Sign in to use this feature.

Years

Between: -

Subjects

remove_circle_outline
remove_circle_outline
remove_circle_outline
remove_circle_outline

Journals

Article Types

Countries / Regions

Search Results (5)

Search Parameters:
Keywords = LEO forced response

Order results
Result details
Results per page
Select all
Export citation of selected articles as:
22 pages, 2699 KB  
Article
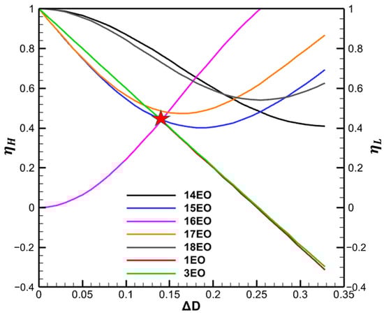
A Simplified Model for Stator Asymmetry Design Considering Low-Engine-Order Forced Response
by Yun Zheng, Xiubo Jin, Hui Yang and Jun He
Aerospace 2026, 13(2), 141; https://doi.org/10.3390/aerospace13020141 - 1 Feb 2026
Abstract
The 2-segment even-split layout in various stator asymmetry layouts effectively mitigates the amplitude of the high-engine-order (HEO) forced response induced by the vane passing frequency (VPF). However, it may increase the level of the low-engine-order (LEO) forced response. A 2-segment non-even-split layout has [...] Read more.
The 2-segment even-split layout in various stator asymmetry layouts effectively mitigates the amplitude of the high-engine-order (HEO) forced response induced by the vane passing frequency (VPF). However, it may increase the level of the low-engine-order (LEO) forced response. A 2-segment non-even-split layout has been proposed in a previous study to reduce the amplitude of LEO aerodynamic excitation arising from the 2-segment even-split layout. This paper presents a full-annular unsteady forced response analysis of a single-stage turbine conducted using an in-house code to compare the aerodynamic excitations on the rotor blades across different 2-segment non-even-split layouts. The analysis reveals that an inappropriate circumferential angle assignment of the 2-segment non-even-split layout is ineffective in simultaneously suppressing the high amplitudes of both HEO and LEO aerodynamic excitations. Determining the optimal layout by calculating various circumferential angle assignments individually incurs significantly high computational costs. To address this issue, a fast and accurate simplified model for stator asymmetry is proposed in this study. The accuracy of the simplified model is validated by comparing its results with the suppression effects of aerodynamic excitation obtained from numerical simulations. The optimal stator asymmetry layout for a single-stage turbine is identified through this simplified model. The results indicate that the selected optimal layout can reduce VPF aerodynamic excitation of the symmetric layout by 45.14% and the 3-engine-order (3EO) aerodynamic excitation introduced by the 2-segment even-split layout by 43.56%, while the negative impact on the aerodynamic performance is significantly smaller than that of the 2-segment even-split layout. This study provides a robust theoretical foundation for enhancing the application of stator asymmetry in engineering, which demonstrates its practical engineering value. Full article
(This article belongs to the Special Issue Aeroelasticity, Volume V)
Show Figures

