Sign in to use this feature.

Years

Between: -

Subjects

remove_circle_outline
remove_circle_outline
remove_circle_outline
remove_circle_outline
remove_circle_outline

Journals

Article Types

Countries / Regions

Search Results (9)

Search Parameters:
Keywords = Kelvin representation

Order results
Result details
Results per page
Select all
Export citation of selected articles as:
21 pages, 1047 KB  
Article
Decomposition of Elasticity Tensor on Material Constants and Mesostructures of Metal Plates
by Genbao Liu, Chukun Wang, Risheng Zhu, Tengfei Zhao, Zhiwen Lan and Mojia Huang
Crystals 2025, 15(9), 788; https://doi.org/10.3390/cryst15090788 - 31 Aug 2025
Viewed by 565
Abstract
Most metal plates are orthorhombic aggregates of cubic crystallites. First, we discuss the representations of the stress tensor, the strain tensor, the elasticity tensor, and the rotation tensor under the Kelvin notation. Then, we give the decomposition of determining the material constants and [...] Read more.
Most metal plates are orthorhombic aggregates of cubic crystallites. First, we discuss the representations of the stress tensor, the strain tensor, the elasticity tensor, and the rotation tensor under the Kelvin notation. Then, we give the decomposition of determining the material constants and the mesostructure tensors on the metal plate of cubic crystallites. Under the Voigt model and the Reuss model, we derive the volume average stiffness tensor and the volume average flexibility tensor’s inverse, respectively, of cubic crystallites based on the decomposition. The elasticity tensors of the Voigt model and the Reuss model are upper and lower bounds of the effective elasticity tensor, respectively. We make use of an FEM example to check the decomposition of the elasticity tensor on the material constants and the mesostructures. The results of our decomposition are consistent with the FEM simulation’s results. Full article
Show Figures

Figure 1

23 pages, 10915 KB  
Article
Modeling of Stress Relaxation Behavior in HDPE and PP Using Fractional Derivatives
by Karla L. Segura-Méndez, Jesús G. Puente-Córdova, Flor Y. Rentería-Baltiérrez, Juan F. Luna-Martínez and Nasser Mohamed-Noriega
Polymers 2025, 17(4), 453; https://doi.org/10.3390/polym17040453 - 9 Feb 2025
Cited by 4 | Viewed by 3143
Abstract
In this work, the viscoelastic behavior of high-density polyethylene (HDPE) and polypropylene (PP) was studied through stress relaxation experiments conducted at different strain levels. The main objective was to evaluate classical, fractional, and conformable derivatives to analyze molecular mobility, using statistical methods to [...] Read more.
In this work, the viscoelastic behavior of high-density polyethylene (HDPE) and polypropylene (PP) was studied through stress relaxation experiments conducted at different strain levels. The main objective was to evaluate classical, fractional, and conformable derivatives to analyze molecular mobility, using statistical methods to identify the most accurate representation of the viscoelastic response. Besides the coefficient of determination (R2), the average absolute deviation (AAD) and mean squared error (MSE) were used as evaluation metrics, along with a multivariate analysis of variance (MANOVA) and the response surface methodology (RSM) to optimize the correspondence between experimental data and model predictions. The findings demonstrate that the spring-pot, Fractional Maxwell (FMM), Fractional Voigt–Kelvin (FVKM), and Kohlrausch–Williams-Watts (KWW) models effectively describe stress relaxation under statistical criteria. However, a joint analysis using RSM revealed that the choice of mathematical model significantly influences the outcomes. The FVKM was identified as the most effective for HDPE, while the KWW model best characterized PP. These results highlight the importance of optimization tools in advancing the characterization of polymer viscoelasticity. The ability to select the most accurate models for HDPE and PP under varying conditions can directly improve the performance and durability of products in critical industrial sectors such as packaging, automotive, and medical devices, where long-term mechanical behavior is crucial. By offering a framework adaptable to other materials and modeling approaches, this work provides valuable insights for optimizing polymer processing, improving product design, and enhancing the reliability of polymer-based components in a range of industrial applications. Full article
(This article belongs to the Section Polymer Physics and Theory)
Show Figures

