Sign in to use this feature.

Years

Between: -

Subjects

remove_circle_outline
remove_circle_outline
remove_circle_outline
remove_circle_outline
remove_circle_outline
remove_circle_outline
remove_circle_outline
remove_circle_outline
remove_circle_outline

Journals

Article Types

Countries / Regions

Search Results (41)

Search Parameters:
Keywords = Fuzzy Analytical Network Process (FANP)

Order results
Result details
Results per page
Select all
Export citation of selected articles as:
25 pages, 6216 KB  
Article
Sustainable Airport Planning Using a Multi-Criteria Decision-Making Approach with Fuzzy Logic and GIS Integration
by Abderrahim Lakhouit, Ghassan M. T. Abdalla, Eltayeb H. Onsa Elsadig, Wael S. Al-Rashed, Isam Abdel-Magid, Anis Ben Messaoud, Ahmed H. A. Yassin, Omer A. Sayed, Mohamed B. Elsawy and Gasim Hayder
Buildings 2025, 15(10), 1749; https://doi.org/10.3390/buildings15101749 - 21 May 2025
Cited by 1 | Viewed by 1059
Abstract
Sustainable design in large-scale infrastructure projects, such as airports, is crucial for minimizing environmental impacts while ensuring long-term financial feasibility. This study focuses on selecting the most sustainable pavement solution for airport construction, using Tabuk Airport in Saudi Arabia as a case study. [...] Read more.
Sustainable design in large-scale infrastructure projects, such as airports, is crucial for minimizing environmental impacts while ensuring long-term financial feasibility. This study focuses on selecting the most sustainable pavement solution for airport construction, using Tabuk Airport in Saudi Arabia as a case study. The purpose of this study is to evaluate four pavement alternatives using a multi-criteria decision-making approach to identify the optimal solution in terms of sustainability, cost-effectiveness, and feasibility. The alternatives were assessed based on nine key criteria, including environmental impact, durability, cost, and maintenance. The Technique for Order of Preference by Similarity to Ideal Solution (TOPSIS) method ranks the alternatives, while the Fuzzy Analytic Network Process (FANP) calculates the criteria weights, addressing uncertainties and interdependencies. Geographic Information System (GIS) is integrated to incorporate spatial factors affecting pavement sustainability. The results show that the alternative using recycled materials (A4) is the most suitable, offering the best balance of sustainability and cost. A4 achieved the highest ranking in the evaluation, making it the recommended choice for the upcoming Tabuk Airport project. This study demonstrates the effective application of decision-making tools, such as TOPSIS, FANP, and GIS, in guiding sustainable infrastructure development and providing a replicable framework for similar projects worldwide. Full article
(This article belongs to the Special Issue Advances in Sustainable Building Materials: 2nd Edition)
Show Figures

Figure 1

29 pages, 3558 KB  
Article
Factors Influencing the Safety Enhancement and Cost Reduction in Site Layouts of Construction Projects
by Amirhossein Javaherikhah, Payman Alimohammadi, Hadi Sarvari, David J. Edwards, Daniel W. M. Chan and Clara Cheung
Buildings 2025, 15(7), 1089; https://doi.org/10.3390/buildings15071089 - 27 Mar 2025
Cited by 1 | Viewed by 1709
Abstract
As the foundation of national development, the construction industry is one of the most hazardous industries in the world, facing safety challenges and high rates of work-related accidents, especially in developing countries such as Iran, where 35% of all industrial accidents are related [...] Read more.
As the foundation of national development, the construction industry is one of the most hazardous industries in the world, facing safety challenges and high rates of work-related accidents, especially in developing countries such as Iran, where 35% of all industrial accidents are related to construction accidents. In the meantime, construction site layout (CSL) design is vital in improving safety and cost efficiency, but the lack of comprehensive frameworks has limited its effective application. Traditional methods also create inefficiencies and additional costs due to the lack of flexibility in the face of project-specific constraints and unpredictable conditions. Significant research gaps exist, especially in Iran, where socioeconomic and cultural factors affect construction methods. This study aims to identify and analyze the critical factors affecting CSL in developing countries and provides a comprehensive framework that integrates regional constraints with global best practices. The main criteria identified in order of priority are hiring skilled professionals (weight: 0.32), hazardous materials management (weight: 0.25), and using advanced technologies (weight: 0.18). We first conducted a Delphi survey with domain experts using a hybrid approach to identify and refine key factors. Next, we utilized the Decision-Making Trial and Evaluation Laboratory (DEMATEL) and fuzzy logic to examine causal relationships among the factors. Additionally, we prioritized the factors based on their relative importance using the fuzzy analytic network process (FANP). This research provides a practical framework for CSL optimization that helps improve safety and reduce costs in construction projects. Full article
Show Figures