Figure 1

15 pages, 4989 KB  
Article
Numerical Investigation of the Excitation Characteristics of Contaminated Nozzle Rings
by Michaela R. Beierl, Damian M. Vogt, Magnus Fischer, Tobias R. Müller and Kwok Kai So
Int. J. Turbomach. Propuls. Power 2024, 9(2), 21; https://doi.org/10.3390/ijtpp9020021 - 4 Jun 2024
Viewed by 2360
Abstract
The deposition of combustion residues in the nozzle ring (NR) of a turbocharger turbine stage changes the NR geometry significantly in a random manner. The resultant complex and highly asymmetric geometry induces low engine order (LEO) excitation, which may lead to resonance excitation [...] Read more.
The deposition of combustion residues in the nozzle ring (NR) of a turbocharger turbine stage changes the NR geometry significantly in a random manner. The resultant complex and highly asymmetric geometry induces low engine order (LEO) excitation, which may lead to resonance excitation of rotor blades and high cycle fatigue (HCF) failure. Therefore, a suitable prediction workflow is of great importance for the design and validation phases. The prediction of LEO excitation is, however, computationally expensive as high-fidelity, full annulus CFD models are required. Previous investigations showed that a steady-state computational model consisting of the volute, the NR, and a radial extension is suitable to reduce the computational costs massively and to qualitatively predict the level of LEO forced response. In the current paper, the aerodynamic excitation of 69 real contaminated NRs is analyzed using this simplified approach. The results obtained by the simplified simulation model are used to select 13 contaminated NR geometries, which are then simulated with a model of the entire turbine stage, including the rotor, in a transient time-marching manner to provide high-fidelity simulation results for the verification of the simplified approach. Furthermore, two contamination patterns are analyzed in a more detailed manner regarding their aerodynamic excitation. It is found that the simplified model can be used to identify and classify contamination patterns that lead to high blade vibration amplitudes. In cases where transient effects occurring in the rotor alter the harmonic pressure field significantly, the ability of the simplified approach to predict the LEO excitation is not sufficient. Full article
Show Figures

Figure 1

25 pages, 9499 KB  
Article
Low-Engine-Order Forced Response Analysis of a Turbine Stage with Damaged Stator Vane
by Yun Zheng, Xiubo Jin and Hui Yang
Entropy 2024, 26(1), 4; https://doi.org/10.3390/e26010004 - 19 Dec 2023
Cited by 2 | Viewed by 2595
Abstract
A damaged stator vane can disrupt the circumferential symmetry of the design flow for turbine assemblies, which can lead to a low-engine-order (LEO) forced response of rotor blades. To help engineers be able to better address sudden vane damage failures, this paper conducts [...] Read more.
A damaged stator vane can disrupt the circumferential symmetry of the design flow for turbine assemblies, which can lead to a low-engine-order (LEO) forced response of rotor blades. To help engineers be able to better address sudden vane damage failures, this paper conducts a mechanism analysis of the LEO forced response of rotor blades induced by a single damaged vane using an in-house computational fluid dynamic code (Hybrid Grid Aeroelasticity Environment). Firstly, it is found that the damaged vane introduces a family of LEO aerodynamic excitations with high amplitudes by full-annulus unsteady aeroelastic simulations of a single-stage turbine. In particular, the LEO forced response of the rotor blades excited by 3EO is 2.01 times higher than the resonance response excited by vane passing frequency, and the LEO resonance risk of the rotor blades is greatly increased. Then, by analyzing the flow characteristics of the wake and potential field of the stator row with a damaged vane, the localized high transient pressure in the notch cavity and the radial redistribution of the secondary vortex at the stator exit are the main sources of the low-order harmonic components in the flow field. Importantly, the interaction mechanisms in two regions with high LEO excitation amplitude on the rotor blade surface are revealed separately. Finally, an evaluation and comparison of a single damaged vane in terms of aerodynamic performance and LEO forced response was carried out. The results of this paper provide a good theoretical basis for engineers to effectively control the resonance response of rotor blades caused by a damaged stator vane in turbine design. Full article
(This article belongs to the Special Issue Advances in Entropy and Computational Fluid Dynamics)
Show Figures

