Sign in to use this feature.

Years

Between: -

Subjects

remove_circle_outline
remove_circle_outline
remove_circle_outline
remove_circle_outline
remove_circle_outline
remove_circle_outline
remove_circle_outline
remove_circle_outline
remove_circle_outline

Journals

Article Types

Countries / Regions

Search Results (29)

Search Parameters:
Keywords = FFP2 respirators

Order results
Result details
Results per page
Select all
Export citation of selected articles as:
19 pages, 4597 KB  
Article
Personal Air-Quality Monitoring with Sensor-Based Wireless Internet-of-Things Electronics Embedded in Protective Face Masks
by Lajos Kuglics, Attila Géczy, Karel Dusek, David Busek and Balázs Illés
Sensors 2024, 24(8), 2601; https://doi.org/10.3390/s24082601 - 18 Apr 2024
Cited by 4 | Viewed by 4263
Abstract
In this paper, the design and research of a sensor-based personal air-quality monitoring device are presented, which is retrofitted into different personal protective face masks. Due to its small size and low power consumption, the device can be integrated into and applied in [...] Read more.
In this paper, the design and research of a sensor-based personal air-quality monitoring device are presented, which is retrofitted into different personal protective face masks. Due to its small size and low power consumption, the device can be integrated into and applied in practical urban usage. We present our research and the development of the sensor node based on a BME680-type environmental sensor cluster with a wireless IoT (Internet of Things)-capable central unit and overall low power consumption. The integration of the sensor node was investigated with traditional medical masks and a professional FFP2-type mask. The filtering efficiency after embedding was validated with a head model and a particle counter. We found that the professional mask withstood the embedding without losing the protective filtering aspect. We compared the inner and outer sensor data and investigated the temperature, pressure, humidity, and AQI (Air Quality Index) relations with possible sensor data-fusion options. The novelty is increased with the dual-sensor layout (inward and outward). It was found that efficient respiration monitoring is achievable with the device. With the analysis of the recorded data, characteristic signals were identified in an urban environment, enabling urban altimetry and urban zone detection. The results promote smart city concepts and help in endeavors related to SDGs (Sustainable Development Goals) 3 and 11. Full article
(This article belongs to the Special Issue Sensing Technologies and Wireless Communications for Industrial IoT)
Show Figures

Figure 1

16 pages, 687 KB  
Review
Use of Hydrogen Peroxide Vapour for Microbiological Disinfection in Hospital Environments: A Review
by Aaqib Ayub, Yuen Ki Cheong, Jesus Calvo Castro, Oliver Cumberlege and Andreas Chrysanthou
Bioengineering 2024, 11(3), 205; https://doi.org/10.3390/bioengineering11030205 - 22 Feb 2024
Cited by 16 | Viewed by 8374
Abstract
Disinfection of nosocomial pathogens in hospitals is crucial to combat healthcare-acquired infections, which can be acquired by patients, visitors and healthcare workers. However, the presence of a wide range of pathogens and biofilms, combined with the indiscriminate use of antibiotics, presents infection control [...] Read more.
Disinfection of nosocomial pathogens in hospitals is crucial to combat healthcare-acquired infections, which can be acquired by patients, visitors and healthcare workers. However, the presence of a wide range of pathogens and biofilms, combined with the indiscriminate use of antibiotics, presents infection control teams in healthcare facilities with ongoing challenges in the selection of biocides and application methods. This necessitates the development of biocides and innovative disinfection methods that overcome the shortcomings of conventional methods. This comprehensive review finds the use of hydrogen peroxide vapour to be a superior alternative to conventional methods. Motivated by observations in previous studies, herein, we provide a comprehensive overview on the utilisation of hydrogen peroxide vapour as a superior high-level disinfection alternative in hospital settings. This review finds hydrogen peroxide vapour to be very close to an ideal disinfectant due to its proven efficacy against a wide range of microorganisms, safety to use, lack of toxicity concerns and good material compatibility. The superiority of hydrogen peroxide vapour was recently demonstrated in the case of decontamination of N95/FFP2 masks for reuse to address the critical shortage caused by the severe acute respiratory syndrome coronavirus 2 (SARS-CoV-2) during the COVID-19 pandemic. Despite the significant number of studies demonstrating antimicrobial activity, there remains a need to critically understand the mechanism of action by performing studies that simultaneously measure damage to all bacterial cell components and assess the correlation of this damage with a reduction in viable cell count. This can lead to improvement in antimicrobial efficacy and foster the development of superior approaches. Full article
(This article belongs to the Section Biomedical Engineering and Biomaterials)
Show Figures