Figure 1

14 pages, 2926 KB  
Article
Study on Small-Scale Forest Fire Risk Zoning Based on Random Forest and the Fuzzy Analytic Network Process
by Dai Chen, Aicong Zeng, Yan He, Yiyun Ouyang, Chunhui Li, Mulualem Tigabu, Wenlong Wang, Rongyu Ni, Jinwen Zhang and Futao Guo
Forests 2025, 16(1), 97; https://doi.org/10.3390/f16010097 - 9 Jan 2025
Cited by 4 | Viewed by 1549
Abstract
Forest fire risk mapping is an essential measure for forest fire management. Quickly and precisely assessing forest fire risks, rationally planning fire risk zones, and scientifically allocating firefighting resources are of great significance for mitigating the increasingly severe threat of forest fires. This [...] Read more.
Forest fire risk mapping is an essential measure for forest fire management. Quickly and precisely assessing forest fire risks, rationally planning fire risk zones, and scientifically allocating firefighting resources are of great significance for mitigating the increasingly severe threat of forest fires. This study utilized the random forest (RF) algorithm and the Fuzzy Analytic Network Process (FANP) to conduct a forest fire risk-zoning study in the protection and development belt of Wuyishan National Park. The findings revealed that some areas in the western and southern parts of this region have relatively high fire risk levels. Particularly, forest fire prevention and control in the western area need to be strengthened to prevent potential hazards to Wuyishan National Park. The accuracy of the FANP model was as high as 88.5%; areas with fire risk levels of grade 3 and above could control 98.44% of forest fires, and the proportion of areas with fire risk levels of grade 4 and above was 33.41%, which could control 65.63% of forest fires. This finding indicates that the FANP has preferable applicability in small-scale forest fire risk zoning and can offer more reliable decision-making support and reference basis for regional forest fire management. Full article
(This article belongs to the Section Natural Hazards and Risk Management)
Show Figures

Figure 1

33 pages, 5380 KB  
Article
Factors Influencing the Development of Cloud-Based Building Information Modelling (Cloud-BIM): A Hybrid FDelphi-FANP-TOPSIS-CEA Approach
by Yafei Zhao and Nooriati Taib
Buildings 2025, 15(1), 33; https://doi.org/10.3390/buildings15010033 - 26 Dec 2024
Cited by 1 | Viewed by 874
Abstract
The adoption of cloud-based building information modelling (Cloud-BIM) presents a complex landscape of potential benefits and challenges for architectural design enterprises in China. While similar opportunities and obstacles exist globally, the unique economic, technical, and regulatory landscape of China necessitates a focused analysis. [...] Read more.
The adoption of cloud-based building information modelling (Cloud-BIM) presents a complex landscape of potential benefits and challenges for architectural design enterprises in China. While similar opportunities and obstacles exist globally, the unique economic, technical, and regulatory landscape of China necessitates a focused analysis. This study addresses the research gap by investigating the factors influencing Cloud-BIM development in China, utilizing a novel hybrid FDelphi-FANP-TOPSIS-CEA approach. Following a systematic literature review, the interval-valued fuzzy Delphi method (FDelphi) was used to identify 4 primary and 14 secondary factors influencing Cloud-BIM adoption. A fuzzy analytic network process (FANP) was then used to prioritize these factors, revealing technology factors to be the most impactful, with interoperability holding the top position among the secondary factors. The technique for order preference by similarity to ideal solution (TOPSIS) method was further used to identify Cloud-BIM, with objects metasearch being the most favorable alternative among the four potential approaches. Finally, a causal effect analysis (CEA) was used to explore the cause-and-effect relationships between the identified factors, providing a deeper understanding of the underlying dynamics. This research offers valuable insights for architectural design enterprises in China considering Cloud-BIM implementation. By highlighting the key influencing factors, prioritizing their impact, and identifying the most suitable approach, this study equips practitioners with actionable knowledge to navigate the complex decision-making process. Additionally, the novel methodology contributes to the advancement of research in Cloud-BIM adoption, providing a robust framework for future studies in similar contexts. Full article
(This article belongs to the Special Issue Building Information Management (BIM) toward Construction 5.0)
Show Figures

