve the hexagonal structure retention during polymerization. This targeted modification is anticipated to significantly improve the water filtration efficiency of HLLC-templated nanofiltration. Experiments: The effect of crosslinkers on the interfacial stability of glycerol-based hexagonal mesophases was studied by evaluating their concentration accommodation within the mesophases using 13C solid NMR, FTIR and SAXS. Findings: A hydrophilic crosslinker consisting of ten ethylene glycol units shows less interference with the interfacial stability of hexagonal mesophases, therefore contributing to a higher concentration accommodation compared to the one with three ethylene glycol units. This long-chain crosslinker, despite having a low content of reactive groups, effectively connects the cylinders and better retains the hexagonal structures during polymerization than the hydrophobic crosslinker with shorter ethylene glycol units but a higher content of reactive groups. The retained hexagonal nanofiltration membranes show a remarkable pure water permeability of 40 L m−2 h−1 bar−1 µm, resulting from the strong hygroscopic effect of glycerol and the crumpled surface of membranes due to the flexible nature of the system plasticized by glycerol. Full article
(This article belongs to the Collection Liquid Crystals and Their Applications)
Show Figures

Figure 1

14 pages, 1885 KB  
Article
Insight into the Mechanism for the Emergence of Thermally Stable Reflection Colors from Cholesteric Liquid Crystals of Etherified Ethyl Cellulose Derivatives and Methacrylic Acid
by Wakako Kishi, Naoto Iwata and Seiichi Furumi
Molecules 2025, 30(13), 2839; https://doi.org/10.3390/molecules30132839 - 2 Jul 2025
Viewed by 732
Abstract
Ethyl cellulose (EC) and its derivatives are known to exhibit the cholesteric liquid crystal (CLC) phase with visible light reflection in a lyotropic manner after adding appropriate solvents. Generally, the reflection peak of conventional CLCs is easily wavelength shifted by temperature. However, our [...] Read more.
Ethyl cellulose (EC) and its derivatives are known to exhibit the cholesteric liquid crystal (CLC) phase with visible light reflection in a lyotropic manner after adding appropriate solvents. Generally, the reflection peak of conventional CLCs is easily wavelength shifted by temperature. However, our previous study showed that the reflection wavelength can be maintained even after heating for the lyotropic CLCs of completely pentyl-etherified EC derivatives with methacrylic acid (MAA). However, the emergence of thermally stable reflection colors still remains obscure in the mechanism at the mesoscopic scale. In this study, we evaluated the temperature dependence of the reflection wavelength for the lyotropic CLCs of a series of completely etherified EC derivatives possessing different alkoxy chains by addition of MAA. It was found that butyl- or pentyl-etherified EC derivatives are suitable for preparation of the lyotropic CLCs with visible Bragg reflection, whereas visible light reflection cannot be observed for the other mixtures of propyl- and hexyl-etherified EC derivatives with MAA. Furthermore, it turned out that lyotropic CLCs of pentyl-etherified EC derivatives with MAA show the smallest temperature dependence of their reflection wavelength. Based on the results of ultra-small-angle X-ray scattering (USAXS) and small-angle X-ray scattering (SAXS) measurements of CLC films, we presumed that the emergence of thermally stable reflection colors from the lyotropic CLCs of pentyl-etherified EC derivatives with MAA arises from their phase separation at the mesoscopic scale by changing the temperature. Full article
(This article belongs to the Special Issue Advances in Polymer Materials Based on Lignocellulosic Biomass)
Show Figures

