Sign in to use this feature.

Years

Between: -

Subjects

remove_circle_outline
remove_circle_outline
remove_circle_outline
remove_circle_outline
remove_circle_outline

Journals

Article Types

Countries / Regions

Search Results (10)

Search Parameters:
Keywords = Hermite radial basis function

Order results
Result details
Results per page
Select all
Export citation of selected articles as:
18 pages, 1027 KB  
Article
Hermite Finite Difference Through Kernel Approximations to Efficiently Solve Nonlinear Black-Scholes Model
by Shuai Wang, Jiameihui Zhu and Tao Liu
Mathematics 2025, 13(17), 2727; https://doi.org/10.3390/math13172727 - 25 Aug 2025
Viewed by 658
Abstract
We develop a high-order compact numerical scheme for solving a nonlinear Black–Scholes equation arising in option pricing under transaction costs. By leveraging a Hermite-enhanced Radial Basis Function-Finite Difference (RBF-HFD) method with three-point stencils, we achieve fourth-order spatial accuracy. The fully nonlinear PDE, driven [...] Read more.
We develop a high-order compact numerical scheme for solving a nonlinear Black–Scholes equation arising in option pricing under transaction costs. By leveraging a Hermite-enhanced Radial Basis Function-Finite Difference (RBF-HFD) method with three-point stencils, we achieve fourth-order spatial accuracy. The fully nonlinear PDE, driven by Gamma-dependent volatility models, is discretized via RBF-HFD in space and integrated using an explicit sixth-order Runge–Kutta scheme. Numerical results confirm the proposed method’s accuracy, stability, and its capability to capture sharp gradient behavior near strike prices. Full article
(This article belongs to the Special Issue Research on Mathematical Modeling and Prediction of Financial Risks)
Show Figures

Figure 1

13 pages, 1882 KB  
Article
Efficient Fourth-Order Weights in Kernel-Type Methods without Increasing the Stencil Size with an Application in a Time-Dependent Fractional PDE Problem
by Tao Liu and Stanford Shateyi
Mathematics 2024, 12(7), 1121; https://doi.org/10.3390/math12071121 - 8 Apr 2024
Cited by 4 | Viewed by 1815
Abstract
An effective strategy to enhance the convergence order of nodal approximations in interpolation or PDE problems is to increase the size of the stencil, albeit at the cost of increased computational burden. In this study, our goal is to improve the convergence orders [...] Read more.
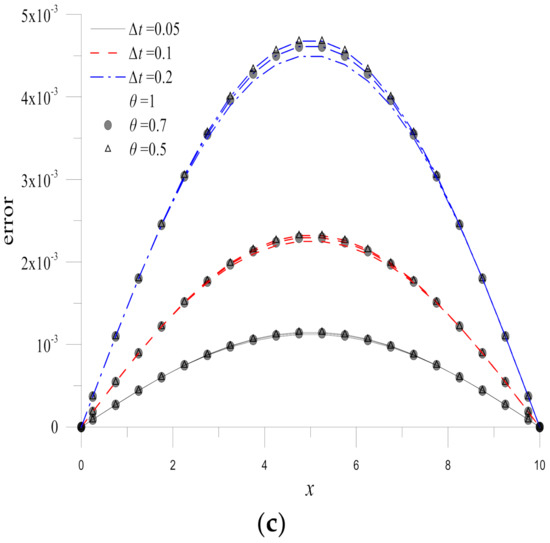
An effective strategy to enhance the convergence order of nodal approximations in interpolation or PDE problems is to increase the size of the stencil, albeit at the cost of increased computational burden. In this study, our goal is to improve the convergence orders for approximating the first and second derivatives of sufficiently differentiable functions using the radial basis function-generated Hermite finite-difference (RBF-HFD) scheme. By utilizing only three equally spaced points in 1D, we are able to boost the convergence rate to four. Extensive tests have been conducted to demonstrate the effectiveness of the proposed theoretical weighting coefficients in solving interpolation and PDE problems. Full article
(This article belongs to the Special Issue Computational Mathematics and Numerical Analysis)
Show Figures

