Sign in to use this feature.

Years

Between: -

Subjects

remove_circle_outline
remove_circle_outline
remove_circle_outline
remove_circle_outline
remove_circle_outline
remove_circle_outline

Journals

Article Types

Countries / Regions

Search Results (10)

Search Parameters:
Keywords = Eulerian Wall-Film model

Order results
Result details
Results per page
Select all
Export citation of selected articles as:
21 pages, 4760 KB  
Article
Experimentally Informed Numerical Simulations of Spray Deposition and Runoff Doses in a 10-Day-Old Nose Model
by Jack Yongfeng Zhang, Mary Ziping Luo, Ray Lameng Lei, Sung-An Lin, Xiuhua Si and Jinxiang Xi
Pharmaceuticals 2026, 19(2), 217; https://doi.org/10.3390/ph19020217 - 27 Jan 2026
Abstract
Background: Intranasal drug delivery is a preferred route for emergency administration of naloxone in opioid overdose due to its rapid onset of action and ease of use. However, limited knowledge exists on the delivery efficiency and safety of nasal sprays in neonates, particularly [...] Read more.
Background: Intranasal drug delivery is a preferred route for emergency administration of naloxone in opioid overdose due to its rapid onset of action and ease of use. However, limited knowledge exists on the delivery efficiency and safety of nasal sprays in neonates, particularly in life-threatening situations such as coma states where breathing is compromised. This study presents a physiology-based simulation of spray deposition and runoff loss in a 10-day-old infant nose model. Methods: Spray characteristics, including droplet size distribution, exiting velocity, and plume angle, were measured and implemented in ANSYS Fluent droplet tracking model. Naloxone film thickness was measured on ex vivo porcine nasal mucosa at varying angles and used in the Eulerian Wall-Film model. Simulations were conducted in a 10-day-old nose geometry across multiple doses (0.25, 0.50, 1.0, and 2.0 mL) in supine and 45° inclined postures to quantify regional deposition, liquid film translocation, and pharyngeal runoff. Results: While a 0.25 mL spray was fully retained in the nasal passages, higher doses exceeded the mucosal holding capacity and caused significant runoff. Runoff into the pharynx was 18.5% and 10.1% for the spray volume of 0.50 mL in the 45° back tilt and supine positions, respectively. The 1.0 mL spray caused 55.1% and 53.5% runoff in the 45° back tilt and supine positions, while the 2.0 mL spray caused 77.5% and 76.8% runoff in the 45° back tilt and supine positions, respectively. Conclusions: These findings highlight the critical influence of spray volume on drug delivery outcomes in neonates and provide quantitative guidance for optimizing intranasal naloxone administration in emergency pediatric care. Full article
(This article belongs to the Section Pharmaceutical Technology)
Show Figures

Graphical abstract

17 pages, 2448 KB  
Review
A Literature Review on Numerical Simulation of Thermal Anti-Icing
by Ningli Chen, Xian Yi, Qiang Wang, Delin Chai and Cong Li
Aerospace 2025, 12(2), 83; https://doi.org/10.3390/aerospace12020083 - 24 Jan 2025
Cited by 3 | Viewed by 2390
Abstract
This paper reviews the numerical simulation method for thermal anti-icing. Typically, the numerical study of an anti-icing system involves a coupled simulation of various physical processes: airflow, droplet flow, thin water film flow on the wall, and heat conduction within the solid wall. [...] Read more.
This paper reviews the numerical simulation method for thermal anti-icing. Typically, the numerical study of an anti-icing system involves a coupled simulation of various physical processes: airflow, droplet flow, thin water film flow on the wall, and heat conduction within the solid wall. Airflow is commonly simulated using the Reynolds-Averaged Navier–Stokes method, while droplet flow can be modeled using either the Eulerian or Lagrangian approach. For simulating water film flow, there are three primary models: the Messinger model, the SWIM model, and the Myers model. The heat transfer process within the solid wall can be coupled with the external air/droplet and film flow using either a tight-coupling or a loose-coupling method. When simulating an electrothermal anti-icing system, methods such as the equivalent heat conductivity scheme or shell conduction method are employed to handle heat conduction in multi-layer thin walls. To improve the accuracy of thermal anti-icing simulations, additional research is still necessary, focusing on studies on rivulet flow, bead flow, and the heat convection coefficient on the system’s wall. Full article
(This article belongs to the Special Issue Deicing and Anti-Icing of Aircraft (Volume IV))
Show Figures