Figure 1

16 pages, 1294 KB  
Article
A Generalized Method for Deriving Steady-State Behavior of Consistent Fuzzy Priority for Interdependent Criteria
by Jih-Jeng Huang and Chin-Yi Chen
Mathematics 2024, 12(18), 2863; https://doi.org/10.3390/math12182863 - 14 Sep 2024
Viewed by 929
Abstract
Interdependent criteria play a crucial role in complex decision-making across various domains. Traditional methods often struggle to evaluate and prioritize criteria with intricate dependencies. This paper introduces a generalized method integrating the analytic network process (ANP), the decision-making trial and evaluation laboratory (DEMATEL), [...] Read more.
Interdependent criteria play a crucial role in complex decision-making across various domains. Traditional methods often struggle to evaluate and prioritize criteria with intricate dependencies. This paper introduces a generalized method integrating the analytic network process (ANP), the decision-making trial and evaluation laboratory (DEMATEL), and the consistent fuzzy analytic hierarchy process (CFAHP) in a fuzzy environment. The Drazin inverse technique is applied to derive a fuzzy total priority matrix, and we normalize the row sum to achieve the steady-state fuzzy priorities. A numerical example in the information systems (IS) industry demonstrates the approach’s real-world applications. The proposed method derives narrower fuzzy spreads compared to the past fuzzy analytic network process (FANP) approaches, minimizing objective uncertainty. Total priority interdependent maps provide insights into complex technical and usability criteria relationships. Comparative analysis highlights innovations, including non-iterative convergence of the total priority matrix and the ability to understand interdependencies between criteria. The integration of the FANP’s network structure with the fuzzy DEMATEL’s influence analysis transcends the capabilities of either method in isolation, marking a significant methodological advancement. By addressing challenges such as parameter selection and mathematical complexity, this research offers new perspectives for future research and application in multi-attribute decision-making (MADM). Full article
Show Figures

Figure 1

27 pages, 2523 KB  
Article
Identifying Key Factors and Strategies for Optimizing Automated External Defibrillator Deployment in China
by Jiang Du, Yuchao Du, Yu Zhang, Yiming Liu and Dapeng Wei
Mathematics 2024, 12(18), 2829; https://doi.org/10.3390/math12182829 - 12 Sep 2024
Viewed by 1953
Abstract
The survivability of out-of-hospital cardiac arrest patients in China is notably low, at less than 1%, primarily due to difficulties in accessing nearby Automated External Defibrillator (AED) devices during emergencies. Therefore, the strategic deployment of AEDs is crucial for improving patient survival. This [...] Read more.
The survivability of out-of-hospital cardiac arrest patients in China is notably low, at less than 1%, primarily due to difficulties in accessing nearby Automated External Defibrillator (AED) devices during emergencies. Therefore, the strategic deployment of AEDs is crucial for improving patient survival. This study adopts a novel hybrid methodology that integrates the Fuzzy Analytic Network Process (FANP) and Grey Relational Analysis (GRA) to assess and prioritize the critical factors for optimizing AED deployment in China. In the FANP model, the rate of cardiopulmonary resuscitation training among individuals in the area, the rate of AED training among individuals in the area, and records of AED device usage within the area are key factors for improving the effectiveness of AED deployment. Furthermore, in the GRA model, the factors with higher gray relational degrees are Visibility, Social Environment, and Accessibility. This analysis sheds light on which secondary indicators can have the most significant impact on improving specific primary indicators. The insights from this study can guide the optimization of AED deployment strategies in China and offer practical solutions for enhancing the deployment of relevant public medical facilities. Full article
Show Figures