Figure 1

21 pages, 4368 KB  
Article
Upscaling of Electrospinning Technology and the Application of Functionalized PVDF-HFP@TiO2 Electrospun Nanofibers for the Rapid Photocatalytic Deactivation of Bacteria on Advanced Face Masks
by Adriano Cimini, Alessia Borgioni, Elena Passarini, Chiara Mancini, Anacleto Proietti, Luca Buccini, Eleonora Stornelli, Emily Schifano, Simone Dinarelli, Francesco Mura, Claudia Sergi, Irene Bavasso, Barbara Cortese, Daniele Passeri, Enrico Imperi, Teresa Rinaldi, Alfredo Picano and Marco Rossi
Polymers 2023, 15(23), 4586; https://doi.org/10.3390/polym15234586 - 30 Nov 2023
Cited by 6 | Viewed by 3725
Abstract
In recent years, Electrospinning (ES) has been revealed to be a straightforward and innovative approach to manufacture functionalized nanofiber-based membranes with high filtering performance against fine Particulate Matter (PM) and proper bioactive properties. These qualities are useful for tackling current issues from bacterial [...] Read more.
In recent years, Electrospinning (ES) has been revealed to be a straightforward and innovative approach to manufacture functionalized nanofiber-based membranes with high filtering performance against fine Particulate Matter (PM) and proper bioactive properties. These qualities are useful for tackling current issues from bacterial contamination on Personal Protective Equipment (PPE) surfaces to the reusability of both disposable single-use face masks and respirator filters. Despite the fact that the conventional ES process can be upscaled to promote a high-rate nanofiber production, the number of research works on the design of hybrid materials embedded in electrospun membranes for face mask application is still low and has mainly been carried out at the laboratory scale. In this work, a multi-needle ES was employed in a continuous processing for the manufacturing of both pristine Poly (Vinylidene Fluoride-co-Hexafluoropropylene) (PVDF-HFP) nanofibers and functionalized membrane ones embedded with TiO2 Nanoparticles (NPs) (PVDF-HFP@TiO2). The nanofibers were collected on Polyethylene Terephthalate (PET) nonwoven spunbond fabric and characterized by using Scanning Electron Microscopy and Energy Dispersive X-ray (SEM-EDX), Raman spectroscopy, and Atomic Force Microscopy (AFM) analysis. The photocatalytic study performed on the electrospun membranes proved that the PVDF-HFP@TiO2 nanofibers provide a significant antibacterial activity for both Staphylococcus aureus (~94%) and Pseudomonas aeruginosa (~85%), after only 5 min of exposure to a UV-A light source. In addition, the PVDF-HFP@TiO2 nanofibers exhibit high filtration efficiency against submicron particles (~99%) and a low pressure drop (~3 mbar), in accordance with the standard required for Filtering Face Piece masks (FFPs). Therefore, these results aim to provide a real perspective on producing electrospun polymer-based nanotextiles with self-sterilizing properties for the implementation of advanced face masks on a large scale. Full article
(This article belongs to the Special Issue Advances in Synthesis and Application of Biomedical Polymer Materials)
Show Figures

