Sign in to use this feature.

Years

Between: -

Subjects

remove_circle_outline
remove_circle_outline
remove_circle_outline
remove_circle_outline
remove_circle_outline

Journals

Article Types

Countries / Regions

Search Results (5)

Search Parameters:
Keywords = Fe(II)EDTA-NO reduction

Order results
Result details
Results per page
Select all
Export citation of selected articles as:
19 pages, 1584 KB  
Article
Developing the Ascorbic Acid Test: A Candidate Standard Tool for Characterizing the Intrinsic Reactivity of Metallic Iron for Water Remediation
by Xuesong Cui, Minhui Xiao, Ran Tao, Rui Hu, Hans Ruppert, Willis Gwenzi and Chicgoua Noubactep
Water 2023, 15(10), 1930; https://doi.org/10.3390/w15101930 - 19 May 2023
Cited by 5 | Viewed by 2363
Abstract
Granular metallic iron (gFe0) materials have been widely used for eliminating a wide range of pollutants from aqueous solutions over the past three decades. However, the intrinsic reactivity of gFe0 is rarely evaluated and existing methods for such evaluations have [...] Read more.
Granular metallic iron (gFe0) materials have been widely used for eliminating a wide range of pollutants from aqueous solutions over the past three decades. However, the intrinsic reactivity of gFe0 is rarely evaluated and existing methods for such evaluations have not been standardized. The aim of the present study was to develop a simple spectrophotometric method to characterize the intrinsic reactivity of gFe0 based on the extent of iron dissolution in an ascorbic acid (AA—0.002 M or 2 mM) solution. A modification of the ethylenediaminetetraacetic acid method (EDTA method) is suggested for this purpose. Being an excellent chelating agent for FeII and a reducing agent for FeIII, AA sustains the oxidative dissolution of Fe0 and the reductive dissolution of FeIII oxides from gFe0 specimens. In other words, Fe0 dissolution to FeII ions is promoted while the further oxidation to FeIII ions is blocked. Thus, unlike the EDTA method that promotes Fe0 oxidation to FeIII ions, the AA method promotes only the formation of FeII species, despite the presence of dissolved O2. The AA test is more accurate than the EDTA test and is considerably less expensive. Eight selected gFe0 specimens (ZVI1 through ZVI8) with established diversity in intrinsic reactivity were tested in parallel batch experiments (for 6 days) and three of these specimens (ZVI1, ZVI3, ZVI5) were further tested for iron leaching in column experiments (for 150 days). Results confirmed the better suitability (e.g., accuracy in assessing Fe0 dissolution) of the AA test relative to the EDTA test as a powerful screening tool to select materials for various field applications. Thus, the AA test should be routinely used to characterize and rationalize the selection of gFe0 in individual studies. Full article
(This article belongs to the Section Wastewater Treatment and Reuse)
Show Figures

Figure 1

10 pages, 5196 KB  
Article
Stabilization of Chromium (VI) in the Presence of Iron (II): Method Development and Validation
by Daniel Mahringer, Chantal Polenz and Fatima El-Athman
Water 2020, 12(4), 924; https://doi.org/10.3390/w12040924 - 25 Mar 2020
Cited by 9 | Viewed by 4845
Abstract
The presence of Cr (VI) in drinking water is mainly caused by leaching of chromium-containing aquifer material into groundwater. In contrast to Cr (III), it has been classified as highly toxic. For this reason, the WHO recommends the implementation of separate guideline values, [...] Read more.
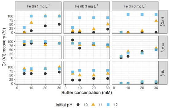
The presence of Cr (VI) in drinking water is mainly caused by leaching of chromium-containing aquifer material into groundwater. In contrast to Cr (III), it has been classified as highly toxic. For this reason, the WHO recommends the implementation of separate guideline values, instead of the so far used limit value of total chromium. The separate evaluation of Cr (VI) in raw water and during removal processes requires the Cr (VI) concentration to remain stable after sampling. In the presence of Fe (II), a stabilization of the samples is necessary to inhibit further reduction of Cr (VI) by Fe (II). In this study, two methods of Cr (VI) stabilization in Fe-(II)-containing water samples are investigated: Fe (II) oxidation by oxygen at high pH values in the presence of buffers and Fe (II) complexation by chelating agents. When adding hydrogen carbonate buffer, Cr (VI) recovery reached 100% at pH values of 10 to 12 in the presence of up to 3 mg L–1 Fe (II). Using hydrogen phosphate buffer, Cr (VI) recovery reached 100% only at pH 12 but for a Fe (II) concentration up to 6 mg L–1. Ammonium buffer was found to be less suitable for Cr (VI) stabilization. The addition of EDTA and citrate resulted in low recovery of Cr (VI), whereas citrate was found to accelerate the Cr (VI) reduction. Full article
(This article belongs to the Section Water Quality and Contamination)
Show Figures

