Sign in to use this feature.

Years

Between: -

Subjects

remove_circle_outline
remove_circle_outline
remove_circle_outline
remove_circle_outline

Journals

Article Types

Countries / Regions

Search Results (7)

Search Parameters:
Keywords = IDA mice

Order results
Result details
Results per page
Select all
Export citation of selected articles as:
14 pages, 4399 KB  
Article
Theranostic Role of Iron Oxide Nanoparticle for Treating Renal Anemia: Evidence of Efficacy and Significance by MRI, Histology and Biomarkers
by Jong-Kai Hsiao, Chih-Lung Chen, Wen-Yuan Hsieh and Ko-Lin Kuo
Pharmaceutics 2023, 15(6), 1714; https://doi.org/10.3390/pharmaceutics15061714 - 12 Jun 2023
Cited by 4 | Viewed by 2667
Abstract
(1) Background: Increasing attention has been given to applying nanosized iron oxide nanoparticles (IOPs) to treat iron deficiency anemia (IDA). Chronic kidney disease (CKD) patients who suffer from IDA often need long-term iron supplements. We aim to evaluate the safety and therapeutic effect [...] Read more.
(1) Background: Increasing attention has been given to applying nanosized iron oxide nanoparticles (IOPs) to treat iron deficiency anemia (IDA). Chronic kidney disease (CKD) patients who suffer from IDA often need long-term iron supplements. We aim to evaluate the safety and therapeutic effect of MPB-1523, a novel IOPs, in anemic CKD mice and to monitor iron storage by magnetic resonance (MR) imaging. (2) Methods: MPB-1523 was intraperitoneally delivered to the CKD and sham mice, and blood were collected for hematocrit, iron storage, cytokine assays, and MR imaging throughout the study. (3) Results: The hematocrit levels of CKD and sham mice dropped initially but increased gradually to reach a steady value 60 days after IOP injection. The body iron storage indicator, ferritin gradually rose and total iron-binding capacity stabilized 30 days after IOP injection. No significant inflammation or oxidative stress were observed in both groups. By T2-weighted MR imaging, the liver signal intensity gradually increased in both groups but was more pronounced in the CKD group, indicating aggressive utilization of MPB-1523. MR imaging, histology and electron microscopy showed MPB-1523 is liver-specific. (4) Conclusions: MPB-1523 can serve as a long-term iron supplement and is monitored by MR imaging. Our results have strong translatability to the clinic. Full article
(This article belongs to the Collection Feature Papers in Nanomedicine and Nanotechnology)
Show Figures

Figure 1

18 pages, 6123 KB  
Article
Iron Complexes with Antarctic Krill–Derived Peptides Show Superior Effectiveness to Their Original Protein–Iron Complexes in Mice with Iron Deficiency Anemia
by Shengjie Hu, Songyi Lin, Qi Feng, Xueqing He, Haowei Xu, Lei Chen and Na Sun
Nutrients 2023, 15(11), 2510; https://doi.org/10.3390/nu15112510 - 28 May 2023
Cited by 7 | Viewed by 3176
Abstract
Antarctic krill protein–iron complex and peptide–iron complex were acquired to investigate their iron bioavailability, expression of iron-regulated genes, and in vivo antioxidant capacity. Results indicated that the Antarctic krill peptide–iron complex significantly increased the hemoglobin (Hb), serum iron (SI), and iron contents in [...] Read more.
Antarctic krill protein–iron complex and peptide–iron complex were acquired to investigate their iron bioavailability, expression of iron-regulated genes, and in vivo antioxidant capacity. Results indicated that the Antarctic krill peptide–iron complex significantly increased the hemoglobin (Hb), serum iron (SI), and iron contents in the liver and spleen in iron-deficiency anemia (IDA) mice (p < 0.05) compared with those of the Antarctic krill protein–iron complex. Despite the gene expressions of the divalent metal transporter 1(DMT1), the transferrin (Tf), and the transferrin receptor (TfR) being better regulated by both Antarctic krill peptide–iron complex and protein–iron complex, the relative iron bioavailability of the Antarctic krill peptide–iron complex group (152.53 ± 21.05%) was significantly higher than that of the protein–iron complex group (112.75 ± 9.60%) (p < 0.05). Moreover, Antarctic krill peptide–iron complex could enhance the antioxidant enzyme activities of superoxidase dismutase (SOD) and glutathione peroxidase (GSH-Px), reduce the malondialdehyde (MDA) level in IDA mice compared with the protein–iron complex, and reduce the cell damage caused by IDA. Therefore, these results indicated that Antarctic krill peptide–iron complex could be used as a highly efficient and multifunctional iron supplement. Full article
(This article belongs to the Topic Future Foods from the Sea)
Show Figures

