Efficient Fourth-Order Weights in Kernel-Type Methods without Increasing the Stencil Size with an Application in a Time-Dependent Fractional PDE Problem
Abstract
1. Introduction
1.1. Goals
1.2. Background and Challenges
1.3. Motivation
1.4. Structure
2. RBF-HFD Formulations
3. Finding the Coefficients and the Solution Scheme
4. The Advantage of the Analytical Coefficients
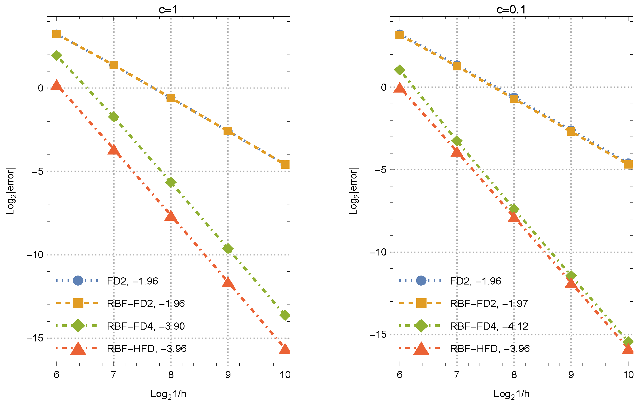
Checking the Rate of Convergence
5. A PDE Problem
6. Conclusions
Author Contributions
Funding
Data Availability Statement
Conflicts of Interest
Appendix A
References
- Fasshauer, G.E. Meshfree Approximation Methods with Matlab; World Scientific, 5 Toh Tuck Link: Singapore, 2007. [Google Scholar]
- Fornberg, B.; Flyer, N. Solving PDEs with radial basis functions. Acta Numer. 2015, 24, 215–258. [Google Scholar] [CrossRef]
- Iske, A. Multiresolution Methods in Scattered Data Modelling, Lecture Notes in Computational Science and Engineering; Springer: Heidelberg, Germany, 2004; Volume 37. [Google Scholar]
- Babayar-Razlighi, B. Numerical solution of an influenza model with vaccination and antiviral treatment by the Newton-Chebyshev polynomial method. J. Math. Model. 2023, 11, 103–116. [Google Scholar]
- Ebrahimijahan, A.; Dehghan, M.; Abbaszadeh, M. Simulation of the incompressible Navier-Stokes via integrated radial basis function based on finite difference scheme. Eng. Comput. 2022, 38, 5069–5090. [Google Scholar] [CrossRef]
- Itkin, A.; Soleymani, F. Four-factor model of quanto CDS with jumps-at-default and stochastic recovery. J. Comput. Sci. 2021, 54, 101434. [Google Scholar] [CrossRef]
- Keshavarzi, C.G.; Ghoreishi, F. Numerical solution of the Allen-Cahn equation by using shifted surface spline radial basis functions, Iran. Numer. Anal. Optim. 2020, 10, 177–196. [Google Scholar]
- Cavoretto, R.; Rossi, A.D. An adaptive residual sub-sampling algorithm for kernel interpolation based on maximum likelihood estimations. J. Comput. Appl. Math. 2023, 418, 114658. [Google Scholar] [CrossRef]
- Cavoretto, R.; Rossi, A.D.; Dell’Accio, F.; Tommaso, F.D.; Siar, N.; Sommariva, A.; Vianello, M. Numerical cubature on scattered data by adaptive interpolation. J. Comput. Appl. Math. 2024, 115793. [Google Scholar] [CrossRef]
- Soleymani, F.; Zhu, S. On a high-order Gaussian radial basis function generated Hermite finite difference method and its application. Calcolo 2021, 58, 50. [Google Scholar] [CrossRef]
- Yang, Y.; Soleymani, F.; Barfeie, M.; Tohidi, E. A radial basis function-Hermite finite difference approach to tackle cash–or–nothing and asset–or–nothing options. J. Comput. Appl. Math. 2020, 368, 112523. [Google Scholar] [CrossRef]
- Bayona, V. An insight into RBF-FD approximations augmented with polynomials. Comput. Math. Appl. 2019, 77, 2337–2353. [Google Scholar] [CrossRef]
- Sanyasiraju, Y.V.S.S.; Chandhini, G. Local radial basis function based gridfree scheme for unsteady incompressible viscous flows. J. Comput. Phys. 2008, 227, 8922–8948. [Google Scholar] [CrossRef]
- Tolstykh, A.I. On using radial basis functions in a “finite difference mode” with applications to elasticity problems. Comput. Mech. 2003, 33, 68–79. [Google Scholar] [CrossRef]
- Cheng, A.H.-D. Multiquadric and its shape parameter—A numerical investigation of error estimate, condition number, and round-off error by arbitrary precision computation. Eng. Anal. Bound. Elem. 2012, 36, 220–239. [Google Scholar] [CrossRef]
- Company, R.; Egorova, V.N.; Jódar, L.; Soleymani, F. A stable local radial basis function method for option pricing problem under the Bates model. Numer. Methods Partial. Differ. Equ. 2019, 35, 1035–1055. [Google Scholar] [CrossRef]
- Fornberg, B. An algorithm for calculating Hermite-based finite difference weights. IMA J. Numer. Anal. 2021, 41, 801–813. [Google Scholar] [CrossRef]
- Deshpande, V.M.; Bhattacharya, R.; Donzis, D.A. A unified framework to generate optimized compact finite difference schemes. J. Comput. Phys. 2021, 432, 110157. [Google Scholar] [CrossRef]
- Wright, G.B.; Fornberg, B. Scattered node compact finite difference-type formulas generated from radial basis functions. J. Comput. Phys. 2006, 212, 99–123. [Google Scholar] [CrossRef]