Graphical abstract

22 pages, 5871 KB  
Article
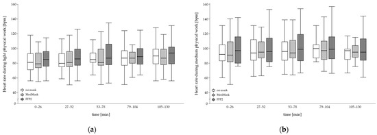
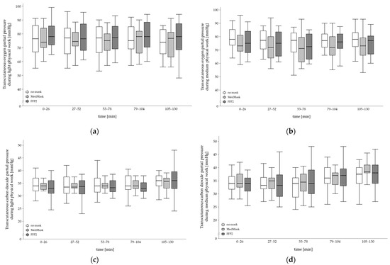
Influence of Face Masks on Physiological and Subjective Response during 130 Min of Simulated Light and Medium Physical Manual Work—An Explorative Study
by Benjamin Steinhilber, Robert Seibt, Julia Gabriel, Mona Bär, Ümütyaz Dilek, Adrian Brandt, Peter Martus and Monika A. Rieger
Healthcare 2023, 11(9), 1308; https://doi.org/10.3390/healthcare11091308 - 3 May 2023
Cited by 6 | Viewed by 2452
Abstract
Background: Undesirable side effects from wearing face masks during the ongoing COVID-19 pandemic continue to be discussed and pose a challenge to occupational health and safety when recommending safe application. Only few studies examined the effects of continuously wearing a face mask for [...] Read more.
Background: Undesirable side effects from wearing face masks during the ongoing COVID-19 pandemic continue to be discussed and pose a challenge to occupational health and safety when recommending safe application. Only few studies examined the effects of continuously wearing a face mask for more than one hour. Therefore, the influence of wearing a medical mask (MedMask) and a filtering facepiece class II respirator (FFP2) on the physiological and subjective outcomes in the course of 130 min of manual work was exploratively investigated. Physical work load and cardiorespiratory fitness levels were additionally considered as moderating factors. Methods: Twenty-four healthy subjects (12 females) from three different cardiorespiratory fitness levels each performed 130 min of simulated manual work with light and medium physical workload using either no mask, a MedMask or FFP2. Heart rate, transcutaneous oxygen and carbon dioxide partial pressure (PtcO2, PtcCO2) as well as perceived physical exertion and respiratory effort were assessed continuously at discrete time intervals. Wearing comfort of the masks were additionally rated after the working period. Results: There was no difference in time-dependent changes of physiological outcomes when using either a MedMask or a FFP2 compared to not wearing a mask. A stronger increase over time in perceived respiratory effort occurred when the face masks were worn, being more prominent for FFP2. Physical workload level and cardiorespiratory fitness level were no moderating factors and higher wearing comfort was rated for the MedMask. Conclusion: Our results suggest that using face masks during light and medium physical manual work does not induce detrimental side effects. Prolonged wearing episodes appeared to increase respiratory effort, but without affecting human physiology in a clinically relevant way. Full article
Show Figures

Figure 1

16 pages, 3613 KB  
Article
Low-VOC Emission Label Proposal for Facemask Safety Based on Respiratory and Skin Health Criteria
by Gabriela Ventura Silva, Anabela O. Martins, Susana D. S. Martins and Teresa M. Mata
Environments 2023, 10(1), 10; https://doi.org/10.3390/environments10010010 - 3 Jan 2023
Cited by 3 | Viewed by 4754
Abstract
One of the main preventive measures recognized by WHO and implemented to mitigate the COVID-19 epidemic impact, by controlling the transmission of coronavirus, was the use of a facemask. Since a facemask is an accessory that can be used several hours a day, [...] Read more.
One of the main preventive measures recognized by WHO and implemented to mitigate the COVID-19 epidemic impact, by controlling the transmission of coronavirus, was the use of a facemask. Since a facemask is an accessory that can be used several hours a day, through which the air we breathe passes, and which is in contact with the face skin, it must not cause discomfort to the wearer and must not contain toxic, irritating or sensitizing substances. Therefore, it is of utmost importance to identify the toxic chemical compounds present in the facemask material. Hence, the present study aims to discuss a proposal for a low-VOC emission label to be assigned to facemasks’ materials in terms of respiratory and skin health. Two types of tests were proposed, one for analysis of VOC emissions, to assess the user exposure by inhalation, and the other for analysis of the VOC content, for evaluating the user exposure by dermal contact. Nine facemasks of different types: surgical (M1–M3), FFP2 (M4–M6) and reusable (M7–M9), were tested according to these methods. Comparing all the analyzed facemask types, the calculated TVOC dose, resulting from the exposure by inhalation, is very diversified, with low and high values, varying between 0 (in M7) and 2374 µg/day (in M6). However, they are consistently higher for the three analyzed self-filtering FFP2 respirators (M4–M6). Concerning dermal exposure, it is not possible to generalize, but the reusable facemasks analyzed in this work (M7–M9) consistently present higher values of skin-sensitizing compounds than the disposable facemasks (M1–M6). An attempt was made to establish criteria for assigning the low-VOC emission label. The proposed values are suggestions, requiring further studies. The authors expect that the results of this study may lead to future implementation of standards and regulations regarding the chemical compounds present in facemasks materials. Full article
Show Figures