Figure 1

24 pages, 27180 KB  
Article
Greenness Evaluation of Rural Residential Buildings Based on the Composite Perspective of Environment–Building–Resources
by Zhong Xu, Siqi Tang, Xiaoqi Wang, Yuhao Chen and Hangyu Luo
Sustainability 2024, 16(16), 6938; https://doi.org/10.3390/su16166938 - 13 Aug 2024
Viewed by 1587
Abstract
Based on the composite perspective of environment–building–resource (EBR), influencing factors of the green performance of rural buildings were sorted out through brainstorming and Delphi methods, an innovative comprehensive evaluation system was constructed, and the weights of the indicators were calculated through the fuzzy [...] Read more.
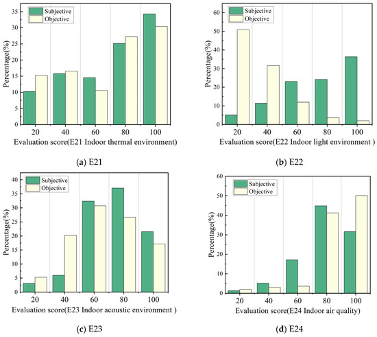
Based on the composite perspective of environment–building–resource (EBR), influencing factors of the green performance of rural buildings were sorted out through brainstorming and Delphi methods, an innovative comprehensive evaluation system was constructed, and the weights of the indicators were calculated through the fuzzy analytic network process (FANP). The EBR green performance comprehensive scoring standards of each influencing factor were established by means of a questionnaire, field measurement, and numerical simulation. As typical representatives of human-populated areas in southwest China, 13 villages in the second circle of Chengdu were selected as case study areas by means of the regional average distribution theory and minimum sampling criteria. Through innovative combination of the obstacle degree model and spatial interpolation analysis, the key factors affecting the greening of rural buildings were diagnosed. The results showed that the indoor thermal environment (E21), the indoor light environment (E22), the popularity of biogas facilities (R12), and green building material usage (R13) have a significant impact on the EBR greenness score. The EBR score of the study area shows a spatial distribution pattern of high in the west and low in the east, with extremely uneven scores in various dimensions. Based on the key factors identified through system evaluation, a refined exploration was conducted of promotion strategies and measures, and greenness improvement suggestions were proposed to provide ideas for the sustainable transformation of rural residential buildings. Full article
(This article belongs to the Section Green Building)
Show Figures

Graphical abstract

29 pages, 3415 KB  
Article
Enhancing Decision-Making Processes in the Complex Landscape of the Taiwanese Electronics Manufacturing Industry through a Fuzzy MCDM Approach
by Wen-Chin Chen, An-Xuan Ngo and Hui-Pin Chang
Mathematics 2024, 12(13), 2094; https://doi.org/10.3390/math12132094 - 3 Jul 2024
Viewed by 1886
Abstract
This research proposes a hybrid multi-criteria decision-making (MCDM) framework for workforce recruitment in Taiwan’s electronics manufacturing companies, an area with limited research. First, a comprehensive review of existing literature and interviews with industry experts were conducted to compile a list of decision-making criteria [...] Read more.
This research proposes a hybrid multi-criteria decision-making (MCDM) framework for workforce recruitment in Taiwan’s electronics manufacturing companies, an area with limited research. First, a comprehensive review of existing literature and interviews with industry experts were conducted to compile a list of decision-making criteria and sub-criteria relevant to workforce selection in Taiwan’s electronics industry. The Fuzzy Delphi Method (FDM) was then applied to identify and retain the most critical criteria while eliminating the less important ones. Next, Interpretive Structural Modelling (ISM) was used to calculate the interdependencies among the identified factors. Finally, based on these relationships, the Fuzzy Analytic Network Process (FANP) was employed to calculate the relative importance weights of the criteria and sub-criteria. These weights were then used to rank the criteria, identifying the most important ones and aiding in decision-making. The findings indicate that the proposed method provides a structured and assessable model for making informed decisions in workforce recruitment, particularly in the challenging environment of Taiwan’s electronics manufacturing industry, which faces a shortage of skilled labor. The research presents three primary contributions: the development of a systematic criteria selection technique using FDM, the establishment of consistent criteria relations for decision-makers using ISM, and the proposal of an application model employing the FANP method to identify and rank appropriate criteria for hiring new employees. The study highlights work attitude, adaptability to the environment, and work ability as major criteria. It also emphasizes the importance of discipline compliance, a positive attitude, and adherence to health and safety protocols as the top sub-criteria for workforce selection. Full article
Show Figures