Figure 1

25 pages, 9135 KB  
Article
Effects of Asymmetric Vane Pitch on Reducing Low-Engine-Order Forced Response of a Turbine Stage
by Yun Zheng, Xiubo Jin and Hui Yang
Aerospace 2022, 9(11), 694; https://doi.org/10.3390/aerospace9110694 - 7 Nov 2022
Cited by 10 | Viewed by 2773
Abstract
Asymmetric vane pitch is a key technique to suppress the forced response of downstream rotor blades. To address the problem of low-engine-order (LEO) excitation with high amplitude under an asymmetric configuration (half-and-half layout) widely recognized in the previous literature, we first apply the [...] Read more.
Asymmetric vane pitch is a key technique to suppress the forced response of downstream rotor blades. To address the problem of low-engine-order (LEO) excitation with high amplitude under an asymmetric configuration (half-and-half layout) widely recognized in the previous literature, we first apply the in-house computational fluid dynamics code Hybrid Grid Aeroelasticity Environment to perform full-annulus unsteady aeroelasticity simulations of the turbine stage, comparing the resonance response of rotor blades on different asymmetric configurations and analyzing the flow field at the vane exit, as well as the excitation force, modal force, and maximum vibrational amplitude on the rotor blades. Second, we reveal that the potential field of the vane row is the main source of the LEO excitation caused by asymmetric configuration on rotor blades, the vane wake and potential field jointly determine the LEO excitation strength of rotor blades, and the vane pitch difference ΔS can be used to regulate the strength of the LEO excitation. Finally, based on an in-depth understanding of flow physics under an asymmetric configuration, a more preferable and effective asymmetric configuration (non-half two-segment layout) is proposed. Our findings demonstrate that, with the proposed asymmetric configuration, the amplitude of the vane passing frequency was reduced by 48.32% compared to the uniform configuration; furthermore, the maximum vibrational amplitude of the three-nodal-diameter response of the rotor blade at the three-engine-order crossing decreased by 45.49% compared to the half-and-half layout. The non-half two-segment layout also significantly improves upon the half-and-half layout in terms of aerodynamic performance. The results presented in this paper provide a good theoretical basis for reducing blade vibration by applying asymmetric vane pitch in engineering practice. Full article
(This article belongs to the Section Aeronautics)
Show Figures

Figure 1

21 pages, 10158 KB  
Article
Analysis of Orbital Atmospheric Density from QQ-Satellite Precision Orbits Based on GNSS Observations
by Yueqiang Sun, Bowen Wang, Xiangguang Meng, Xinchun Tang, Feng Yan, Xianguo Zhang, Weihua Bai, Qifei Du, Xianyi Wang, Yuerong Cai, Bibo Guo, Shilong Wei, Hao Qiao, Peng Hu, Yongping Li and Xinyue Wang
Remote Sens. 2022, 14(16), 3873; https://doi.org/10.3390/rs14163873 - 10 Aug 2022
Cited by 10 | Viewed by 3619
Abstract
Atmospheric drag provides an indirect approach for evaluating atmospheric mass density, which can be derived from the Precise Orbit Determination (POD) of Low Earth Orbit (LEO) satellites. A method was developed to estimate nongravitational acceleration, which includes the drag acceleration of the thermospheric [...] Read more.
Atmospheric drag provides an indirect approach for evaluating atmospheric mass density, which can be derived from the Precise Orbit Determination (POD) of Low Earth Orbit (LEO) satellites. A method was developed to estimate nongravitational acceleration, which includes the drag acceleration of the thermospheric density model and empirical force acceleration in the velocity direction from the centimeter-level reduced-dynamic POD. The main research achievements include the study of atmospheric responses to geomagnetic storms, especially after the launch of the spherical Qiu Qiu (QQ)-Satellite (QQ-Satellite) with the global navigation system satellite (GNSS) receiver onboard tracking the Global Positioning System (GPS) and Beidou System (BDS) data. Using this derivation method, the high-accuracy POD atmospheric density was determined from these data, resulting in better agreement among the QQ-Satellite-derived densities and the NRLMSISE-00 model densities. In addition, the POD-derived density exhibited a more sensitive response to magnetic storms. Improved accuracy of short-term orbit predictions using derived density was one of the aims of this study. Preliminary experiments using densities derived from the QQ-Satellite showed promising and encouraging results in reducing orbit propagation errors within 24 h, especially during periods of geomagnetic activity. Full article
(This article belongs to the Section Atmospheric Remote Sensing)
Show Figures

Figure 1

Back to TopTop