Figure 1

16 pages, 4079 KB  
Article
Synthesis and Applications of Encapsulated Glycol-Stabilized Lyotropic Cholesteric Liquid Crystal Hydrogels
by Yan-Ting Lin, Chung-Yu Kuo, Yi Shen, Alexander V. Emelyanenko and Chun-Yen Liu
Gels 2025, 11(6), 388; https://doi.org/10.3390/gels11060388 - 25 May 2025
Viewed by 936
Abstract
The micro-phase segregation of two incompatible components on a nanometer scale results in a unique solvent-induced extended anisotropic arrangement. With the addition of a chiral dopant, lyotropic liquid crystals can be induced to adopt a helical structure, forming lyotropic cholesteric liquid crystals capable [...] Read more.
The micro-phase segregation of two incompatible components on a nanometer scale results in a unique solvent-induced extended anisotropic arrangement. With the addition of a chiral dopant, lyotropic liquid crystals can be induced to adopt a helical structure, forming lyotropic cholesteric liquid crystals capable of reflecting incident light. In this study, to prevent fluid leakage in lyotropic materials, we encapsulated a series of hydrogel-stabilized lyotropic liquid crystals, presenting tunable structural colors visible in all directions, mimicking the color-changing characteristics of living organisms. Hydrogel scaffolds with controllable swelling behaviors were engineered by incorporating crosslinking monomers. To ensure stable integration of lyotropic liquid crystals, high-boiling-point ethylene glycol was employed as a fluid during the fabrication process. This study extensively explores the relationship between tensile force, temperature, and pressure and the color changes in lyotropic liquid crystals (LC). The results indicate that lyotropic LC membranes, stabilized by ethylene glycol and PDMS encapsulation, exhibit long-term stability, rendering them suitable for applications in temperature and pressure sensing. This approach ensures the continuous presence and stability of lyotropic liquid crystals within the hydrogel matrix. Full article
(This article belongs to the Section Gel Applications)
Show Figures

Graphical abstract

15 pages, 9424 KB  
Article
Liquid Crystalline Structures Formed by Sphere–Rod Amphiphilic Molecules in Solvents
by Nilanthi P. Haputhanthrige, Yifan Zhou, Jingfan Wei, Min Gao, Tianbo Liu and Oleg D. Lavrentovich
Crystals 2025, 15(2), 177; https://doi.org/10.3390/cryst15020177 - 13 Feb 2025
Cited by 2 | Viewed by 1534
Abstract
Self-assembly of amphiphilic molecules is an important phenomenon attracting a broad range of research. In this work, we study the self-assembly of KTOF4 sphere–rod amphiphilic molecules in mixed water–dioxane solvents. The molecules are of a T-shaped geometry, comprised of a hydrophilic spherical [...] Read more.
Self-assembly of amphiphilic molecules is an important phenomenon attracting a broad range of research. In this work, we study the self-assembly of KTOF4 sphere–rod amphiphilic molecules in mixed water–dioxane solvents. The molecules are of a T-shaped geometry, comprised of a hydrophilic spherical Keggin-type cluster attached by a flexible bridge to the center of a hydrophobic rod-like oligodialkylfluorene (OF), which consists of four OF units. Transmission electron microscopy (TEM) uncovers self-assembled spherical structures of KTOF4 in dilute solutions. These spheres are filled with smectic-like layers of KTOF4 separated by layers of the solution. There are two types of layer packings: (i) concentric spheres and (ii) flat layers. The concentric spheres form when the dioxane volume fraction in the solution is 35–50 vol%. The flat layers are formed when the dioxane volume fraction is either below (20 and 30 vol%.) or above (55 and 60 vol%.) the indicated range. The layered structures show no in-plane orientational order and thus resemble thermotropic smectic A liquid crystals and their lyotropic analogs. The layered packings reveal edge and screw dislocations. Evaporation of the solvent produces a bulk birefringent liquid crystal phase with textures resembling the ones of uniaxial nematic liquid crystals. These findings demonstrate that sphere–rod molecules produce a variety of self-assembled structures that are controlled by the solvent properties. Full article
(This article belongs to the Special Issue Liquid Crystal Research and Novel Applications in the 21st Century)
Show Figures