- Fornberg, B.; Flyer, N. A Primer on Radial Basis Functions with Applications to the Geosciences; SIAM: Philadelphia, PA, USA, 2015. [Google Scholar]
- Lele, S.K. Compact finite difference schemes with spectral-like resolution. J. Comput. Phys. 1992, 103, 16–42. [Google Scholar] [CrossRef]
- Collatz, L. The Numerical Treatment of Differential Equations, 3rd ed.; Springer: Berlin/Heidelberg, Germany, 1966. [Google Scholar]
- Soleymani, F.; Barfeie, M.; Khaksar Haghani, F. Inverse multi-quadric RBF for computing the weights of FD method: Application to American options. Commun. Nonlinear Sci. Numer. Simulat. 2018, 64, 74–88. [Google Scholar] [CrossRef]
- Jumarie, G. Derivation and solutions of some fractional Black-Scholes equations in coarse-grained space and time: Application to Merton’s optimal portfolio. Comput. Math. Appl. 2010, 59, 1142–1164. [Google Scholar] [CrossRef]
- Wyss, W. The fractional Black-Scholes equation. Fract. Calc. Appl. Anal. 2000, 3, 51–62. [Google Scholar]
- Hurst, H.E. Long-term storage capacity of reservoirs. Trans. Amer. Soc. Civil Eng. 1951, 116, 770–799. [Google Scholar] [CrossRef]
- Seydel, R.U. Tools for Computational Finance, 6th ed.; Springer: London, UK, 2017. [Google Scholar]
- Dai, X.; Ullah, Z.M. An efficient higher-order numerical scheme for solving fractional Black-Scholes PDE using analytical weights. Iran. J. Sci. 2024, 48, 423–435. [Google Scholar] [CrossRef]
- Zhang, H.; Liu, F.; Turner, I.; Yang, Q. Numerical solution of the time fractional Black-Scholes model governing European options. Comput. Math. Appl. 2016, 71, 1772–1783. [Google Scholar] [CrossRef]
- Song, Y.; Shateyi, S. Inverse multiquadric function to price financial options under the fractional Black-Scholes model. Fractal Fract. 2022, 6, 599. [Google Scholar] [CrossRef]
- Ruskeepää, H. Mathematica Navigator, 3rd ed.; Academic Press: Burlington, VT, USA, 2009. [Google Scholar]
- Georgakopoulos, N.L. Illustrating Finance Policy with Mathematica; Springer International Publishing: Cham, Switzerland, 2018. [Google Scholar]






| m,n | v | ||||||||
|---|---|---|---|---|---|---|---|---|---|
| FD2 | FD2 | FD2 | SSM | SSM | SSM | PM | PM | PM | |
| 10 | 16.070 | 2.1 × 100 | 0.01 | 17.378 | 8.1 × 10−1 | 0.01 | 17.612 | 5.7 × 10−1 | 0.01 |
| 20 | 17.889 | 2.9 × 10−1 | 0.02 | 17.694 | 4.9 × 10−1 | 0.02 | 17.991 | 1.9 × 10−1 | 0.03 |
| 40 | 17.913 | 2.7 × 10−1 | 0.16 | 18.003 | 1.8 × 10−1 | 0.18 | 18.152 | 3.6 × 10−2 | 0.30 |
| 80 | 18.039 | 1.4 × 10−1 | 3.96 | 18.213 | 2.4 × 10−2 | 3.84 | 18.181 | 7.3 × 10−3 | 4.94 |
| 120 | 18.055 | 1.3 × 10−1 | 20.02 | 18.190 | 1.6 × 10−3 | 20.96 | 18.188 | 3.5 × 10−4 | 23.41 |
Disclaimer/Publisher’s Note: The statements, opinions and data contained in all publications are solely those of the individual author(s) and contributor(s) and not of MDPI and/or the editor(s). MDPI and/or the editor(s) disclaim responsibility for any injury to people or property resulting from any ideas, methods, instructions or products referred to in the content. |
© 2024 by the authors. Licensee MDPI, Basel, Switzerland. This article is an open access article distributed under the terms and conditions of the Creative Commons Attribution (CC BY) license (https://creativecommons.org/licenses/by/4.0/).
Share and Cite
Liu, T.; Shateyi, S. Efficient Fourth-Order Weights in Kernel-Type Methods without Increasing the Stencil Size with an Application in a Time-Dependent Fractional PDE Problem. Mathematics 2024, 12, 1121. https://doi.org/10.3390/math12071121
Liu T, Shateyi S. Efficient Fourth-Order Weights in Kernel-Type Methods without Increasing the Stencil Size with an Application in a Time-Dependent Fractional PDE Problem. Mathematics. 2024; 12(7):1121. https://doi.org/10.3390/math12071121
Chicago/Turabian StyleLiu, Tao, and Stanford Shateyi. 2024. "Efficient Fourth-Order Weights in Kernel-Type Methods without Increasing the Stencil Size with an Application in a Time-Dependent Fractional PDE Problem" Mathematics 12, no. 7: 1121. https://doi.org/10.3390/math12071121
APA StyleLiu, T., & Shateyi, S. (2024). Efficient Fourth-Order Weights in Kernel-Type Methods without Increasing the Stencil Size with an Application in a Time-Dependent Fractional PDE Problem. Mathematics, 12(7), 1121. https://doi.org/10.3390/math12071121