Figure 1

16 pages, 5348 KB  
Article
Research on the Formation Characteristics of Fog and Frost on Optical Windows of Unsealed Equipment Compartments in Aircrafts
by Chun Shen, Yuanyuan Liang, Bo Wei, Chengchun Zhang and Tian Zhao
Energies 2025, 18(2), 437; https://doi.org/10.3390/en18020437 - 20 Jan 2025
Cited by 1 | Viewed by 1562
Abstract
In this study, a numerical method for the formation and dissipation of fog and frost is established using the Eulerian multiphase flow liquid film model. In this approach, the formation and dissipation of fogging and frosting layers is directly determined by the saturation [...] Read more.
In this study, a numerical method for the formation and dissipation of fog and frost is established using the Eulerian multiphase flow liquid film model. In this approach, the formation and dissipation of fogging and frosting layers is directly determined by the saturation of the water vapor surface, and it does not depend on any empirical coefficients. Additionally, Buck’s formula is used to determine the saturation vapor partial pressure, which is applicable for a relatively wide temperature range (−50 °C to 10 °C). This numerical method was validated by the existing experimental data about fogging and frosting, and afterwards the fogging and frosting processes on the optical observation window in the aircraft are further analyzed for three typical working conditions, namely the ground, the fixed-altitude, and the high-altitude descent. The calculation results show that, under the ground working condition, the maximum thickness of the fog layer on the outer surface of the optical window can completely reach the millimeter level within one hour, and the average thickness of the frost layer can reach the sub-millimeter level, which is one order of magnitude smaller compared to under the ground working condition. Under the high-altitude descent working condition, by setting the fixed wall temperature boundary condition on the outer surface of the glass, it is found that in extreme cases, the maximum thickness of the frost layer on the inner wall of the glass can reach the sub-millimeter level within one hour. The research conclusions provide effective basic data support for the subsequent design of anti-fogging and defrosting devices under flight conditions. Full article
(This article belongs to the Special Issue Heat Transfer Analysis and Optimization in Thermal Energy Storage)
Show Figures

Figure 1

21 pages, 15853 KB  
Article
Numerical Investigation of Film Formation Characteristics and Mechanisms through Airless Spraying on Spherical Surfaces
by Zhaojie Wu, Chuanshuo Wang, Guichun Yang, Shiming Chen, Jimiao Duan and Yan Chen
Coatings 2024, 14(10), 1299; https://doi.org/10.3390/coatings14101299 - 11 Oct 2024
Viewed by 1086
Abstract
This paper focuses on key engineering issues, particularly the overall turbulent transport of paint spray and coating film distribution characteristics, in the process of airless spraying film formation. By deeply considering the geometric features of spherical surfaces and their impact on the near-wall [...] Read more.
This paper focuses on key engineering issues, particularly the overall turbulent transport of paint spray and coating film distribution characteristics, in the process of airless spraying film formation. By deeply considering the geometric features of spherical surfaces and their impact on the near-wall region of the flow field, an airless spraying film formation model consisting of the Eulerian multiphase model, the realizable k–ε turbulence model, and the Eulerian Wall Film model was established. Through numerical simulations of static spraying on the inner and outer walls of spherical surfaces with different radii, the influence of geometric features on the spray flow field and film formation characteristics on spherical surfaces was investigated. Subsequently, based on numerical simulations of dynamic spraying on different nozzle trajectories, the film formation characteristics were analyzed, and the optimal spray trajectory planning method was determined. Additionally, this study examined the coating distribution characteristics during dynamic spraying on spherical surfaces with varying geometric dimensions. Finally, a kind of chlorinated rubber anti-corrosion primer was chosen to carry out spraying experiments, which validated that the airless spray coating model and the corresponding numerical simulation methods established in this paper were reasonable and feasible for investigating the film formation characteristics on spherical surfaces. This work is expected to further promote the application of airless spray techniques in machinery, automotive, shipbuilding, and aviation industries. Full article
Show Figures