Graphical abstract

26 pages, 4021 KB  
Review
Recent Advances in Ocular Drug Delivery: Insights into Lyotropic Liquid Crystals
by Samer Adwan, Madeiha Qasmieh, Faisal Al-Akayleh and Ahmed Saad Abdulbari Ali Agha
Pharmaceuticals 2024, 17(10), 1315; https://doi.org/10.3390/ph17101315 - 2 Oct 2024
Cited by 16 | Viewed by 7052
Abstract
Background/Objectives: This review examines the evolution of lyotropic liquid crystals (LLCs) in ocular drug delivery, focusing on their ability to address the challenges associated with traditional ophthalmic formulations. This study aims to underscore the enhanced bioavailability, prolonged retention, and controlled release properties of [...] Read more.
Background/Objectives: This review examines the evolution of lyotropic liquid crystals (LLCs) in ocular drug delivery, focusing on their ability to address the challenges associated with traditional ophthalmic formulations. This study aims to underscore the enhanced bioavailability, prolonged retention, and controlled release properties of LLCs that significantly improve therapeutic outcomes. Methods: This review synthesizes data from various studies on both bulk-forming LLCs and liquid crystal nanoparticles (LCNPs). It also considers advanced analytical techniques, including the use of machine learning and AI-driven predictive modeling, to forecast the phase behavior and molecular structuring of LLC systems. Emerging technologies in biosensing and real-time diagnostics are discussed to illustrate the broader applicability of LLCs in ocular health. Results: LLCs are identified as pivotal in promoting targeted drug delivery across different regions of the eye, with specific emphasis on the tailored optimization of LCNPs. This review highlights principal categories of LLCs used in ocular applications, each facilitating unique interactions with physiological systems to enhance drug efficacy and safety. Additionally, novel applications in biosensing demonstrate LLCs’ capacity to improve diagnostic processes. Conclusions: Lyotropic liquid crystals offer transformative potential in ocular drug delivery by overcoming significant limitations of conventional delivery methods. The integration of predictive technologies and biosensing applications further enriches the utility of LLCs, indicating a promising future for their use in clinical settings. This review points to continued advancements and encourages further research in LLC technology to maximize its therapeutic benefits. Full article
(This article belongs to the Topic Challenges and Opportunities in Drug Delivery Research)
Show Figures

Figure 1

23 pages, 5690 KB  
Review
Ionic Liquid Crystals as Chromogenic Materials
by Andreia F. M. Santos, João L. Figueirinhas, Madalena Dionísio, Maria H. Godinho and Luis C. Branco
Materials 2024, 17(18), 4563; https://doi.org/10.3390/ma17184563 - 17 Sep 2024
Cited by 10 | Viewed by 3072
Abstract
Ionic liquid crystals (ILCs), a class of soft matter materials whose properties can be tuned by the wise pairing of the cation and anion, have recently emerged as promising candidates for different applications, combining the characteristics of ionic liquids and liquid crystals. Among [...] Read more.
Ionic liquid crystals (ILCs), a class of soft matter materials whose properties can be tuned by the wise pairing of the cation and anion, have recently emerged as promising candidates for different applications, combining the characteristics of ionic liquids and liquid crystals. Among those potential uses, this review aims to cover chromogenic ILCs. In this context, examples of photo-, electro- and thermochromism based on ILCs are provided. Furthermore, thermotropic and lyotropic ionic liquid crystals are also summarised, including the most common chemical and phase structures, as well as the advantages of confining these materials. This manuscript also comprises the following main experimental techniques used to characterise ILCs: Differential Scanning Calorimetry (DSC), Polarised Optical Microscopy (POM) and X-Ray Powder Diffraction (XRD). Chromogenic ILCs can be interesting smart materials for energy and health purposes. Full article
(This article belongs to the Special Issue The 15th Anniversary of Materials—Recent Advances in Soft Matter)
Show Figures