Figure 1

28 pages, 9863 KB  
Article
Machine Learning Application of Generalized Gaussian Radial Basis Function and Its Reproducing Kernel Theory
by Himanshu Singh
Mathematics 2024, 12(6), 829; https://doi.org/10.3390/math12060829 - 12 Mar 2024
Cited by 7 | Viewed by 4494
Abstract
Gaussian Radial Basis Function Kernels are the most-often-employed kernel function in artificial intelligence for providing the optimal results in contrast to their respective counterparts. However, our understanding surrounding the utilization of the Generalized Gaussian Radial Basis Function across different machine learning algorithms, such [...] Read more.
Gaussian Radial Basis Function Kernels are the most-often-employed kernel function in artificial intelligence for providing the optimal results in contrast to their respective counterparts. However, our understanding surrounding the utilization of the Generalized Gaussian Radial Basis Function across different machine learning algorithms, such as kernel regression, support vector machines, and pattern recognition via neural networks is incomplete. The results delivered by the Generalized Gaussian Radial Basis Function Kernel in the previously mentioned applications remarkably outperforms those of the Gaussian Radial Basis Function Kernel, the Sigmoid function, and the ReLU function in terms of accuracy and misclassification. This article provides a concrete illustration of the utilization of the Generalized Gaussian Radial Basis Function Kernel as mentioned earlier. We also provide an explicit description of the reproducing kernel Hilbert space by embedding the Generalized Gaussian Radial Basis Function as an L2measure, which is utilized in implementing the analysis support vector machine. Finally, we provide the conclusion that we draw from the empirical experiments considered in the manuscript along with the possible future directions in terms of spectral decomposition of the Generalized Gaussian Radial Basis Function. Full article
(This article belongs to the Section E1: Mathematics and Computer Science)
Show Figures

Figure 1

16 pages, 4701 KB  
Article
Integrating a Stabilized Radial Basis Function Method with Lattice Boltzmann Method
by Saleh A. Bawazeer, Saleh S. Baakeem and Abdulmajeed A. Mohamad
Mathematics 2022, 10(3), 501; https://doi.org/10.3390/math10030501 - 4 Feb 2022
Cited by 1 | Viewed by 2321
Abstract
The lattice Boltzmann method (LBM) has two key steps: collision and streaming. In a conventional LBM, the streaming is exact, where each distribution function is perfectly shifted to the neighbor node on the uniform mesh arrangement. This advantage may curtail the applicability of [...] Read more.
The lattice Boltzmann method (LBM) has two key steps: collision and streaming. In a conventional LBM, the streaming is exact, where each distribution function is perfectly shifted to the neighbor node on the uniform mesh arrangement. This advantage may curtail the applicability of the method to problems with complex geometries. To overcome this issue, a high-order meshless interpolation-based approach is proposed to handle the streaming step. Owing to its high accuracy, the radial basis function (RBF) is one of the popular methods used for interpolation. In general, RBF-based approaches suffer from some stability issues, where their stability strongly depends on the shape parameter of the RBF. In the current work, a stabilized RBF approach is used to handle the streaming. The stabilized RBF approach has a weak dependency on the shape parameter, which improves the stability of the method and reduces the dependency of the shape parameter. Both the stabilized RBF method and the streaming of the LBM are used for solving three benchmark problems. The results of the stabilized method and the perfect streaming LBM are compared with analytical solutions or published results. Excellent agreements are observed, with a little advantage for the stabilized approach. Additionally, the computational cost is compared, where a marginal difference is observed in the favor of the streaming of the LBM. In conclusion, one could report that the stabilized method is a viable alternative to the streaming of the LBM in handling both simple and complex geometries. Full article
Show Figures