Figure 1

16 pages, 2875 KB  
Article
Numerical Investigations of the Cooling Performance of an R410A Closed-Loop Spray Cooling System
by Wenbo Yang, Xuehao Sang, Bin Chen and Dong Li
Energies 2024, 17(2), 339; https://doi.org/10.3390/en17020339 - 9 Jan 2024
Cited by 4 | Viewed by 1662
Abstract
To investigate the spray cooling characteristics and the impact of spray parameters such as chamber pressure, spray height, and spray tilt angle on heat transfer efficiency, a mathematical model based on the Eulerian–Lagrangian frame was established for an R410A closed-loop spray cooling system. [...] Read more.
To investigate the spray cooling characteristics and the impact of spray parameters such as chamber pressure, spray height, and spray tilt angle on heat transfer efficiency, a mathematical model based on the Eulerian–Lagrangian frame was established for an R410A closed-loop spray cooling system. The results revealed that the spray pattern is conical, with the center velocity significantly higher than the edge velocity. The temperature distribution of the cooling surface and liquid film height both exhibit a “W” shape, and the surface temperature is lower where the liquid film is thin. There is an optimal liquid film height of approximately 5 μm, at which the cooling surface temperature is the lowest. The surface temperature increases with an increase in the spray chamber pressure. Considering average cooling surface temperature, the optimal tilt angle is 40° with an average surface temperature of 330.1 K. When considering wall temperature and wall heat transfer coefficient uniformity, however, the optimal tilt angle is 10°, leading to the average surface temperature of 332.6 K. When increasing the optimal spray height to 70 mm, the average surface temperature is 313.4 K. Full article
(This article belongs to the Section J: Thermal Management)
Show Figures

Figure 1

19 pages, 4331 KB  
Article
Numerical Investigation of the Water-Drop Impact on Low-Drag Airfoil Using the Euler–Euler Approach and Eulerian Wall Film Model
by Lingjie Long, Xiaogang Liu, Chenxi Zhao, Zhongyi Wang and Haifeng Sun
Appl. Sci. 2023, 13(13), 7743; https://doi.org/10.3390/app13137743 - 30 Jun 2023
Cited by 3 | Viewed by 2818
Abstract
The Eulerian Wall Film (EWF) model is a mathematical model employed to analyze the behavior of fluid films on a surface. The model has been widely adopted in various engineering applications due to its accuracy and efficiency. However, it is rarely applied in [...] Read more.
The Eulerian Wall Film (EWF) model is a mathematical model employed to analyze the behavior of fluid films on a surface. The model has been widely adopted in various engineering applications due to its accuracy and efficiency. However, it is rarely applied in the aerospace field. The solution of the water-drop impact constitutes an indispensable prerequisite for the computation of ice accretion on the exterior of aircraft wings. In this study, we propose a novel approach for the estimation of water-drop impact on wing surfaces by integrating the Euler–Euler approach and EWF model. This approach is capable of furnishing a point of reference and a theoretical foundation for prospective water-drop impact experiments. Through comparison with pertinent experimental findings, the precision of the numerical simulation approach utilized in this paper is substantiated. Specifically, the research object is the NACA653-218 airfoil of the C-919 transport aircraft, for which the aerodynamic properties, water-drop collision, and liquid film flow characteristics during steady flight were simulated. Full article
(This article belongs to the Special Issue Multiphase and Granular Flows)
Show Figures

