Sign in to use this feature.

Years

Between: -

Subjects

remove_circle_outline
remove_circle_outline

Journals

Article Types

Countries / Regions

Search Results (6)

Search Parameters:
Keywords = GH4065A superalloy ingot

Order results
Result details
Results per page
Select all
Export citation of selected articles as:
14 pages, 11321 KB  
Article
Effect of Microstructural Evolution on Plasticity of GH4065A Superalloy Cast Ingot During Homogenization Hot Treatment
by Wenyun Zhang, Zhaotian Wang, Beijiang Zhang, Ji Zhang and Yongquan Ning
Metals 2026, 16(1), 26; https://doi.org/10.3390/met16010026 (registering DOI) - 26 Dec 2025
Abstract
Improved plasticity in superalloy castings minimizes processing defects, reduces stress concentration, and enhances mechanical performance. To obtain the microstructure–plasticity relationship, GH4065A ingots were homogenized at 1140–1200 °C for 5–80 h. Microstructural analysis tracked the evolution of dendritic crystals and precipitates (including η phase, [...] Read more.
Improved plasticity in superalloy castings minimizes processing defects, reduces stress concentration, and enhances mechanical performance. To obtain the microstructure–plasticity relationship, GH4065A ingots were homogenized at 1140–1200 °C for 5–80 h. Microstructural analysis tracked the evolution of dendritic crystals and precipitates (including η phase, carbides, and borides). Tensile tests were conducted to assess plasticity in terms of elongation and reduction in area. Results show that increasing temperature accelerated dendritic dissolution. While 1140 °C was ineffective for short-term dendrite elimination, temperatures of 1160–1200 °C achieved near-complete dissolution within 30–60 h. Precipitates evolution was also observed: the η phase dissolved preferentially, while the sizes of carbides and borides gradually decreased, especially at 1200 °C. Electron probe microanalysis confirmed Nb as the most segregated element. With higher temperatures, Nb diffused from microsegregated zones toward homogeneity. Plasticity improved notably when the Nb segregation coefficient was ~1.5 but decreased at ~1. The optimal homogenization parameters were determined as 1180 °C for 15–60 h. This study provides key processing guidelines for GH4065A ingots, supporting enhanced service performance and operational safety of related components. Full article
(This article belongs to the Special Issue Mechanical Properties of Ni-Based Superalloys)
12 pages, 34086 KB  
Article
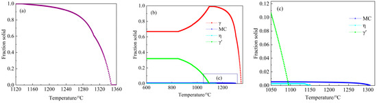
The Role of Solidified Phases on the Hot Cracking of a Large-Size GH4742 Superalloy Ingot
by Liang Zhang, Lei Wang, Yang Liu, Xiu Song, Teng Yu and Ran Duan
Materials 2024, 17(3), 614; https://doi.org/10.3390/ma17030614 - 27 Jan 2024
Cited by 2 | Viewed by 1425
Abstract
The effect of solidified phases on the hot cracking behaviour of a large-size GH4742 superalloy ingot produced using vacuum induction melting (VIM) is investigated in order to improve the quality of the final product. The results show that the solidification order of the [...] Read more.
The effect of solidified phases on the hot cracking behaviour of a large-size GH4742 superalloy ingot produced using vacuum induction melting (VIM) is investigated in order to improve the quality of the final product. The results show that the solidification order of the ingot is γ matrix, MC carbide, η phase and γ′ phase. Among them, the MC carbide and the η phase solidified in the mushy zone. The volume fraction of both the η phase and the MC carbide in the cracked zone is higher than that in the non-cracked zone, and a significant number of η phases are distributed near the hot cracks. The formation of solidified phases not only induces stress concentration at η phase/γ matrix interfaces but also reduces the ability of liquid feeding during solidification, thus promoting hot crack formation. It is believed that by controlling the segregation degree of both Nb and Ti, the volume fraction of η phases and MC carbides can be reduced to prevent hot cracking of the GH4742 superalloy VIM ingot. Full article
(This article belongs to the Section Metals and Alloys)
Show Figures

Figure 1

16 pages, 11988 KB  
Article
Microstructural Evolution of Wrought-Nickel-Based Superalloy GH4169
by Wei Zhou, Xiaohua Chen, Yanlin Wang, Kaixuan Chen, Yuzhi Zhu, Junwei Qin, Zidong Wang and Lingli Zuo
Metals 2022, 12(11), 1936; https://doi.org/10.3390/met12111936 - 11 Nov 2022
Cited by 8 | Viewed by 3888
Abstract
To investigate the microstructural evolution of wrought-nickel-based superalloy GH4169 from the original ingot to the finished product of manufacturing processes, different kinds of etchants and etching methods were used to show the fine precipitates and their morphologies. The obtained microstructures can vary in [...] Read more.
To investigate the microstructural evolution of wrought-nickel-based superalloy GH4169 from the original ingot to the finished product of manufacturing processes, different kinds of etchants and etching methods were used to show the fine precipitates and their morphologies. The obtained microstructures can vary in size, type, distribution, location, formation, and interactions of multiple phases, which were observed and analyzed by optical microscopy (OM), scanning electron microscopy (SEM), and an energy dispersive spectrometer (EDS). The dendrite segregation behavior of as-cast superalloy GH4169 was investigated. In addition, the microstructural evolution mechanism of second-phase particles during dynamic recrystallization was analyzed. This work sheds light on the evolution of the second-phase structure of nickel-based superalloys during the preparation process, providing guidance for process development and visual interpretation of the relationships between microstructure and properties. Full article
(This article belongs to the Special Issue Microstructure and Mechanical Properties of Nanocrystalline Metals)
Show Figures