Graphical abstract

20 pages, 3712 KB  
Article
Energy-Based Analysis of Time-Dependent Deformations in Viscoelastic Truss Systems
by Gülçin Tekin
Buildings 2025, 15(3), 362; https://doi.org/10.3390/buildings15030362 - 24 Jan 2025
Viewed by 1014
Abstract
Truss systems are essential structural elements widely utilized for their lightweight design, high load-bearing capacity, and structural efficiency. This study introduces a novel energy-based method for analyzing time-dependent deformations in viscoelastic truss systems, applicable to both statically determinate and indeterminate configurations. The primary [...] Read more.
Truss systems are essential structural elements widely utilized for their lightweight design, high load-bearing capacity, and structural efficiency. This study introduces a novel energy-based method for analyzing time-dependent deformations in viscoelastic truss systems, applicable to both statically determinate and indeterminate configurations. The primary objective is to develop a total potential energy (TPE) functional that explicitly incorporates viscoelastic effects, system parameters, material properties, and loading conditions. Unlike conventional methods that treat viscous terms as non-conservative and lacking a clear energy representation, the proposed approach facilitates a direct and efficient energy-based formulation of the governing equations. The methodology employs the Laplace transform to simplify the problem and an inverse Laplace transform to recover solutions in the time domain. This systematic approach ensures accurate results while reducing computational effort, making it both time-efficient and straightforward to implement. A key advantage of the proposed method is its adaptability to various viscoelastic material models, such as the Kelvin–Voigt and Standard Linear Solid (SLS) models, and its applicability to diverse loading conditions, including step and impulsive loads. To validate the method, numerical analyses are conducted on truss systems subjected to different time-dependent loading scenarios. The results demonstrate the method’s capability to accurately predict the time-dependent behavior of viscoelastic trusses, addressing a significant gap in the literature by providing benchmark solutions. The proposed framework offers a computationally efficient alternative for analyzing viscoelastic structures, facilitating their integration into practical structural design and improving the prediction of long-term deformation behavior. This study provides a reliable and innovative solution for analyzing viscoelastic truss systems, making it a valuable tool for engineers and researchers working with time-dependent materials in structural applications. Full article
(This article belongs to the Section Building Structures)
Show Figures

Figure 1

11 pages, 2756 KB  
Article
A Mechanical Model for Stress Relaxation of Polylactic Acid/Thermoplastic Polyurethane Blends
by Yi-Sheng Jhao, Hao Ouyang, Chien-Chao Huang, Fuqian Yang and Sanboh Lee
J. Compos. Sci. 2024, 8(5), 169; https://doi.org/10.3390/jcs8050169 - 1 May 2024
Cited by 1 | Viewed by 2624
Abstract
Polylactic acid (PLA) is considered a promising biodegradable polymer alternative. Due to its high brittleness, composite materials made by melt blending thermoplastic polyurethane (TPU) with PLA can enhance the toughness of PLA. To understand the forced aging caused by stress relaxation in polymer [...] Read more.
Polylactic acid (PLA) is considered a promising biodegradable polymer alternative. Due to its high brittleness, composite materials made by melt blending thermoplastic polyurethane (TPU) with PLA can enhance the toughness of PLA. To understand the forced aging caused by stress relaxation in polymer materials, this study explains the stress relaxation experiments of PLA/TPU blends with different mass ratios under applied strain through mechanical model simulations. The Kelvin representation of the standard linear solid model (SLSM) is used to analyze the stress relaxation data of TPU/PLA blends, successfully explaining that the Young’s moduli (E1 and E2) of springs decrease with increasing temperature and TPU content. The viscosity coefficient of the PLA/TPU blends decreases with increasing temperature, and its reciprocal follows the Arrhenius law. For TPU/PLA blends with increased concentration of TPU, the activation energy for stress relaxation shows a linear decrease, confirmed by the glass transition point measured by DMA, indicating that it does not involve chemical reactions. Full article
(This article belongs to the Special Issue Progress in Polymer Composites, Volume III)
Show Figures