Figure 1

20 pages, 18592 KB  
Article
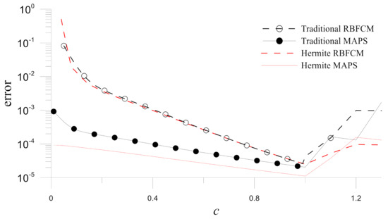
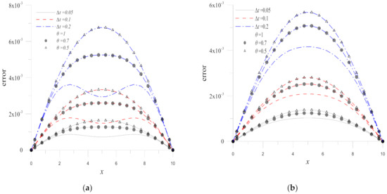
Hermite Method of Approximate Particular Solutions for Solving Time-Dependent Convection-Diffusion-Reaction Problems
by Jen-Yi Chang, Ru-Yun Chen and Chia-Cheng Tsai
Mathematics 2022, 10(2), 188; https://doi.org/10.3390/math10020188 - 7 Jan 2022
Cited by 5 | Viewed by 1987
Abstract
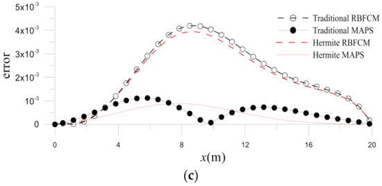
This article describes the development of the Hermite method of approximate particular solutions (MAPS) to solve time-dependent convection-diffusion-reaction problems. Using the Crank-Nicholson or the Adams-Moulton method, the time-dependent convection-diffusion-reaction problem is converted into time-independent convection-diffusion-reaction problems for consequent time steps. At each time [...] Read more.
This article describes the development of the Hermite method of approximate particular solutions (MAPS) to solve time-dependent convection-diffusion-reaction problems. Using the Crank-Nicholson or the Adams-Moulton method, the time-dependent convection-diffusion-reaction problem is converted into time-independent convection-diffusion-reaction problems for consequent time steps. At each time step, the source term of the time-independent convection-diffusion-reaction problem is approximated by the multiquadric (MQ) particular solution of the biharmonic operator. This is inspired by the Hermite radial basis function collocation method (RBFCM) and traditional MAPS. Therefore, the resultant system matrix is symmetric. Comparisons are made for the solutions of the traditional/Hermite MAPS and RBFCM. The results demonstrate that the Hermite MAPS is the most accurate and stable one for the shape parameter. Finally, the proposed method is applied for solving a nonlinear time-dependent convection-diffusion-reaction problem. Full article
(This article belongs to the Section E: Applied Mathematics)
Show Figures

Figure 1

18 pages, 4191 KB  
Article
New Approach for Radial Basis Function Based on Partition of Unity of Taylor Series Expansion with Respect to Shape Parameter
by Saleh A. Bawazeer, Saleh S. Baakeem and Abdulmajeed A. Mohamad
Algorithms 2021, 14(1), 1; https://doi.org/10.3390/a14010001 - 22 Dec 2020
Cited by 9 | Viewed by 3877
Abstract
Radial basis function (RBF) is gaining popularity in function interpolation as well as in solving partial differential equations thanks to its accuracy and simplicity. Besides, RBF methods have almost a spectral accuracy. Furthermore, the implementation of RBF-based methods is easy and does not [...] Read more.
Radial basis function (RBF) is gaining popularity in function interpolation as well as in solving partial differential equations thanks to its accuracy and simplicity. Besides, RBF methods have almost a spectral accuracy. Furthermore, the implementation of RBF-based methods is easy and does not depend on the location of the points and dimensionality of the problems. However, the stability and accuracy of RBF methods depend significantly on the shape parameter, which is primarily impacted by the basis function and the node distribution. At a small value of shape parameter, the RBF becomes more accurate, but unstable. Several approaches were followed in the open literature to overcome the instability issue. One of the approaches is optimizing the solver in order to improve the stability of ill-conditioned matrices. Another approach is based on searching for the optimal value of the shape parameter. Alternatively, modified bases are used to overcome instability. In the open literature, radial basis function using QR factorization (RBF-QR), stabilized expansion of Gaussian radial basis function (RBF-GA), rational radial basis function (RBF-RA), and Hermite-based RBFs are among the approaches used to change the basis. In this paper, the Taylor series is used to expand the RBF with respect to the shape parameter. Our analyses showed that the Taylor series alone is not sufficient to resolve the stability issue, especially away from the reference point of the expansion. Consequently, a new approach is proposed based on the partition of unity (PU) of RBF with respect to the shape parameter. The proposed approach is benchmarked. The method ensures that RBF has a weak dependency on the shape parameter, thereby providing a consistent accuracy for interpolation and derivative approximation. Several benchmarks are performed to assess the accuracy of the proposed approach. The novelty of the present approach is in providing a means to achieve a reasonable accuracy for RBF interpolation without the need to pinpoint a specific value for the shape parameter, which is the case for the original RBF interpolation. Full article
Show Figures