Figure 1

11 pages, 2606 KB  
Article
Effect of Turning Amount on Metallurgical Qualities and Mechanical Properties of GH4169 Superalloy
by Jinglong Qu, Shufeng Yang, Zhengyang Chen, Jinhui Du, Jingshe Li and Di Wang
Materials 2019, 12(11), 1852; https://doi.org/10.3390/ma12111852 - 7 Jun 2019
Cited by 11 | Viewed by 4744
Abstract
The determination of an appropriate amount of turning for superalloy ingot surfaces, in a scientific and reasonable manner, is vital to the improvement of the metallurgical quality and comprehensive performance of superalloy ingots. In the present study, scanning electron microscopy with energy-dispersive spectroscopy, [...] Read more.
The determination of an appropriate amount of turning for superalloy ingot surfaces, in a scientific and reasonable manner, is vital to the improvement of the metallurgical quality and comprehensive performance of superalloy ingots. In the present study, scanning electron microscopy with energy-dispersive spectroscopy, a high-temperature testing machine, a Brinell hardness tester and the Image-Pro Plus software were used to analyze and compare the types and amounts of inclusions, the average area of the (Al,Mg)O inclusions, and the mechanical properties of points at different distances from the edge of the GH4169 superalloy vacuum arc remelting (VAR) ingot edge. The effects of the amount of turning to which the superalloy is subjected, the metallurgical qualities, and the mechanical properties were systematically studied. The results showed that the five inclusion types did not change as the sampling locations moved away from the ingot edge, but the amount of inclusions and the average area of the (Al,Mg)O inclusions first decreased and then stabilized. Similarly, the tensile strength, elongation, section shrinkage, hardness, and fatigue life first increased and then stabilized. Finally, this experiment tentatively determined that an appropriate amount of turning for a GH4169 superalloy ingot is 36–48 mm. Full article
Show Figures

Figure 1

9 pages, 3482 KB  
Article
Effects of Withdrawal Rate on the Microstructure of Directionally Solidified GH4720Li Superalloys
by Jinglong Qu, Shufeng Yang, Zhengyang Chen, Jingshe Li, Anping Dong and Yu Gu
Materials 2019, 12(5), 771; https://doi.org/10.3390/ma12050771 - 6 Mar 2019
Cited by 5 | Viewed by 3884
Abstract
Increasing the ingot size of GH4720Li superalloys makes it difficult to control their microstructure, and the withdrawal rate is an important factor in controlling and refining the microstructure of GH4720Li superalloys. In this study, GH4720Li superalloy samples were prepared via Bridgman-type directional solidification [...] Read more.
Increasing the ingot size of GH4720Li superalloys makes it difficult to control their microstructure, and the withdrawal rate is an important factor in controlling and refining the microstructure of GH4720Li superalloys. In this study, GH4720Li superalloy samples were prepared via Bridgman-type directional solidification with different withdrawal rates. The morphology and average size of the dendrites in the stable growth zone during directional solidification in each sample, morphology and average size of the γ’ phases, and microsegregation of each alloying element were analyzed using optical microscopy, Photoshop, Image Pro Plus, field emission scanning electron microscopy, and electron probe microanalysis. Increasing the withdrawal rate significantly helped in refining the superalloy microstructure; the average secondary dendrite arm spacing decreased from 133 to 79 µm, whereas the average sizes of the γ’ phases in the dendrite arms and the interdendritic regions decreased from 1.02 and 2.15 µm to 0.69 and 1.26 µm, respectively. Moreover, the γ’ phase distribution became more uniform. The microsegregation of Al, Ti, Cr, and Co decreased with the increase in the withdrawal rate; the segregation coefficients of Al, Cr, and Co approached 1 at higher withdrawal rates, whereas that of Ti remained above 2.2 at all the withdrawal rates. Full article
Show Figures

Figure 1

10 pages, 5486 KB  
Article
Effects of Different Hot Working Techniques on Inclusions in GH4738 Superalloy Produced by VIM and VAR
by Zhengyang Chen, Shufeng Yang, Jingshe Li, Hao Guo and Hongbo Zheng
Materials 2018, 11(6), 1024; https://doi.org/10.3390/ma11061024 - 15 Jun 2018
Cited by 15 | Viewed by 4151
Abstract
Hot working is a key process in the production of superalloys; however, it may result in the formation of inclusions that affect the superalloy performance. Therefore, the effects of hot working on inclusions in a superalloy must be studied. GH4738 superalloy was manufactured, [...] Read more.
Hot working is a key process in the production of superalloys; however, it may result in the formation of inclusions that affect the superalloy performance. Therefore, the effects of hot working on inclusions in a superalloy must be studied. GH4738 superalloy was manufactured, herein, by vacuum induction melting and vacuum arc remelting. Hot working was performed by unidirectional drawing, upsetting and drawing, and upsetting/drawing with radial forging. The types and distributions of inclusions after these three hot working processes and those in an original ingot were analyzed using scanning electron microscopy, energy dispersive spectroscopy, and Image-Pro Plus software. The results showed that the melting technology essentially determined the inclusion types in GH4738. Four types of inclusions were found in the experiments: TiC–TiN–Mo–S composite, TiC–TiN composite, Ce–Mo–S composite, and SiC inclusions. In the case of hot working by unidirectional drawing, the average inclusion size first decreased, and then increased from the center to the edge. In the case of upsetting and drawing, and upsetting/drawing with radial forging, the average inclusion size decreased from the center to the edge. Full article
Show Figures

Figure 1

Back to TopTop