Graphical abstract

9 pages, 3328 KB  
Article
Bioburden Variation of Filtering Face Piece Respirators over Time: A Preliminary Study
by Vittorio Checchi, Marco Montevecchi, Leoluca Valeriani and Luigi Checchi
Materials 2022, 15(24), 8790; https://doi.org/10.3390/ma15248790 - 9 Dec 2022
Cited by 3 | Viewed by 1831
Abstract
Background: The microbial contamination of a respirator can be evaluated through a count of the number of bacteria living on a non-sterilized surface (bioburden). This preliminary study investigated the external contamination of two different FFP2s over time by studying the bioburden values in [...] Read more.
Background: The microbial contamination of a respirator can be evaluated through a count of the number of bacteria living on a non-sterilized surface (bioburden). This preliminary study investigated the external contamination of two different FFP2s over time by studying the bioburden values in increasing exposure times. Methods: FFP2 respirators of two different brands were used during routine clinical settings and examined through the bioburden test; for each brand, three devices were tested at 8, 16, and 30 h. Results: No significant differences were observed between mask brands (p = 0.113). There were only significant CFU differences between each mask and its control (p = 0.027 and p = 0.004). Conclusions: Both brands of respirators were found to be contaminated and this contamination increased with the increase in exposure time. Further studies are needed to investigate the exact amount of contamination that could be considered acceptable before discarding each used mask. Full article
(This article belongs to the Special Issue Multifunctional and Protective Textiles)
Show Figures

Figure 1

9 pages, 1196 KB  
Article
Feasibility of Mouth-to-Mouth Ventilation through FFP2 Respirator in BLS Training during COVID-19 Pandemic (MOVERESP Study): Simulation-Based Study
by Martina Kosinová, Petr Štourač, Tereza Prokopová, Tereza Vafková, Václav Vafek, Daniel Barvík, Tamara Skříšovská, Jan Dvořáček, Jana Djakow, Jozef Klučka, Jiří Jarkovský and Pavel Plevka
Children 2022, 9(11), 1751; https://doi.org/10.3390/children9111751 - 15 Nov 2022
Cited by 1 | Viewed by 2105
Abstract
Background: Due to the COVID-19 pandemic, Basic Life Support (BLS) training has been limited to compression-only or bag–mask ventilation. The most breathable nanofiber respirators carry the technical possibility for inflation of the mannequin. The aim of this study was to assess the efficacy [...] Read more.
Background: Due to the COVID-19 pandemic, Basic Life Support (BLS) training has been limited to compression-only or bag–mask ventilation. The most breathable nanofiber respirators carry the technical possibility for inflation of the mannequin. The aim of this study was to assess the efficacy of mouth-to-mouth breathing through a FFP2 respirator during BLS. Methods: In the cross-over simulation-based study, the medical students performed BLS using a breathable nanofiber respirator for 2 min on three mannequins. The quantitative and qualitative efficacy of mouth-to-mouth ventilation through the respirator in BLS training was analyzed. The primary aim was the effectivity of mouth-to-mouth ventilation through a breathable respirator. The secondary aims were mean pause, longest pause, success in achieving the optimal breath volume, technique of ventilation, and incidence of adverse events. Results: In 104 students, effective breath was reached in 951 of 981 (96.9%) attempts in Adult BLS mannequin (Prestan), 822 of 906 (90.7%) in Resusci Anne, and 1777 of 1857 (95.7%) in Resusci Baby. In Resusci Anne and Resusci Baby, 28.9%/15.9% of visible chest rises were evaluated as low-, 33.0%/44.0% as optimal-, and 28.8%/35.8% as high-volume breaths. Conclusions: Mouth-to-mouth ventilation through a breathable respirator had an effectivity greater than 90%. Full article
Show Figures