Figure 1

15 pages, 6567 KB  
Article
Molecular Orientation Behavior of Lyotropic Liquid Crystal–Carbon Dot Hybrids in Microfluidic Confinement
by Artem Bezrukov, Aliya Galeeva, Aleksandr Krupin and Yuriy Galyametdinov
Int. J. Mol. Sci. 2024, 25(10), 5520; https://doi.org/10.3390/ijms25105520 - 18 May 2024
Cited by 8 | Viewed by 2206
Abstract
Lyotropic liquid crystals represent an important class of anisotropic colloid systems. Their integration with optically active nanoparticles can provide us with responsive luminescent media that offer new fundamental and applied solutions for biomedicine. This paper analyzes the molecular-level behavior of such composites represented [...] Read more.
Lyotropic liquid crystals represent an important class of anisotropic colloid systems. Their integration with optically active nanoparticles can provide us with responsive luminescent media that offer new fundamental and applied solutions for biomedicine. This paper analyzes the molecular-level behavior of such composites represented by tetraethylene glycol monododecyl ether and nanoscale carbon dots in microfluidic channels. Microfluidic confinement allows for simultaneously applying multiple factors, such as flow dynamics, wall effects, and temperature, for the precise control of the molecular arrangement in such composites and their resulting optical properties. The microfluidic behavior of composites was characterized by a set of analytical and modeling tools such as polarized and fluorescent microscopy, dynamic light scattering, and fluorescent spectroscopy, as well as image processing in Matlab. The composites were shown to form tunable anisotropic intermolecular structures in microchannels with several levels of molecular ordering. A predominant lamellar structure of the composites was found to undergo additional ordering with respect to the microchannel axis and walls. Such an alignment was controlled by applying shear and temperature factors to the microfluidic environment. The revealed molecular behavior of the composite may contribute to the synthesis of hybrid organized media capable of polarized luminescence for on-chip diagnostics and biomimetics. Full article
(This article belongs to the Section Physical Chemistry and Chemical Physics)
Show Figures

Figure 1

14 pages, 4631 KB  
Article
Time Dependence of Gel Formation in Lyotropic Nematic Liquid Crystals: From Hours to Weeks
by Max Dombrowski, Michael Herbst, Natalie Preisig, Frank Giesselmann and Cosima Stubenrauch
Gels 2024, 10(4), 261; https://doi.org/10.3390/gels10040261 - 13 Apr 2024
Cited by 3 | Viewed by 2208
Abstract
The combination of lyotropic liquid crystals (LLCs) and low-molecular-weight gelators (LMWGs) for the formation of lyotropic liquid crystal gels (LLC gels) leads to a versatile and complex material combining properties of both parent systems. We gelled the calamitic nematic NC phases of [...] Read more.
The combination of lyotropic liquid crystals (LLCs) and low-molecular-weight gelators (LMWGs) for the formation of lyotropic liquid crystal gels (LLC gels) leads to a versatile and complex material combining properties of both parent systems. We gelled the calamitic nematic NC phases of a binary and ternary system using the LMWG 3,5-bis-(5-hexylcarbamoyl-pentoxy)-benzoic acid hexyl ester (BHPB-6). This binary system consists of the surfactant N,N-dimethyl-N-ethyl-1-hexadecylammonium bromide (CDEAB) and water, whereas the ternary system consists of the surfactant N,N,N-trimethyl-N-tetradecylammonium bromide (C14TAB), the cosurfactant n-decanol, and water. Though containing similar surfactants, the gelled NC phases of the binary and ternary systems show differences in their visual and gel properties. The gelled NC phase of the binary system remains clear for several days after preparation, whereas the gelled NC phase of the ternary system turns turbid within 24 h. We investigated the time evolution of the gel strength with oscillation rheology measurements (a) within the first 24 h and (b) up to two weeks after gel formation. The shape of the fibers was investigated over different time scales with freeze fracture electron microscopy (FFEM). We demonstrate that despite their similarities, the two LLC gels also have distinct differences. Full article
(This article belongs to the Section Gel Chemistry and Physics)
Show Figures