Figure 1

15 pages, 14835 KB  
Article
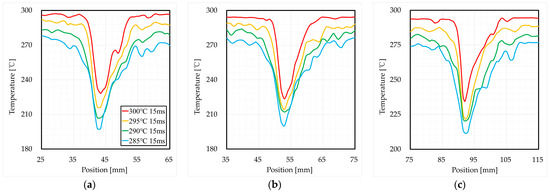
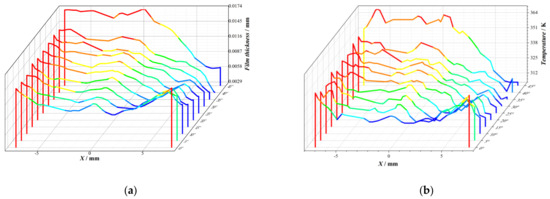
Numerical Investigation of the Heat Transfer Characteristics and Wall Film Formation of Spray Impingement in SCR Systems
by Chuanxin Bai, Kai Liu, Tong Zhao and Jinjin Liu
Appl. Sci. 2023, 13(9), 5353; https://doi.org/10.3390/app13095353 - 25 Apr 2023
Cited by 4 | Viewed by 2564
Abstract
This work established a numerical model to investigate the heat transfer characteristics and wall film formation of spray impinging on the wall in the selective catalytic reduction (SCR) system. The model is developed by the Eulerian–Lagrangian approach, where the Lagrangian approach is used [...] Read more.
This work established a numerical model to investigate the heat transfer characteristics and wall film formation of spray impinging on the wall in the selective catalytic reduction (SCR) system. The model is developed by the Eulerian–Lagrangian approach, where the Lagrangian approach is used to represent the spray generated by a commercial non-air-assisted pressure-driven injector and the Eulerian approach is adopted to represent exhaust gas. The Stochastic Kuhnke Model is applied to spray/wall interaction. The model considers relevant processes, which include mass transfer, momentum transfer, heat transfer, droplet phase change, spray/wall interaction, and wall film formation. The numerical results compared with that of the experiment indicate that the model can accurately estimate the heat transfer characteristics of the wall surface during the spray impingement. Based on the numerical results, the causes of the spray local cooling effect and the rapid cooling effect are analyzed. The correlation between the critical transition temperature and the critical heat flux temperature for wall film formation is derived from the trends of wall temperature and heat flux. In this work, the Stochastic Kuhnke Model is applied and compared with the Kuhnke Model, which proves that it can improve the disadvantage of sudden change during the wall film formation. When the wall temperature is below the critical transition temperature, the wall film mass is sensitive to the wall temperature and increases as the wall temperature decreases. Full article
Show Figures

Figure 1

19 pages, 9578 KB  
Article
Modeling and Characteristics of Airless Spray Film Formation
by Guichun Yang, Zhaojie Wu, Yan Chen, Shiming Chen and Junze Jiang
Coatings 2022, 12(7), 949; https://doi.org/10.3390/coatings12070949 - 4 Jul 2022
Cited by 18 | Viewed by 3401
Abstract
Based on the computational fluid dynamics (CFD) theory, this paper proposes a film formation model and a numerical simulation method that can be used in thickness prediction of airless spraying robots. The spraying flow field and the film formation process in the airless [...] Read more.
Based on the computational fluid dynamics (CFD) theory, this paper proposes a film formation model and a numerical simulation method that can be used in thickness prediction of airless spraying robots. The spraying flow field and the film formation process in the airless spraying process were simulated by the Eulerian–Eulerian approach, and the airless spraying film formation model including the paint expansion model and the wall hitting model was established. To verify the correctness of the model, numerical simulations of static spraying and dynamic spraying were carried out on the plane and arc surfaces. The simulation results showed that the width of the spraying flow field on the far wall increased linearly with the longitudinal distance in the major-axis direction. The busbar spraying on the outer surface of the arc surface showed the similar characteristics to the plane in the major-axis direction. Besides, the annular spraying was similar to the plane spraying in the minor-axis direction, but the inner surface spraying was completely opposite. When spraying the outer surface, the film thickness increased with the increase of the inner diameter but was smaller than that of the plane spraying, while the inner surface spraying was completely opposite. In the spraying experiment, the plane dynamic spraying and the arc plane inner and outer surface translation spraying were selected for verification. The experimental results were in good agreement with the simulation results, indicating that the film formation model of airless spraying established in this paper is basically correct. As a result, this model can be used for thickness prediction of spraying robots. Full article
Show Figures