Figure 1

16 pages, 3625 KB  
Article
COVID-19 among Czech Dentistry Students: Higher Vaccination and Lower Prevalence Compared to General Population Counterparts
by Jan Schmidt, Lenka Vavrickova, Christos Micopulos, Jakub Suchanek, Nela Pilbauerova, Vojtech Perina and Martin Kapitan
Vaccines 2022, 10(11), 1927; https://doi.org/10.3390/vaccines10111927 - 14 Nov 2022
Cited by 5 | Viewed by 1979
Abstract
The restrictions on medical students’ clinical education during the COVID-19 pandemic has affected their professional readiness and often lengthened their training. These negative impacts are often considered a necessary price as clinical education is hypothesized to be associated with a high risk of [...] Read more.
The restrictions on medical students’ clinical education during the COVID-19 pandemic has affected their professional readiness and often lengthened their training. These negative impacts are often considered a necessary price as clinical education is hypothesized to be associated with a high risk of pandemic spread. This work assesses this hypothesis based on COVID-19 epidemiological data among Czech dentistry students and their comparison to data of the Czech general population of similar age. We addressed two of the five Czech medical faculties (Charles University, Faculty of Medicine in Hradec Kralove and in Pilsen) providing dentistry study program with a survey. A total of 240 students participated, representing a 66.9% response rate. Over 75% of respondents participated in clinical education during the pandemic. The school environment was identified as a place of infection by only 9.8% of respondents who were aware of where they were infected. Overall, 100% of students used FFP2 respirators, and 75.3% used face shields or protective glasses while working with patients. By the end of May 2022, COVID-19 full vaccination and 1st booster rates among students were 93.8% and 54.6%, respectively, which is significantly higher (p < 0.0001, OR 7.3, 95% CI 4.4–12; p < 0.0001, OR 3.7, 95% CI 2.9–4.8, respectively) compared to their peers from the general population (67.1% and 24.4%, respectively). A total of 75.4% of respondents supported mandatory COVID-19 vaccination for healthcare professionals. To the same date, PCR and/or antigen test verified COVID-19 prevalence among students was 37.1%, while among peers from the general population, it was 45.1% (p = 0.015, OR 1.2, 95% CI 1.0–1.5). The combination of extensive protective measures and high vaccination against COVID-19 led to significantly lower COVID-19 prevalence among the students compared to their general population counterparts. Full article
(This article belongs to the Special Issue Dentistry and Vaccines)
Show Figures

Figure 1

17 pages, 2739 KB  
Article
How Are You Feeling? Interpretation of Emotions through Facial Expressions of People Wearing Different Personal Protective Equipment: An Observational Study
by José Luis Díaz-Agea, María José Pujalte-Jesús, Vanessa Arizo-Luque, Juan Antonio García-Méndez, Isabel López-Chicheri-García and Andrés Rojo-Rojo
Nurs. Rep. 2022, 12(4), 758-774; https://doi.org/10.3390/nursrep12040075 - 17 Oct 2022
Cited by 1 | Viewed by 3385
Abstract
(1) Background: The perception of others’ emotions based on non-verbal cues, such as facial expressions, is fundamental for interpersonal communication and mutual support. Using personal protection equipment (PPE) in a work environment during the SAR-CoV-2 pandemic challenged health professionals’ ability to recognise emotions [...] Read more.
(1) Background: The perception of others’ emotions based on non-verbal cues, such as facial expressions, is fundamental for interpersonal communication and mutual support. Using personal protection equipment (PPE) in a work environment during the SAR-CoV-2 pandemic challenged health professionals’ ability to recognise emotions and expressions while wearing PPE. The working hypothesis of this study was that the increased limitation of facial visibility, due to the use of a personal protective device, would interfere with the perception of basic emotions in the participants. (2) Methods: Through a cross-sectional descriptive study, the present research aimed to analyse the identification of four basic emotions (happiness; sadness; fear/surprise; and disgust/anger) through three types of PPE (FFP2 respirator, protective overall and powered air-purifying respirator (PAPR)), by using 32 photographs. The study was conducted using volunteer participants who met the inclusion criteria (individuals older than 13 without cognitive limitations). Participants had to recognise the emotions of actors in photographs that were randomly displayed in an online form. (3) Results: In general, the 690 participants better recognised happiness and fear, independently of the PPE utilised. Women could better identify different emotions, along with university graduates and young and middle-aged adults. Emotional identification was at its worst when the participants wore protective overalls (5.42 ± 1.22), followed by the PAPR (5.83 ± 1.38); the best scores were obtained using the FFP2 masks (6.57 ± 1.20). Sadness was the least recognised emotion, regardless of age. (4) Conclusions: The personal protective devices interfere in the recognition of emotions, with the protective overalls having the greatest impact, and the FFP2 mask the least. The emotions that were best recognised were happiness and fear/surprise, while the least recognised emotion was sadness. Women were better at identifying emotions, as well as participants with higher education, and young and middle-aged adults. Full article
Show Figures