Figure 1

24 pages, 2387 KB  
Article
Ranking of Service Quality Index and Solutions for Online English Teaching in the Post-COVID-19 Crisis
by Yu-Yu Ma, Chia-Liang Lin and Hung-Lung Lin
Mathematics 2023, 11(18), 4001; https://doi.org/10.3390/math11184001 - 20 Sep 2023
Cited by 4 | Viewed by 2207
Abstract
Online English teaching remains prevalent post-pandemic, yet there is a significant research gap in assessing service quality during this period. Thus, this study employs a hybrid FANP and GRA method to evaluate critical factors sustaining high service quality in online English teaching in [...] Read more.
Online English teaching remains prevalent post-pandemic, yet there is a significant research gap in assessing service quality during this period. Thus, this study employs a hybrid FANP and GRA method to evaluate critical factors sustaining high service quality in online English teaching in the post-coronavirus era. The FANP model highlights key contributors like professional employees, trustworthy staff, flexible transaction times, and a secure transaction environment. In contrast, GRA identifies personnel quality, responsiveness to customer needs, and a secure transaction mechanism as top factors. Individual customer needs and service facilities are of less importance in both models. This study’s primary contribution is proposing an integrated FANP and GRA approach to rank potential solutions for online English teaching service quality in the post-COVID-19 fuzzy context. The findings guide the online English teaching industry in maintaining service quality in future similar scenarios. Full article
Show Figures

Figure 1

41 pages, 7430 KB  
Article
An Integrated Multi-Criteria Decision Making Model for the Assessment of Public Private Partnerships in Transportation Projects
by Eslam Mohammed Abdelkader, Tarek Zayed, Hassan El Fathali, Ghasan Alfalah, Abobakr Al-Sakkaf and Osama Moselhi
Mathematics 2023, 11(16), 3559; https://doi.org/10.3390/math11163559 - 17 Aug 2023
Cited by 13 | Viewed by 4380
Abstract
Public–private partnership (PPP) infrastructure projects have attracted attention over the past few years. In this regard, the selection of private partners is an integral decision to ensure its success. The selection process needs to identify, scrutinize, and pre-qualify potential private partners that sustain [...] Read more.
Public–private partnership (PPP) infrastructure projects have attracted attention over the past few years. In this regard, the selection of private partners is an integral decision to ensure its success. The selection process needs to identify, scrutinize, and pre-qualify potential private partners that sustain the greatest potential in delivering the designated public–private partnership projects. To this end, this research paper proposes an integrated multi-criteria decision-making (MCDM) model for the purpose of selection of the best private partners in PPP projects. The developed model (HYBD_MCDM) is conceptualized based on two tiers of multi-criteria decision making. In the first tier, the fuzzy analytical network process (FANP) is exploited to scrutinize the relative importance of the priorities of the selection criteria of private partners. In this respect, the PPP selection criteria are categorized as safety, environmental, technical, financial, political policy, and managerial. In the second tier, a set of seven multi-criteria decision-making (MCDM) algorithms is leveraged to determine the best private partners to deliver PPP projects. These algorithms comprise the combined compromise solution (CoCoSo), simple weighted sum product (WISP), measurement alternatives and ranking according to compromise solution (MARCOS), combinative distance-based assessment (CODAS), weighted aggregate sum product assessment (WASPAS), technique for order of preference by similarity to ideal solution (TOPSIS), and FANP. Thereafter, the Copeland algorithm is deployed to amalgamate the obtained rankings from the seven MCDM algorithms. Four real-world case studies are analyzed to test the implementation and applicability of the developed integrated model. The results indicate that varying levels of importance were exhibited among the managerial, political, and safety and environmental criteria based on the nature of the infrastructure projects. Additionally, the financial and technical criteria were appended as the most important criteria across the different infrastructure projects. It can be argued that the developed model can guide executives of governments to appraise their partner’s ability to achieve their strategic objectives. It also sheds light on prospective private partners’ strengths, weaknesses, and capacities in an attempt to neutralize threats and exploit opportunities offered by today’s construction business market. Full article
Show Figures