Figure 1

14 pages, 2186 KB  
Article
Stress Relaxation Behavior of Poly(Methyl Methacrylate)/Graphene Composites: Ultraviolet Irradiation
by Yu-Cheng Ju, Donyau Chiang, Ming-Yen Tsai, Hao Ouyang and Sanboh Lee
Polymers 2022, 14(19), 4192; https://doi.org/10.3390/polym14194192 - 6 Oct 2022
Cited by 7 | Viewed by 2803
Abstract
The graphene/poly (methyl methacrylate) (PMMA) composites are a promising candidate for electronic, optoelectrical, and environmental applications. Understanding the mechanical degradation of PMMA-based materials is of practical importance in improving the reliability and lifespan of the associated structures and systems. In this study, we [...] Read more.
The graphene/poly (methyl methacrylate) (PMMA) composites are a promising candidate for electronic, optoelectrical, and environmental applications. Understanding the mechanical degradation of PMMA-based materials is of practical importance in improving the reliability and lifespan of the associated structures and systems. In this study, we investigate the effects of functionalized graphene (FG) and UV irradiation on the stress–relaxation of PMMA. Uniaxial tensile and stress –relaxation tests are performed to evaluate the mechanical properties of the composites. The mechanical strength and elongation at the break increase with the graphene concentration but decrease with the increase of the irradiation dose. Raman spectroscopy and intrinsic viscosity measurement are applied to examine the root cause of the degradation in the composites. UV irradiation leads to polymer chain scission and loss of molecular weight. The Kelvin representation of the standard linear solid model (SLSM) is used to describe the stress–relaxation curves of the composites. The value of the elastic modulus in the Kelvin element decreases with the increase in temperature. The viscosity follows the Arrhenius equation. The activation energy of viscosity increases with the increasing FGs concentration because the FGs hinder the chain motion of PMMA. However, UV irradiation makes chain scission of PMMA/FGs composite so that the polymer chain moves more easily and the activation energy of stress relaxation lowers. The steady-state stress follows the van ’t Hoff equation that stress relaxation is an exothermal deformation process. Although Maxwell’s representation of SLSM is mathematically identical to the Kelvin representation of SLSM, the former cannot interpret the stress–relaxation behavior of PMMA/FGs composite, which is against the concept of Young’s modulus as a decreasing temperature function. Full article
(This article belongs to the Special Issue Advances in Polymer Composites II)
Show Figures

Figure 1

12 pages, 3267 KB  
Article
The Study of the Dynamic Behavior for a Tamping Rammer
by Radu Mircea Morariu-Gligor
Symmetry 2022, 14(5), 980; https://doi.org/10.3390/sym14050980 - 11 May 2022
Cited by 1 | Viewed by 5996
Abstract
The paper presents a mechanical and a mathematical model, developed by the author for the study of the dynamical behavior of a tamping rammer. At first, some aspects related to the compaction of soil for construction works are presented. In this study, the [...] Read more.
The paper presents a mechanical and a mathematical model, developed by the author for the study of the dynamical behavior of a tamping rammer. At first, some aspects related to the compaction of soil for construction works are presented. In this study, the soil was modeled using the Kelvin–Voigt model. To validate the mathematical model, a program written in C language, that allows to analyze the parameters that influence the operation of the tamping rammer, was developed. Three constructive variants of tamping rammers, following the variation of the displacements of the frame and the sole and the variation of the impact force were analyzed. In the final part, the variation of the studied parameters is illustrated by means of graphical representations. The variation of the studied parameters becomes symmetrical, related to an equilibrium position. Using the application, developed by the author, the variation of the sole and frame displacements, and the variation of the impact force can be traced. The numerical results obtained by running the application, (using three sets of input data), demonstrate the accuracy and the correctness of the proposed mathematical model by analogy with the values provided by the manufacturers. Finally, further research in this field is presented. Full article
(This article belongs to the Special Issue Symmetry in Theoretical and Applied Mechanics)
Show Figures

Figure 1

19 pages, 1661 KB  
Article
Bounding of Flow and Transport Analysis in Heterogeneous Saturated Porous Media: A Minimum Energy Dissipation Principle for the Bounding and Scale-Up
by R. William Nelson and Gustavious P. Williams
Hydrology 2019, 6(2), 33; https://doi.org/10.3390/hydrology6020033 - 25 Apr 2019
Cited by 1 | Viewed by 3088
Abstract
We apply minimum kinetic energy principles from classic mechanics to heterogeneous porous media flow equations to derive and evaluate rotational flow components to determine bounding homogenous representations. Kelvin characterized irrotational motions in terms of energy dissipation and showed that minimum dynamic energy dissipation [...] Read more.
We apply minimum kinetic energy principles from classic mechanics to heterogeneous porous media flow equations to derive and evaluate rotational flow components to determine bounding homogenous representations. Kelvin characterized irrotational motions in terms of energy dissipation and showed that minimum dynamic energy dissipation occurs if the motion is irrotational; i.e., a homogeneous flow system. For porous media flow, reductions in rotational flow represent heterogeneity reductions. At the limit, a homogeneous system, flow is irrotational. Using these principles, we can find a homogenous system that bounds a more complex heterogeneous system. We present mathematics for using the minimum energy principle to describe flow in heterogeneous porous media along with reduced special cases with the necessary bounding and associated scale-up equations. The first, simple derivation involves no boundary differences and gives results based on direct Kelvin-type minimum energy principles. It provides bounding criteria, but yields only a single ultimate scale-up. We present an extended derivation that considers differing boundaries, which may occur between scale-up elements. This approach enables a piecewise less heterogeneous representation to bound the more heterogeneous system. It provides scale-up flexibility for individual model elements with differing sizes, and shapes and supports a more accurate representation of material properties. We include a case study to illustrate bounding with a single direct scale-up. The case study demonstrates rigorous bounding and provides insight on using bounding flow to help understand heterogeneous systems. This work provides a theoretical basis for developing bounding models of flow systems. This provides a means to justify bounding conditions and results. Full article
Show Figures