Figure 1

10 pages, 1400 KB  
Article
Radon Progeny Adsorption on Facial Masks
by Annika Hinrichs, Claudia Fournier, Gerhard Kraft and Andreas Maier
Int. J. Environ. Res. Public Health 2022, 19(18), 11337; https://doi.org/10.3390/ijerph191811337 - 9 Sep 2022
Cited by 6 | Viewed by 3639
Abstract
The radioactive noble gas radon and its short-living progeny are inhaled during respiration, depositing their decay energies in the lungs. These progeny are considered responsible for more than 95% of the total effective dose and are, together with radon, classified as carcinogenic for [...] Read more.
The radioactive noble gas radon and its short-living progeny are inhaled during respiration, depositing their decay energies in the lungs. These progeny are considered responsible for more than 95% of the total effective dose and are, together with radon, classified as carcinogenic for lung cancer. Consequently, filtration of the progeny could reduce the dose to the lungs. In our study, we investigated the filtration properties of FFP2 versus surgical masks (II R) for radon and its decay products. The masks were attached to a measurement device, which enabled determination of the size distribution of radon progeny, ranging from unattached to clustered progeny. In parallel, it measured the radon activity concentration during experiments. By comparing background measurements without mask and experiments with masks, the percentage of retained unattached radon progeny was determined for FFP2 (98.8 ± 0.6%) and II R masks (98.4 ± 0.7%). For clustered progeny, the retained fraction was 85.2 ± 18.1% for FFP2 and 79.5 ± 22.1% for II R masks while radon was not filtered. We can show that masks are effective in filtering radon progeny and thus are capable of reducing the total effective dose to the lungs. Full article
(This article belongs to the Special Issue Environmental Radioactivity Monitoring and Measurements: Radon)
Show Figures

Figure 1

13 pages, 14407 KB  
Article
The Mask Fitter, a Simple Method to Improve Medical Face Mask Adaptation Using a Customized 3D-Printed Frame during COVID-19: A Survey on Users’ Acceptability in Clinical Dentistry
by Alessandro Vichi, Dario Balestra, Cecilia Goracci, David R. Radford and Chris Louca
Appl. Sci. 2022, 12(17), 8921; https://doi.org/10.3390/app12178921 - 5 Sep 2022
Cited by 4 | Viewed by 2660
Abstract
COVID-19 has deeply impacted clinical strategies in dentistry and the use of surgical masks and respirators has become critical. They should adapt to the person’s facial anatomy, but this is not always easy to achieve. Bellus3D Company proposed to apply their face scan [...] Read more.
COVID-19 has deeply impacted clinical strategies in dentistry and the use of surgical masks and respirators has become critical. They should adapt to the person’s facial anatomy, but this is not always easy to achieve. Bellus3D Company proposed to apply their face scan software, used with selected smartphones and tablets, to design and 3D-print a bespoke “Mask Fitter” to improve the sealing of surgical masks and respirators. Twenty dental staff participants were face scanned and a Mask Fitter for FFP2 respirators was designed and 3D-printed. Participants were asked to wear their Mask Fitter over one week and then completed a survey. Questions were asked about wearing comfort, sealing confidence, glasses or loupes fogging, both with and without the Mask Fitter. Dental staff gave positive feedback, with levels of comfort during daily use reported as similar with and without the Mask Fitter; and a higher confidence in achieving a proper seal, ranging from a 10% confidence rating of a proper seal without the Mask Fitter to 75% with the Mask Fitter. Moreover, fogging problems decreased considerably. The tested Mask Fitter device could represent an easy and low-cost procedure to improve the facial adaptation of the FFP2 respirator. Full article
(This article belongs to the Special Issue 3D Printed Materials Dentistry)
Show Figures