Figure 1

18 pages, 582 KB  
Article
A New Radial Basis Function Approach Based on Hermite Expansion with Respect to the Shape Parameter
by Saleh Abobakur Bawazeer, Saleh Saeed Baakeem and Abdulmajeed Mohamad
Mathematics 2019, 7(10), 979; https://doi.org/10.3390/math7100979 - 16 Oct 2019
Cited by 6 | Viewed by 4420
Abstract
Owing to its high accuracy, the radial basis function (RBF) is gaining popularity in function interpolation and for solving partial differential equations (PDEs). The implementation of RBF methods is independent of the locations of the points and the dimensionality of the problems. However, [...] Read more.
Owing to its high accuracy, the radial basis function (RBF) is gaining popularity in function interpolation and for solving partial differential equations (PDEs). The implementation of RBF methods is independent of the locations of the points and the dimensionality of the problems. However, the stability and accuracy of RBF methods depend significantly on the shape parameter, which is mainly affected by the basis function and the node distribution. If the shape parameter has a small value, then the RBF becomes accurate but unstable. Several approaches have been proposed in the literature to overcome the instability issue. Changing or expanding the radial basis function is one of the most commonly used approaches because it addresses the stability problem directly. However, the main issue with most of those approaches is that they require the optimization of additional parameters, such as the truncation order of the expansion, to obtain the desired accuracy. In this work, the Hermite polynomial is used to expand the RBF with respect to the shape parameter to determine a stable basis, even when the shape parameter approaches zero, and the approach does not require the optimization of any parameters. Furthermore, the Hermite polynomial properties enable the RBF to be evaluated stably even when the shape parameter equals zero. The proposed approach was benchmarked to test its reliability, and the obtained results indicate that the accuracy is independent of or weakly dependent on the shape parameter. However, the convergence depends on the order of the truncation of the expansion. Additionally, it is observed that the new approach improves accuracy and yields the accurate interpolation, derivative approximation, and PDE solution. Full article
Show Figures

Figure 1

15 pages, 5690 KB  
Article
Implicit 3D Modeling of Ore Body from Geological Boreholes Data Using Hermite Radial Basis Functions
by Jinmiao Wang, Hui Zhao, Lin Bi and Liguan Wang
Minerals 2018, 8(10), 443; https://doi.org/10.3390/min8100443 - 10 Oct 2018
Cited by 33 | Viewed by 8951
Abstract
Modeling ore body in 3D is the basis of digital intelligent mining. However, most existing three-dimensional mining software uses the contour approach that requires too much man–machine interaction and difficult partial updating. Moreover, accounting for uncertainty and low geometric quality picking is very [...] Read more.
Modeling ore body in 3D is the basis of digital intelligent mining. However, most existing three-dimensional mining software uses the contour approach that requires too much man–machine interaction and difficult partial updating. Moreover, accounting for uncertainty and low geometric quality picking is very difficult in the direct contour approach. Therefore, an implicit modeling approach to automatically build the three-dimensional model for ore body by means of spatial interpolation directly based on the geological borehole data with Hermite radial basis function (HRBF) algorithm as the core is proposed. Furthermore, in order to solve the problems of weak continuity of models due to the long-distance original boreholes as well as the boundary-point normal solution error, the densification of original borehole data with the virtual borehole as well as the calculation of point-cloud normal direction based on the adjacent hole-drilling method is proposed. The verification of two mine engineering projects and comparison with the explicit modeling results show that this approach could realize the automatic building of three-dimensional models for the ore body with high geometric quality, timely update and accurate results. Full article
(This article belongs to the Section Mineral Deposits)
Show Figures