Figure 1

20 pages, 2190 KB  
Article
Comparative Evaluation of Sucrosomial Iron and Iron Oxide Nanoparticles as Oral Supplements in Iron Deficiency Anemia in Piglets
by Rafał Mazgaj, Paweł Lipiński, Mateusz Szudzik, Aneta Jończy, Zuzanna Kopeć, Adrian M. Stankiewicz, Marian Kamyczek, Dorine Swinkels, Beata Żelazowska and Rafał R. Starzyński
Int. J. Mol. Sci. 2021, 22(18), 9930; https://doi.org/10.3390/ijms22189930 - 14 Sep 2021
Cited by 17 | Viewed by 6984
Abstract
Iron deficiency is the most common mammalian nutritional disorder. However, among mammalian species iron deficiency anemia (IDA), occurs regularly only in pigs. To cure IDA, piglets are routinely injected with high amounts of iron dextran (FeDex), which can lead to perturbations in iron [...] Read more.
Iron deficiency is the most common mammalian nutritional disorder. However, among mammalian species iron deficiency anemia (IDA), occurs regularly only in pigs. To cure IDA, piglets are routinely injected with high amounts of iron dextran (FeDex), which can lead to perturbations in iron homeostasis. Here, we evaluate the therapeutic efficacy of non-invasive supplementation with Sucrosomial iron (SI), a highly bioavailable iron supplement preventing IDA in humans and mice and various iron oxide nanoparticles (IONPs). Analysis of red blood cell indices and plasma iron parameters shows that not all iron preparations used in the study efficiently counteracted IDA comparable to FeDex-based supplementation. We found no signs of iron toxicity of any tested iron compounds, as evaluated based on the measurement of several toxicological markers that could indicate the occurrence of oxidative stress or inflammation. Neither SI nor IONPs increased hepcidin expression with alterations in ferroportin (FPN) protein level. Finally, the analysis of the piglet gut microbiota indicates the individual pattern of bacterial diversity across taxonomic levels, independent of the type of supplementation. In light of our results, SI but not IONPs used in the experiment emerges as a promising nutritional iron supplement, with a high potential to correct IDA in piglets. Full article
(This article belongs to the Special Issue Molecular Mechanisms of Trace Elements Metabolism)
Show Figures