Figure 1

14 pages, 2549 KB  
Article
Development of an Ultraviolet-C Irradiation Room in a Public Portuguese Hospital for Safe Re-Utilization of Personal Protective Respirators
by Jorge Padrão, Talita Nicolau, Helena P. Felgueiras, Carla Calçada, Maria Isabel Veiga, Nuno S. Osório, Marcos S. Martins, Nuno Dourado, António Taveira-Gomes, Fernando Ferreira and Andrea Zille
Int. J. Environ. Res. Public Health 2022, 19(8), 4854; https://doi.org/10.3390/ijerph19084854 - 16 Apr 2022
Cited by 9 | Viewed by 2948
Abstract
Almost two years have passed since COVID-19 was officially declared a pandemic by the World Health Organization. However, it still holds a tight grasp on the entire human population. Several variants of concern, one after another, have spread throughout the world. The severe [...] Read more.
Almost two years have passed since COVID-19 was officially declared a pandemic by the World Health Organization. However, it still holds a tight grasp on the entire human population. Several variants of concern, one after another, have spread throughout the world. The severe acute respiratory syndrome coronavirus 2 (SARS-CoV-2) omicron variant may become the fastest spreading virus in history. Therefore, it is more than evident that the use of personal protective equipment (PPE) will continue to play a pivotal role during the current pandemic. This work depicts an integrative approach attesting to the effectiveness of ultra-violet-C (UV-C) energy density for the sterilization of personal protective equipment, in particular FFP2 respirators used by the health care staff in intensive care units. It is increasingly clear that this approach should not be limited to health care units. Due to the record-breaking spreading rates of SARS-CoV-2, it is apparent that the use of PPE, in particular masks and respirators, will remain a critical tool to mitigate future pandemics. Therefore, similar UV-C disinfecting rooms should be considered for use within institutions and companies and even incorporated within household devices to avoid PPE shortages and, most importantly, to reduce environmental burdens. Full article
Show Figures

Figure 1

9 pages, 589 KB  
Article
Effect of Face Masks on Blood Saturation, Heart Rate, and Well-Being Indicators in Health Care Providers Working in Specialized COVID-19 Center
by Izabela Wojtasz, Szczepan Cofta, Paweł Czudaj, Krystyna Jaracz and Radosław Kaźmierski
Int. J. Environ. Res. Public Health 2022, 19(3), 1397; https://doi.org/10.3390/ijerph19031397 - 26 Jan 2022
Cited by 8 | Viewed by 3117
Abstract
This study aims to investigate whether wearing face masks (filtering facepieces, FFP class 2) with personal protective equipment (FPP2/PPE), while working a 12-h shift in a COVID-19 referral center, affects the blood saturation, heart rate (HR), and well-being of health care providers (HCPs). [...] Read more.
This study aims to investigate whether wearing face masks (filtering facepieces, FFP class 2) with personal protective equipment (FPP2/PPE), while working a 12-h shift in a COVID-19 referral center, affects the blood saturation, heart rate (HR), and well-being of health care providers (HCPs). The study included a group of 37 HCPs. To perform continuous recordings of the SpO2 and heart rate (HR) in real time, we used a Nellcor PM10N (Covidien, Mansfield, MA, USA) portable monitoring system. SpO2, HR, and HCP well-being scales were measured during two 3-h shifts, while HCPs worked during a 12-h period. Additionally, each subject completed a questionnaire concerning their well-being. The difference in the SpO2 level between the 1st and 2nd working shifts while wearing an FFP2/PPE was small, with a median decrease in SpO2 of −1%. The scales of the well-being indicators increased within the shift. They were mainly fatigue and thirst with median scores of 2 out of 6 (range 0–4). We assume that during a 12-h period, a work scheme that consists of a 3-h shift in FFP2/PPE and a 3-h rest period (working without FPP2/PPE) is a reliable and safe solution for HCPs working in specialized COVID-19 referral hospitals. Full article
(This article belongs to the Section Disease Prevention)
Show Figures