Figure 1

16 pages, 2916 KB  
Article
Synergistic Effect and Phase Behavior of SCG-CAPB-H2O Ternary Compound System
by Zhendong Zhu, Jiahao Zhang, Feihong Wang, Wenhui Feng, Leping Dang and Hongyuan Wei
Appl. Sci. 2024, 14(7), 3081; https://doi.org/10.3390/app14073081 - 6 Apr 2024
Cited by 1 | Viewed by 3965
Abstract
The physical properties of sodium cocoyl glycinate (SCG) and the synergistic effects within the SCG/CAPB complex system were investigated using visible–ultraviolet spectrophotometry and a surface tension meter. Analysis of the synergistic parameters of the complex system revealed that the combination of SCG and [...] Read more.
The physical properties of sodium cocoyl glycinate (SCG) and the synergistic effects within the SCG/CAPB complex system were investigated using visible–ultraviolet spectrophotometry and a surface tension meter. Analysis of the synergistic parameters of the complex system revealed that the combination of SCG and cocamidopropyl betaine (CAPB) yielded superior results compared to the individual use of SCG. Building upon this, the ternary phase behavior of the SCG/CAPB/H2O system was further explored. Different lyotropic liquid crystal phases were identified using polarized optical microscopy (POM) and small-angle X-ray scattering (SAXS). Surfactant solutions with varying mass fractions exhibited diverse phase behaviors, including the micellar phase (L1), micelle–solid mixed phase (L1-S), hexagonal phase (H), and lamellar phase (Lα), with the insoluble solid phase predominating. The investigation of the ternary phase diagram of SCG/CAPB/H2O provided valuable guidance for detergent formulation screening, enriched the understanding of sodium cocoyl glycinate complex systems, and further promoted the utilization of amino acid-based surfactants in the field of personal care products. Full article
(This article belongs to the Section Surface Sciences and Technology)
Show Figures

Figure 1

14 pages, 3664 KB  
Article
Pluronic 123 Liquid Lyotropic Crystals for Transdermal Delivery of Caffeic Acid—Insights from Structural Studies and Drug Release
by Martina Romeo, Elisabetta Mazzotta, Francesca Lovati, Michele Porto, Cesare Oliviero Rossi and Rita Muzzalupo
Gels 2024, 10(3), 181; https://doi.org/10.3390/gels10030181 - 6 Mar 2024
Viewed by 2481
Abstract
Background: This study aims to evaluate the percutaneous permeation profiles of caffeic acid (CA) from the cubic and hexagonal liquid crystalline phases of Pluronic P123/water mixtures. Method: The resulting drug-loaded mesophases were subjected to characterisation through deuterium nuclear magnetic resonance spectroscopy and polarised [...] Read more.
Background: This study aims to evaluate the percutaneous permeation profiles of caffeic acid (CA) from the cubic and hexagonal liquid crystalline phases of Pluronic P123/water mixtures. Method: The resulting drug-loaded mesophases were subjected to characterisation through deuterium nuclear magnetic resonance spectroscopy and polarised optical microscopy observations. These analyses aimed to evaluate the structural changes that occurred in the mesophases loading with CA. Additionally, steady and dynamic rheology studies were conducted to further explore their mechanical properties and correlate them to the supramolecular structure. Finally, CA release experiments were carried out at two different temperatures to examine the behaviour of the structured systems in a physiological or hyperthermic state. Results: As the concentration of the polymer increases, an increase in the viscosity of the gel is noted; however, the addition of caffeic acid increases microstructure fluidity. It is observed that the temperature effect conforms to expectations. The increase in temperature causes a decrease in viscosity and, consequently, an increase in the rate of permeation of caffeic acid. Conclusions: The CA permeation profile from the prepared formulations is mostly dependent on the structural organisation and temperature. Cubic mesophase LLC 30/CA showed greater skin permeation with good accumulation in the skin at both tested temperatures. Full article
Show Figures