Figure 1

13 pages, 2319 KB  
Article
Oral Ferric Maltol Does Not Adversely Affect the Intestinal Microbiome of Patients or Mice, but Ferrous Sulphate Does
by Awad Mahalhal, Alessandra Frau, Michael D. Burkitt, Umer Z. Ijaz, Christopher A. Lamb, John C. Mansfield, Stephen Lewis, D. Mark Pritchard and Chris S. Probert
Nutrients 2021, 13(7), 2269; https://doi.org/10.3390/nu13072269 - 30 Jun 2021
Cited by 14 | Viewed by 4933
Abstract
Background and Aims: Altering dietary ferrous sulphate (FS) consumption exacerbates a murine model of colitis and alters the intestinal microbiome. We investigated the impact of oral ferric maltol (FM) and FS on mice with dextran sodium sulphate (DSS) induced colitis, and the microbiome [...] Read more.
Background and Aims: Altering dietary ferrous sulphate (FS) consumption exacerbates a murine model of colitis and alters the intestinal microbiome. We investigated the impact of oral ferric maltol (FM) and FS on mice with dextran sodium sulphate (DSS) induced colitis, and the microbiome of patients with iron deficiency. Methods: Mice had acute colitis induced, with 2% DSS for 5 days, followed by water. During this period, groups of mice were fed standard chow (200 ppm iron, SC, n = 8), or SC with 200ppm FS supplementation (n = 16, FSS), or SC with 200 ppm FM supplementation (n = 16, FMS). Clinical, pathological and microbiome assessments were compared at days 1 and 10. Fecal bacterial gDNA was extracted and the microbiome assessed by sequencing. Statistical inferences were made using MacQIIME. Principal Coordinates Analysis were used to visualize beta-diversity cluster analysis. Ten patients with IDA were treated with FS, and six with inactive inflammatory bowel disease received FM, supplements for four weeks: pre- and mid-treatment fecal samples were collected: the microbiome was assessed (see above). Results: In mice, after DSS treatment, there was a decrease in many genera in the SC and FSS groups: Lactobacillales increased in mice that received FMS. In humans, FS treatment led to an increase in five genera, but FM was not associated with any measurable change. The severity of DSS-induced colitis was greater with FSS than FMS. Conclusions: This study demonstrates differential and unique influences of ferric maltol and ferrous sulphate supplements on intestinal microbiota. These differences might contribute to the different side effects associated with these preparations. Full article
Show Figures

Figure 1

15 pages, 3450 KB  
Article
Metabolite Profiling and Characterization of LW6, a Novel HIF-1α Inhibitor, as an Antitumor Drug Candidate in Mice
by Kiho Lee, Ji-Yoon Lee, Kyeong Lee, Cho-Rock Jung, Min Ju Kim, Jung Ah Kim, Dong Gu Yoo, Eun Jin Shin and Soo Jin Oh
Molecules 2021, 26(7), 1951; https://doi.org/10.3390/molecules26071951 - 30 Mar 2021
Cited by 4 | Viewed by 2760
Abstract
A novel HIF (hypoxia-inducible factor)-1α inhibitor, the (aryloxyacetylamino)benzoic acid derivative LW6, is an anticancer agent that inhibits the accumulation of HIF-1α. The aim of this study was to characterize and determine the structures of the metabolites of LW6 in ICR mice. Metabolite identification [...] Read more.
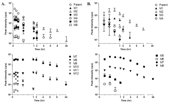
A novel HIF (hypoxia-inducible factor)-1α inhibitor, the (aryloxyacetylamino)benzoic acid derivative LW6, is an anticancer agent that inhibits the accumulation of HIF-1α. The aim of this study was to characterize and determine the structures of the metabolites of LW6 in ICR mice. Metabolite identification was performed using a predictive multiple reaction monitoring-information dependent acquisition-enhanced product ion (pMRM-IDA-EPI) method in negative ion mode on a hybrid triple quadrupole-linear ion trap mass spectrometer (QTRAP). A total of 12 metabolites were characterized based on their MS/MS spectra, and the retention times were compared with those of the parent compound. The metabolites were divided into five structural classes based on biotransformation reactions: amide hydrolysis, ester hydrolysis, mono-oxidation, glucuronidation, and a combination of these reactions. From this study, 2-(4-((3r,5r,7r)-adamantan-1-yl)phenoxy)acetic acid (APA, M7), the metabolite produced via amide hydrolysis, was found to be a major circulating metabolite of LW6 in mice. The results of this study can be used to improve the pharmacokinetic profile by lowering the clearance and increasing the exposure relative to LW6. Full article
Show Figures