Figure 1

18 pages, 8023 KB  
Article
Effectiveness of Safety Interventions in Fire Engines to Reduce Potential Airborne Transmission of SARS-CoV-2
by Elmar Bourdon, Thomas Schaefer, Maximilian Kittel, Matthias Raedle and Alexandra Heininger
Fire 2021, 4(4), 98; https://doi.org/10.3390/fire4040098 - 19 Dec 2021
Cited by 1 | Viewed by 4320
Abstract
Physical distancing and wearing a face mask are key interventions to prevent COVID-19. While this remains difficult to practice for millions of firefighters in fire engines responding to emergencies, the delayed forthcoming of evidence on the effectiveness of such safety interventions in this [...] Read more.
Physical distancing and wearing a face mask are key interventions to prevent COVID-19. While this remains difficult to practice for millions of firefighters in fire engines responding to emergencies, the delayed forthcoming of evidence on the effectiveness of such safety interventions in this setting presents a major problem. In this field experimental study, we provided initial evidence to close this gap. We examined total aerosol burden in the cabin of a fire engine whilst manipulating crew size, use of FFP2 respirators and use of SCBA full-face masks during 15-min driving periods. At the same time, we controlled for crew activity and speaking, vehicle speed, cabin ventilation, cabin air temperature, pressure and humidity. Limiting the crew size, using FFP2 respirators and not donning SCBA full-face masks was associated with a reduction of the arithmetic mean of total aerosol burden of up to 49%. This study provided initial evidence on the effectiveness of safety interventions in fire engines to reduce potential airborne transmission of SARS-CoV-2 through aerosols. More research about the physical and the clinical effectiveness of such safety interventions is needed. Full article
Show Figures

Figure 1

12 pages, 2014 KB  
Article
Characterization and Filtration Efficiency of Sustainable PLA Fibers Obtained via a Hybrid 3D-Printed/Electrospinning Technique
by Mattia Pierpaoli, Chiara Giosuè, Natalia Czerwińska, Michał Rycewicz, Aleksandra Wieloszyńska, Robert Bogdanowicz and Maria Letizia Ruello
Materials 2021, 14(22), 6766; https://doi.org/10.3390/ma14226766 - 10 Nov 2021
Cited by 15 | Viewed by 3910
Abstract
The enormous world demand for personal protective equipment to face the current SARS-CoV-2 epidemic has revealed two main weaknesses. On one hand, centralized production led to an initial shortage of respirators; on the other hand, the world demand for single-use equipment has had [...] Read more.
The enormous world demand for personal protective equipment to face the current SARS-CoV-2 epidemic has revealed two main weaknesses. On one hand, centralized production led to an initial shortage of respirators; on the other hand, the world demand for single-use equipment has had a direct and inevitable effect on the environment. Polylactide (PLA) is a biodegradable, biocompatible, and renewable thermoplastic polyester, mainly derived from corn starch. Electrospinning is an established and reproducible method to obtain nano- and microfibrous materials with a simple apparatus, characterized by high air filtration efficiencies. In the present work, we designed and optimized an open-source electrospinning setup, easily realizable with a 3D printer and using components widely available, for the delocalized production of an efficient and sustainable particulate matter filter. Filters were realized on 3D-printed PLA support, on which PLA fibers were subsequently electrospun. NaCl aerosol filtration tests exhibited an efficiency greater than 95% for aerosol having an equivalent diameter greater than 0.3 μm and a fiber diameter comparable to the commercially available FFP2 melt-blown face mask. The particulate entrapped by the filters when operating in real environments (indoors, outdoors, and working scenario) was also investigated, as well as the amount of heavy metals potentially released into the environment after filtration activity. Full article
Show Figures

Graphical abstract

Back to TopTop