Figure 1

12 pages, 2550 KB  
Article
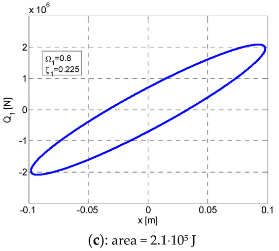
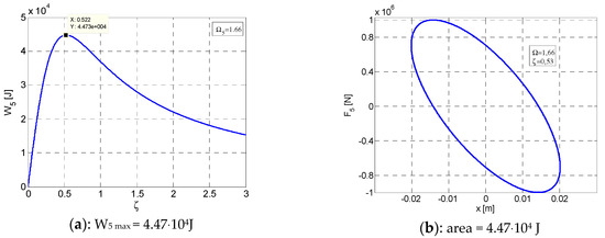
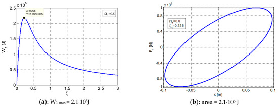
Hysteretic Loops in Correlation with the Maximum Dissipated Energy, for Linear Dynamic Systems
by Polidor Bratu
Symmetry 2019, 11(3), 315; https://doi.org/10.3390/sym11030315 - 2 Mar 2019
Cited by 13 | Viewed by 2750
Abstract
This paper presents the outcomes of the theoretical and experimental research carried out on a real model at natural scale using Voigt–Kelvin linear viscoelastic type m, c, and k models excited by a harmonic force F(t) = F [...] Read more.
This paper presents the outcomes of the theoretical and experimental research carried out on a real model at natural scale using Voigt–Kelvin linear viscoelastic type m, c, and k models excited by a harmonic force F(t) = F0 sinωt, where F0 is the amplitude of the harmonic force and ω is the excitation angular frequency. The linear viscous-elastic rheological system (m, c, k) is characterized by the fact that the c linear viscous damping—and, consequently, the fraction of the critical damping ζ—may be changed so that the dissipated energy can reach maximum W d max values. The optimization condition between the W d max maximum dissipated energy and the amortization ζ 0 = ± ( 1 Ω 2 ) / 2 Ω modifies the structure of the relation F = F(x), which describes the elliptical hysteresis loop F–x in the sense that it has its large axis making an angle less than 90° with respect to the x-axis in Ω < 1 ante-resonance, and an angle greater than 90° in post-resonance for Ω > 1 . The elliptical Q–x hysteretic loops are tilted with their large axis only at angles below 90°. It can be noticed that the equality between the arias of the hysteretic loop, in the two representations systems Q–x and F–x, is verified, both being equal with the maximum dissipated energy W d max . Full article
Show Figures

Figure 1

31 pages, 6548 KB  
Article
Bloch Modes and Evanescent Modes of Photonic Crystals: Weak Form Solutions Based on Accurate Interface Triangulation
by Matthias Saba and Gerd E. Schröder-Turk
Crystals 2015, 5(1), 14-44; https://doi.org/10.3390/cryst5010014 - 5 Jan 2015
Cited by 21 | Viewed by 11481
Abstract
We propose a new approach to calculate the complex photonic band structure, both purely dispersive and evanescent Bloch modes of a finite range, of arbitrary three-dimensional photonic crystals. Our method, based on a well-established plane wave expansion and the weak form solution of [...] Read more.
We propose a new approach to calculate the complex photonic band structure, both purely dispersive and evanescent Bloch modes of a finite range, of arbitrary three-dimensional photonic crystals. Our method, based on a well-established plane wave expansion and the weak form solution of Maxwell’s equations, computes the Fourier components of periodic structures composed of distinct homogeneous material domains from a triangulated mesh representation of the inter-material interfaces; this allows substantially more accurate representations of the geometry of complex photonic crystals than the conventional representation by a cubic voxel grid. Our method works for general two-phase composite materials, consisting of bi-anisotropic materials with tensor-valued dielectric and magnetic permittivities ε and μ and coupling matrices ς. We demonstrate for the Bragg mirror and a simple cubic crystal closely related to the Kelvin foam that relatively small numbers of Fourier components are sufficient to yield good convergence of the eigenvalues, making this method viable, despite its computational complexity. As an application, we use the single gyroid crystal to demonstrate that the consideration of both conventional and evanescent Bloch modes is necessary to predict the key features of the reflectance spectrum by analysis of the band structure, in particular for light incident along the cubic [111] direction. Full article
(This article belongs to the Special Issue Photonic Crystals)
Show Figures

Back to TopTop