Figure 1

27 pages, 3040 KB  
Article
A Three-Phased Fuzzy Logic Multi-Criteria Decision-Making Model for Evaluating Operation Systems for Smart TVs
by Amy H. I. Lee and He-Yau Kang
Appl. Sci. 2023, 13(13), 7869; https://doi.org/10.3390/app13137869 - 4 Jul 2023
Cited by 3 | Viewed by 2228
Abstract
Within the competitive global market and fast-advancing technology environment, in order to survive and to succeed, firms need to spontaneously respond to market changes and the uncertainty of customer needs. Therefore, New Product Development (NPD) is extremely important for the success of firms. [...] Read more.
Within the competitive global market and fast-advancing technology environment, in order to survive and to succeed, firms need to spontaneously respond to market changes and the uncertainty of customer needs. Therefore, New Product Development (NPD) is extremely important for the success of firms. Artificial Intelligence (AI) has gradually entered people’s lives, and consumer demand for AI products is increasing. Firms need to understand the AI development trend and consider the preferences of consumers for AI-related products under social changes so that suitable consumer AI products can be properly developed. In this study, the evaluation and selection of operation systems for a commercially available AI product (smart TV) is studied, and a Multi-Criteria Decision-Making (MCDM) model for facilitating the selection of the most suitable operation system for product development is constructed. The proposed model consists of three phases: Interpretative Structural Modelling (ISM) to construct a decision-making network, Fuzzy Analytic Network Process (FANP) to obtain the weights of factors, and Fuzzy Technique for Order of Preference by Similarity to Ideal Solution (fuzzy TOPSIS) to rank the operation systems. The proposed model is applied to select an operation system that companies can use to develop a smart TV. The results show that the proposed model can provide a systematic method that helps companies make appropriate operation system selection decisions. Full article
(This article belongs to the Special Issue Smart Service Technology for Industrial Applications II)
Show Figures

Figure 1

20 pages, 2363 KB  
Article
Research on the Service Quality Index and Alternatives Evaluation and Ranking for Online Yue Kiln Celadon Art Education in Post COVID-19 Era
by Jian Wan and Chia-Liang Lin
Mathematics 2023, 11(6), 1339; https://doi.org/10.3390/math11061339 - 9 Mar 2023
Cited by 6 | Viewed by 2062
Abstract
Online education has been still a common way for teaching and learning in the post epidemic era. However, the related research on service quality for the online Yue kiln celadon art education industry is still a vital research gap during this period. Thus, [...] Read more.
Online education has been still a common way for teaching and learning in the post epidemic era. However, the related research on service quality for the online Yue kiln celadon art education industry is still a vital research gap during this period. Thus, a hybrid method of FANP and GRA is proposed in this study to analyse and evaluate the key factors for providing and maintaining high service quality of online Yue kiln celadon art education industry in the post coronavirus era. In this research, whether in the model of FANP and GRA, factors such as safety mechanism of transaction and education, personnel quality, and the ability of customer need handling are essential conditions for providing excellent service quality in the post-COVID-19 era. The main contribution of this study is to propose an integrated method of FANP and GRA to calculate and rank potential solutions of online Yue kiln celadon art education service quality in the post-COVID-19 era under fuzzy environment and discrete conditions. Finally, the research findings of this study have a guiding role, thereby becoming a guide for the industries related to online Yue kiln celadon art education to maintain good service quality in similar scenarios in the future. Full article
Show Figures

Figure 1

28 pages, 3894 KB  
Article
Ranking of Service Quality Solution for Blended Design Teaching Using Fuzzy ANP and TOPSIS in the Post-COVID-19 Era
by Chia-Liang Lin, Jwu-Jenq Chen and Yu-Yu Ma
Mathematics 2023, 11(5), 1255; https://doi.org/10.3390/math11051255 - 5 Mar 2023
Cited by 10 | Viewed by 3293
Abstract
The blended educational method has become a common way of teaching and learning in the post-COVID-19 era. However, the related research on the selection model for the blended design teaching service quality solution is still an important research gap during this period. Therefore, [...] Read more.
The blended educational method has become a common way of teaching and learning in the post-COVID-19 era. However, the related research on the selection model for the blended design teaching service quality solution is still an important research gap during this period. Therefore, this study proposed a hybrid method of fuzzy analytic network process (FANP) and technique for order preference by similarity to ideal solution (TOPSIS) to analyse the dimensions, indicators and alternatives of blended design teaching service quality. As for the findings of this research, the dimension of assurance is the most vital factor, followed by responsiveness, reliability and empathy. Meanwhile, this research discovered that the top three significant alternatives are “Employees are trustworthy”, “Safe transaction mechanism and environment” and “Personalised needs of customers”. Also, we found that dimensions utilised to evaluate the quality of education service are similar whether in the post COVID-19 era, in the COVID-19 epidemic or prior to the COVID-19 pandemic. The main contribution of this study is to establish a multi-criteria decision-making (MCDM) model for the ranking of the blended design teaching service quality index and solution under a fuzzy environment. Finally, the research findings of this study have a guiding role, thereby becoming a guide for the industries related to hybrid design education to maintain good service quality in similar scenarios in the future. Full article
Show Figures