Figure 1

21 pages, 3825 KB  
Article
Profiling and Identification of Omeprazole Metabolites in Mouse Brain and Plasma by Isotope Ratio-Monitoring Liquid Chromatography-Mass Spectrometric Method
by Seok-Ho Shin, Yuri Park, Min-Ho Park, Jin-Ju Byeon, Byeong ill Lee, Jangmi Choi and Young G. Shin
Life 2020, 10(7), 115; https://doi.org/10.3390/life10070115 - 19 Jul 2020
Cited by 8 | Viewed by 5560
Abstract
Neuro–inflammation is known to be one of the pathogenesis for the degenerative central nervous system (CNS) disease. Recently various approaches for the treatment of brain diseases by controlling neuro-inflammation in the brain have been introduced. In this respect, there is a continuous demand [...] Read more.
Neuro–inflammation is known to be one of the pathogenesis for the degenerative central nervous system (CNS) disease. Recently various approaches for the treatment of brain diseases by controlling neuro-inflammation in the brain have been introduced. In this respect, there is a continuous demand for CNS drugs, which could be safer and more effective. Omeprazole, a well-known proton-pump inhibitor (PPI) is generally prescribed for the treatment of peptic ulcer. In addition to the anti-gastric acid secretion mechanism, recent studies showed that omeprazole or PPIs would likely have anti-inflammation effects in vitro and in vivo, but their effects on anti-inflammation in brain are still unknown. In this study, omeprazole and its metabolites in a mouse’s brain after various routes of administration have been explored by stable isotope ratio-patterning liquid chromatography–mass spectrometric method. First, a simple liquid chromatography–mass spectrometric (LC–MS) method was established for the quantification of omeprazole in mouse plasma and brain. After that, omeprazole and its stable isotope (D3–omeprazole) were concomitantly administered through various routes to mice in order to identify novel metabolites characteristically observed in the mouse brain and were analyzed using a different LC–MS method with information-dependent analysis (IDA) scan. With this unique approach, several new metabolites of omeprazole were identified by the mass difference between omeprazole and stable isotope in both brain and plasma samples. A total of seventeen metabolites were observed, and the observed metabolites were different from each administration route or each matrix (brain or plasma). The brain pharmacokinetic profiles and brain-to-plasma partition coefficient (Kp) were also evaluated in a satellite study. Overall, these results provide better insights to understand the CNS-related biological effects of omeprazole and its metabolites in vivo. Full article
(This article belongs to the Special Issue Drug Metabolism and Pharmacokinetics 2020)
Show Figures

Figure 1

10 pages, 1277 KB  
Article
Expression, Purification and Bioactivities Analysis of Recombinant Active Peptide from Shark Liver
by Zhengbing Lv, Yu Ou, Qian Li, Wenping Zhang, Boping Ye and Wutong Wu
Mar. Drugs 2009, 7(2), 258-267; https://doi.org/10.3390/md7020258 - 22 Jun 2009
Cited by 13 | Viewed by 10970
Abstract
The Active Peptide from Shark Liver (APSL) was expressed in E. coli BL21 cells. The cDNA encoding APSL protein was obtained from shark regenerated hepatic tissue by RT-PCR, then it was cloned in the pET-28a expression vector. The expressed fusion protein was purified [...] Read more.
The Active Peptide from Shark Liver (APSL) was expressed in E. coli BL21 cells. The cDNA encoding APSL protein was obtained from shark regenerated hepatic tissue by RT-PCR, then it was cloned in the pET-28a expression vector. The expressed fusion protein was purified by Ni-IDA affinity chromatography. SDS-PAGE and HPLC analysis showed the purity of the purified fusion protein was more than 98%. The recombinant APSL (rAPSL) was tested for its biological activity both in vitro, by its ability to improve the proliferation of SMMC7721 cells, and in vivo, by its significant protective effects against acute hepatic injury induced by CCl4 and AAP (acetaminophen) in mice. In addition, the rAPSL could decrease the blood glucose concentration of mice with diabetes mellitus induced by alloxan. Paraffin sections of mouse pancreas tissues showed that rAPSL (3 mg/kg) could effectively protect mouse islets from lesions induced by alloxan, which indicated its potential application in theoretical research and industry. Full article
(This article belongs to the Special Issue Alkaloid Analogs)
Show Figures

Back to TopTop