Graphical abstract

15 pages, 1475 KB  
Article
Simultaneous Biological and Chemical Removal of Sulfate and Fe(II)EDTA-NO in Anaerobic Conditions and Regulation of Sulfate Reduction Products
by Yu Zhang, Lijian Sun and Jiti Zhou
Minerals 2019, 9(6), 330; https://doi.org/10.3390/min9060330 - 28 May 2019
Cited by 12 | Viewed by 4053
Abstract
In the simultaneous flue gas desulfurization and denitrification by biological combined with chelating absorption technology, SO2 and NO are converted into sulfate and Fe(II)EDTA-NO which need to be reduced in biological reactor. Increasing the removal loads of sulfate and Fe(II)EDTA-NO and converting [...] Read more.
In the simultaneous flue gas desulfurization and denitrification by biological combined with chelating absorption technology, SO2 and NO are converted into sulfate and Fe(II)EDTA-NO which need to be reduced in biological reactor. Increasing the removal loads of sulfate and Fe(II)EDTA-NO and converting sulfate to elemental sulfur will benefit the application of this process. A moving-bed biofilm reactor was adopted for sulfate and Fe(II)EDTA-NO biological reduction. The removal efficiencies of the sulfate and Fe(II)EDTA-NO were 96% and 92% with the influent loads of 2.88 kg SO42−·m−3·d−1 and 0.48 kg NO·m−3·d−1. The sulfide produced by sulfate reduction could be reduced by increasing the concentrations of Fe(II)EDTA-NO and Fe(III)EDTA. The main reduction products of sulfate and Fe(II)EDTA-NO were elemental sulfur and N2. It was found that the dominant strain of sulfate reducing bacteria in the system was Desulfomicrobium. Pseudomonas, Sulfurovum and Arcobacter were involved in the reduction of Fe(II)EDTA-NO. Full article
(This article belongs to the Special Issue Bio-Transformation and Mineralization Induced by Microorganisms)
Show Figures

Figure 1

16 pages, 1248 KB  
Article
Speciation of Chromium in Alkaline Soil Extracts by an Ion-Pair Reversed Phase HPLC-ICP MS Method
by Barbara Leśniewska and Beata Godlewska-Żyłkiewicz
Molecules 2019, 24(6), 1172; https://doi.org/10.3390/molecules24061172 - 25 Mar 2019
Cited by 21 | Viewed by 4843
Abstract
The aim of this work was to study by a hyphenated HPLC-ICP MS technique the chromium species released during alkaline extraction of various soils collected from a contaminated area of an old tannery. An ultrasound-assisted extraction procedure using 0.1 mol L−1 Na [...] Read more.
The aim of this work was to study by a hyphenated HPLC-ICP MS technique the chromium species released during alkaline extraction of various soils collected from a contaminated area of an old tannery. An ultrasound-assisted extraction procedure using 0.1 mol L−1 Na2CO3 solution was developed for the release of chromium species from the soil. The chromium species in the soil extracts were separated on a C8 column using EDTA and TBAH solution as a mobile phase. The use of an ICP-QQQ MS spectrometer in tandem mass configuration (MS/MS) combined with an octopole reaction system (ORS3) pressurized with helium allows one to eliminate spectral interferences during Cr determination in the soil extracts. The detection limit of the procedure was 0.08 µg L−1 for Cr(III) and 0.09 µg L−1 for Cr(VI) species. The trueness of the IP RP HPLC-ICP MS method was proved by an analysis of CRM 041 and CRM 060. The advantage of the proposed method is the analysis of soil extracts without their preliminary neutralization, which limits the losses of Cr(VI) due to the reduction process. The analysed soils mainly contained chromium in immobile forms (94.6–98.5% of the total Cr content). In all alkaline soil extracts mostly the Cr(VI) form was found, but in the extract of organic soils Cr(III) was also present. This arose from the reduction of Cr(VI) species by organic matter (humic acids) and Fe(II). The amount of formed Cr(III) species was dependent on the type of soil (content of organic matter, Mn and Fe) and its moistness. For the first time, the presence of neutral and non-polar chromium fractions in the soil extracts was also demonstrated. It was found that reliable speciation analysis results could be obtained for mineral soils. Full article
(This article belongs to the Special Issue Trends in Environmental Analytical Chemistry)
Show Figures

Graphical abstract

13 pages, 648 KB  
Article
Dibenzocyclamnickel(II) as Ionophore in PVC-Matrix for Ni2+-Selective Sensor
by Vinod K. Gupta, Rajendra Prasad and Azad Kumar
Sensors 2002, 2(10), 384-396; https://doi.org/10.3390/s21000384 - 8 Oct 2002
Cited by 31 | Viewed by 8620
Abstract
The tetramethyldibenzocyclam derivative, was synthesized and characterized and was used for fabrication of potentiometric sensor for Ni2+ metal ion. 5,7,8,14-tetramethyldibenzo[b,i]-1,4,8,11-tetrazacyclotetradecanenickel(II)chloride, ([Ni(Me4Bzo2[14]ane N4)]Cl2) (II) was obtained in good yield as orange red salt by Fe/HCl [...] Read more.
The tetramethyldibenzocyclam derivative, was synthesized and characterized and was used for fabrication of potentiometric sensor for Ni2+ metal ion. 5,7,8,14-tetramethyldibenzo[b,i]-1,4,8,11-tetrazacyclotetradecanenickel(II)chloride, ([Ni(Me4Bzo2[14]ane N4)]Cl2) (II) was obtained in good yield as orange red salt by Fe/HCl reduction of the corresponding tetraazaannulene complex [Ni(Me4Bzo2taa)], (I). Membrane having [Ni(Me4Bzo2[14]aneN4)]Cl2 (II) as electroactive material, sodium tetraphenylborate (NaTPB) as an anion discriminator, dibutyl butylphosphonate (DBBP) as plasticizer in PVC matrix in the percentage ratio 5.0:2.5:200:200 (II:NaTPB:DBBP:PVC)(w/w) exhibits a linear response to Ni2+ in the concentration range 7.0×10-6- 1.0×10-1M with a slope of 29.8±0.2 mV/decade of activity and a fast response time of 12s. The sensor works well in the pH range 2.0-7.6 and can be satisfactorily used in presence of 40% (v/v) methanol, ethanol or acetone. The sensor is highly selective for Ni2+ over a large number of mono-, biand trivalent cations. The sensor has been successfully used as indicator electrode in the potentiometric titration of Ni2+ against EDTA. These electrodes can be used to determine the concentration of Ni2+ in real samples. Full article
(This article belongs to the Special Issue Ion Sensors)
Show Figures

Figure 1

Back to TopTop