Figure 1

16 pages, 2167 KB  
Article
Rapid Interactive and Intuitive Segmentation of 3D Medical Images Using Radial Basis Function Interpolation
by Tanja Kurzendorfer, Peter Fischer, Negar Mirshahzadeh, Thomas Pohl, Alexander Brost, Stefan Steidl and Andreas Maier
J. Imaging 2017, 3(4), 56; https://doi.org/10.3390/jimaging3040056 - 30 Nov 2017
Cited by 7 | Viewed by 6479
Abstract
Segmentation is one of the most important parts of medical image analysis. Manual segmentation is very cumbersome, time-consuming, and prone to inter-observer variability. Fully automatic segmentation approaches require a large amount of labeled training data and may fail in difficult or abnormal cases. [...] Read more.
Segmentation is one of the most important parts of medical image analysis. Manual segmentation is very cumbersome, time-consuming, and prone to inter-observer variability. Fully automatic segmentation approaches require a large amount of labeled training data and may fail in difficult or abnormal cases. In this work, we propose a new method for 2D segmentation of individual slices and 3D interpolation of the segmented slices. The Smart Brush functionality quickly segments the region of interest in a few 2D slices. Given these annotated slices, our adapted formulation of Hermite radial basis functions reconstructs the 3D surface. Effective interactions with less number of equations accelerate the performance and, therefore, a real-time and an intuitive, interactive segmentation of 3D objects can be supported effectively. The proposed method is evaluated on 12 clinical 3D magnetic resonance imaging data sets and are compared to gold standard annotations of the left ventricle from a clinical expert. The automatic evaluation of the 2D Smart Brush resulted in an average Dice coefficient of 0.88 ± 0.09 for the individual slices. For the 3D interpolation using Hermite radial basis functions, an average Dice coefficient of 0.94 ± 0.02 is achieved. Full article
(This article belongs to the Special Issue Selected Papers from “MIUA 2017”)
Show Figures

Graphical abstract

17 pages, 3078 KB  
Article
Towards Automatic and Topologically Consistent 3D Regional Geological Modeling from Boundaries and Attitudes
by Jiateng Guo, Lixin Wu, Wenhui Zhou, Jizhou Jiang and Chaoling Li
ISPRS Int. J. Geo-Inf. 2016, 5(2), 17; https://doi.org/10.3390/ijgi5020017 - 17 Feb 2016
Cited by 40 | Viewed by 7635
Abstract
Three-dimensional (3D) geological models are important representations of the results of regional geological surveys. However, the process of constructing 3D geological models from two-dimensional (2D) geological elements remains difficult and is not necessarily robust. This paper proposes a method of migrating from 2D [...] Read more.
Three-dimensional (3D) geological models are important representations of the results of regional geological surveys. However, the process of constructing 3D geological models from two-dimensional (2D) geological elements remains difficult and is not necessarily robust. This paper proposes a method of migrating from 2D elements to 3D models. First, the geological interfaces were constructed using the Hermite Radial Basis Function (HRBF) to interpolate the boundaries and attitude data. Then, the subsurface geological bodies were extracted from the spatial map area using the Boolean method between the HRBF surface and the fundamental body. Finally, the top surfaces of the geological bodies were constructed by coupling the geological boundaries to digital elevation models. Based on this workflow, a prototype system was developed, and typical geological structures (e.g., folds, faults, and strata) were simulated. Geological modes were constructed through this workflow based on realistic regional geological survey data. The model construction process was rapid, and the resulting models accorded with the constraints of the original data. This method could also be used in other fields of study, including mining geology and urban geotechnical investigations. Full article
(This article belongs to the Special Issue Multi-Dimensional Spatial Data Modeling)
Show Figures

Figure 1

Back to TopTop