Figure 1

16 pages, 7436 KB  
Article
Cholesteric Liquid Crystals with Thermally Stable Reflection Color from Mixtures of Completely Etherified Ethyl Cellulose Derivative and Methacrylic Acid
by Kazuma Matsumoto, Naoto Iwata and Seiichi Furumi
Polymers 2024, 16(3), 401; https://doi.org/10.3390/polym16030401 - 31 Jan 2024
Cited by 5 | Viewed by 2355
Abstract
Cellulose derivatives have attracted attention as environmentally friendly materials that can exhibit a cholesteric liquid crystal (CLC) phase with visible light reflection. Previous reports have shown that the chemical structures and the degrees of substitution of cellulose derivatives have significant influence on their [...] Read more.
Cellulose derivatives have attracted attention as environmentally friendly materials that can exhibit a cholesteric liquid crystal (CLC) phase with visible light reflection. Previous reports have shown that the chemical structures and the degrees of substitution of cellulose derivatives have significant influence on their reflection properties. Although many studies have been reported on CLC using ethyl cellulose (EC) derivatives in which the hydroxy groups are esterified, there have been no studies on EC derivatives with etherified side chains. In this article, we optimized the Williamson ether synthesis to introduce pentyl ether groups in the EC side chain. The degree of substitution with pentyl ether group (DSPe), confirmed via 1H-NMR spectroscopic measurements, was controlled using the solvent and the base concentration in this synthesis. All the etherified EC derivatives were soluble in methacrylic acid (MAA), allowing for the preparation of lyotropic CLCs with visible reflection. Although the reflection peak of lyotropic CLCs generally varies with temperature, the reflection peak of lyotropic CLCs of completely etherified EC derivatives with MAA could almost be preserved in the temperature range from 30 to 110 °C even without the aid of any crosslinking. Such thermal stability of the reflection peak of CLCs may be greatly advantageous for fabricating new photonic devices with eco-friendliness. Full article
(This article belongs to the Special Issue Advances in Sustainable Polymeric Materials II)
Show Figures

Figure 1

17 pages, 2273 KB  
Article
Effects of Ionic Liquids on the Cylindrical Self-Assemblies Formed by Poly(ethylene oxide)–Poly(propylene oxide)–Poly(ethylene oxide) Block Copolymers in Water
by Aikaterini Tsoutsoura, Zhiqi He and Paschalis Alexandridis
Polymers 2024, 16(3), 349; https://doi.org/10.3390/polym16030349 - 28 Jan 2024
Cited by 10 | Viewed by 4576
Abstract
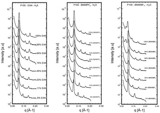
Aiming at the fundamental understanding of solvent effects in amphiphilic polymer systems, we considered poly(ethylene oxide)–poly(propylene oxide)–poly(ethylene oxide) (PEO-PPO-PEO) block copolymers in water mixed with an ionic liquid—ethylammonium nitrate (EAN), 1-butyl-3-methylimidazolium hexafluorophosphate (BMIMPF6), or 1-butyl-3-methylimidazolium tetrafluoroborate (BMIMBF4)—and we investigated [...] Read more.
Aiming at the fundamental understanding of solvent effects in amphiphilic polymer systems, we considered poly(ethylene oxide)–poly(propylene oxide)–poly(ethylene oxide) (PEO-PPO-PEO) block copolymers in water mixed with an ionic liquid—ethylammonium nitrate (EAN), 1-butyl-3-methylimidazolium hexafluorophosphate (BMIMPF6), or 1-butyl-3-methylimidazolium tetrafluoroborate (BMIMBF4)—and we investigated the hexagonal lyotropic liquid crystal structures by means of small-angle X-ray scattering (SAXS). At 50% polymer, the hexagonal structure (cylinders of self-assembled block copolymer) was maintained across the solvent mixing ratio. The effects of the ionic liquids were reflected in the characteristic length scales of the hexagonal structure and were interpreted in terms of the location of the ionic liquid in the self-assembled block copolymer domains. The protic ionic liquid EAN was evenly distributed within the aqueous domains and showed no affinity for the interface, whereas BMIMPF6 preferred to swell PEO and was located at the interface so as to reduce contact with water. BMIMBF4 was also interfacially active, but to a lesser extent. Full article
(This article belongs to the Section Polymer Physics and Theory)
Show Figures

Figure 1

Back to TopTop