Figure 1

15 pages, 950 KB  
Article
Modelling the Barriers to Circular Economy Practices in the Indian State of Tamil Nadu in Managing E-Wastes to Achieve Green Environment
by T. Mahanth, C. R. Suryasekaran, S. G. Ponnambalam, Bathrinath Sankaranarayanan, Koppiahraj Karuppiah and Izabela Ewa Nielsen
Sustainability 2023, 15(5), 4224; https://doi.org/10.3390/su15054224 - 26 Feb 2023
Cited by 10 | Viewed by 3133
Abstract
Owing to a heightened necessity, the consumption rate of electronic items has increased exponentially in recent decades, resulting in huge quantities of electronic waste (e-waste). Though increasing e-waste has many adverse impacts, it also provides an ample opportunity of recover value from the [...] Read more.
Owing to a heightened necessity, the consumption rate of electronic items has increased exponentially in recent decades, resulting in huge quantities of electronic waste (e-waste). Though increasing e-waste has many adverse impacts, it also provides an ample opportunity of recover value from the waste through circular economy (CE) practices. However, the adoption to CE practices is jeopardised by myriad barriers. This paper wishes to identify and evaluate the barriers that hamper CE practices in e-waste management. First, 30 barriers to the adoption of CE practices in India e-waste management are identified by reviewing the existing literature and conformed using experts’ inputs. Furthermore, based on the experts’ opinion, the thirty barriers are categorised into social, economic, and environmental categories. An integrated multi-criteria decision-making (MCDM) framework of fuzzy decision-making trial and evaluation laboratories (FDEMATEL) and fuzzy analytic network processes (FANP) is employed to understand the causal interrelationship and also to rank the barriers. Uncertainty about the profitability of the circular economy (E9), insufficient market demand (E6), lack of successful circular business model (E5), shortage of high-quality recycling materials (E4), and lack of adequate technology (EN6) have been identified as the top five barriers to the incorporation of CE practice in e-waste management. Out of these 30 barriers, 12 come under the cause group and 18 come under the effect group. Understanding the causal interrelationship and prioritization of barriers provide better insight into the barriers. This study offers some managerial implications that could assist industrial practitioners and policymakers. Full article
Show Figures

Figure 1

23 pages, 1895 KB  
Article
Scrutinizing Competitiveness of Construction Companies Based on an Integrated Multi-Criteria Decision Making Model
by Ahmed Badawy, Abobakr Al-Sakkaf, Ghasan Alfalah, Eslam Mohammed Abdelkader and Tarek Zayed
CivilEng 2022, 3(4), 850-872; https://doi.org/10.3390/civileng3040049 - 28 Sep 2022
Cited by 1 | Viewed by 4861
Abstract
The construction sector continues to experience significant challenges brought by new techniques and technologies. Hence, there is a dire need for construction companies to address critical issues concerning changing environmental conditions, construction innovations, market globalization and many other aspects, thereby enhancing their competitive [...] Read more.
The construction sector continues to experience significant challenges brought by new techniques and technologies. Hence, there is a dire need for construction companies to address critical issues concerning changing environmental conditions, construction innovations, market globalization and many other aspects, thereby enhancing their competitive edge. Thus, the primary goal for this research is to develop a multi-criteria decision making model that would consider and evaluate all essential factors in determining the competitiveness index of construction companies. In the developed model, three new pillars (3P) for competitiveness are introduced: (1) non-financial internal pillar; (2) non-financial external pillar; and (3) financial pillar. The 3P includes 6 categories and 26 factors that are defined and incorporated in the developed assessment model for the purpose of measuring the companies’ competitiveness. The weights for the identified factors are computed using fuzzy analytical network process (FANP) to diminish the uncertainty inherited within the judgment of the respondents. The weight of factors and their affiliated performance scores are used as an input for the preference ranking organization method for enrichment evaluation (PROMETHEE II) technique. In this regard, PROMETHEE II is undertaken as a ranking technique to prioritize any given construction company by determining its respective competitiveness index. The developed model is validated through five cases studies that reveal its potential of illustrating detailed analysis with respect to the competitive ability of construction companies. A sensitivity analysis is carried out to determine the most influential factors that affect the competitiveness of construction companies. It is anticipated that the developed evaluation model can be used in the decision-making process by all parties involved in construction projects. For instance, contractors can leverage the evaluation model in taking better decisions pertinent to the markup values. In addition, it can benefit employers in the evaluation process of contractors. Full article
(This article belongs to the Special Issue Next Generation Infrastructure)
Show Figures

Figure 1

Back to TopTop