Figure 1

14 pages, 3099 KB  
Article
Eulerian–Lagrangian–Eulerian Simulations of Two-Phase Minimum Quantity Lubrication Flow in Internal Drill Bit Channels
by Manuel Falcone, Lizoel Buss and Udo Fritsching
Processes 2022, 10(3), 600; https://doi.org/10.3390/pr10030600 - 19 Mar 2022
Cited by 5 | Viewed by 2618
Abstract
The goal of reducing oil consumption for lubrication of machining processes can be achieved by means of minimum quantity lubrication (MQL). In minimum quantity lubrication, the cutting fluid is a mixture of air and oil where only a small amount of the latter [...] Read more.
The goal of reducing oil consumption for lubrication of machining processes can be achieved by means of minimum quantity lubrication (MQL). In minimum quantity lubrication, the cutting fluid is a mixture of air and oil where only a small amount of the latter is added to the mixture. However, this reduced oil consumption must not be detrimental to the effectiveness of the machining process. In order to analyze the performance of minimum quantity lubrication, the two-phase fluid dynamics of the MQL dispersion fluid has to be investigated. In the present work, this two-phase flow for internal lubrication of a drilling process was studied by means of numerical modeling and simulation based on an Eulerian–Lagrangian–Eulerian (ELE) model. The Eulerian–Lagrangian–Eulerian model can properly describe the transition between the aerosol and wall liquid film two-phase flow. Attention was focused on the flow in the internal channels of a twist drill. A parametric study was carried out in order to disclose the effects of three different relevant parameters, namely the oil droplet diameter and the mass flow rate at the channel inlet and the drill bit rotational speed, on the MQL cutting fluid flow quality inside the drill bit channel and at the channel outlet. Full article
(This article belongs to the Special Issue Multifluid Computational Fluid Dynamic Simulation)
Show Figures

Figure 1

19 pages, 5269 KB  
Article
Liquid Film Translocation Significantly Enhances Nasal Spray Delivery to Olfactory Region: A Numerical Simulation Study
by Xiuhua April Si, Muhammad Sami and Jinxiang Xi
Pharmaceutics 2021, 13(6), 903; https://doi.org/10.3390/pharmaceutics13060903 - 18 Jun 2021
Cited by 27 | Viewed by 6597
Abstract
Previous in vivo and ex vivo studies have tested nasal sprays with varying head positions to enhance the olfactory delivery; however, such studies often suffered from a lack of quantitative dosimetry in the target region, which relied on the observer’s subjective perception of [...] Read more.
Previous in vivo and ex vivo studies have tested nasal sprays with varying head positions to enhance the olfactory delivery; however, such studies often suffered from a lack of quantitative dosimetry in the target region, which relied on the observer’s subjective perception of color changes in the endoscopy images. The objective of this study is to test the feasibility of gravitationally driven droplet translocation numerically to enhance the nasal spray dosages in the olfactory region and quantify the intranasal dose distribution in the regions of interest. A computational nasal spray testing platform was developed that included a nasal spray releasing model, an airflow-droplet transport model, and an Eulerian wall film formation/translocation model. The effects of both device-related and administration-related variables on the initial olfactory deposition were studied, including droplet size, velocity, plume angle, spray release position, and orientation. The liquid film formation and translocation after nasal spray applications were simulated for both a standard and a newly proposed delivery system. Results show that the initial droplet deposition in the olfactory region is highly sensitive to the spray plume angle. For the given nasal cavity with a vertex-to-floor head position, a plume angle of 10° with a device orientation of 45° to the nostril delivered the optimal dose to the olfactory region. Liquid wall film translocation enhanced the olfactory dosage by ninefold, compared to the initial olfactory dose, for both the baseline and optimized delivery systems. The optimized delivery system delivered 6.2% of applied sprays to the olfactory region and significantly reduced drug losses in the vestibule. Rheological properties of spray formulations can be explored to harness further the benefits of liquid film translocation in targeted intranasal deliveries. Full article
(This article belongs to the Special Issue Nose-To-Brain Drug Delivery System)
Show Figures

Figure 1

Back to TopTop