Numerical Investigation of the Water-Drop Impact on Low-Drag Airfoil Using the Euler–Euler Approach and Eulerian Wall Film Model
Abstract
:1. Introduction
2. Numerical Calculation Method
2.1. Euler Gas–Liquid Two-Phase Model
2.1.1. Solve Assumptions
- The liquid water drop is spherical without transfiguration or fracture;
- No water particle collision, agglomeration, or splash;
- The particle phase momentum equation does not consider the viscosity term and pressure term;
- There is no heat or mass transmission between water drop and gas;
- The effect of turbulence on water drop can be left out;
- The force exerted on the water drop is resistance and gravity, and all unstable forces can be ignored;
- The resistance exerted on the water drop is stable.
2.1.2. Control Equation
- (1)
- Volume fraction equation
- (2)
- Conservation equation
2.1.3. Boundary Conditions
2.2. EWF Model
2.2.1. Control Equation
2.2.2. Calculation Process
2.3. Verification of Calculation Results of Water-Drop Collection Coefficient
3. Calculation Results and Analysis
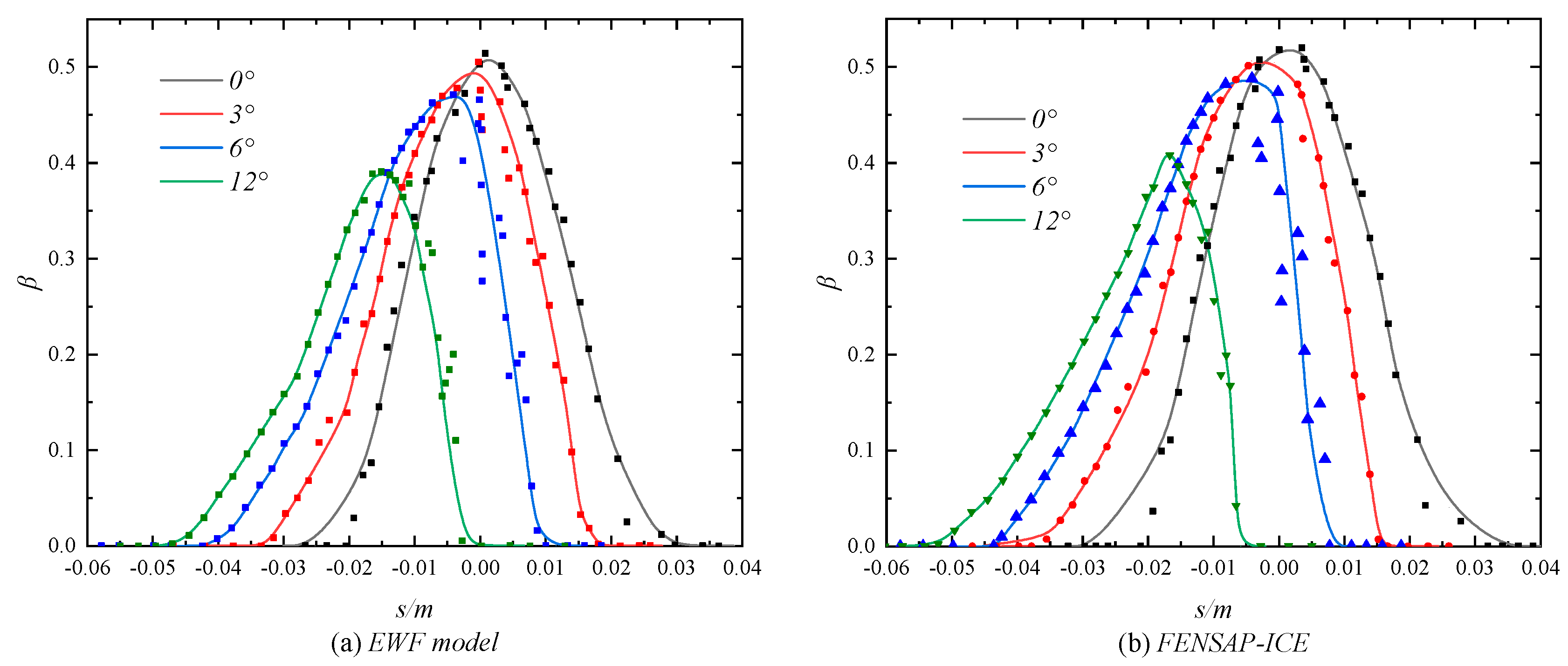
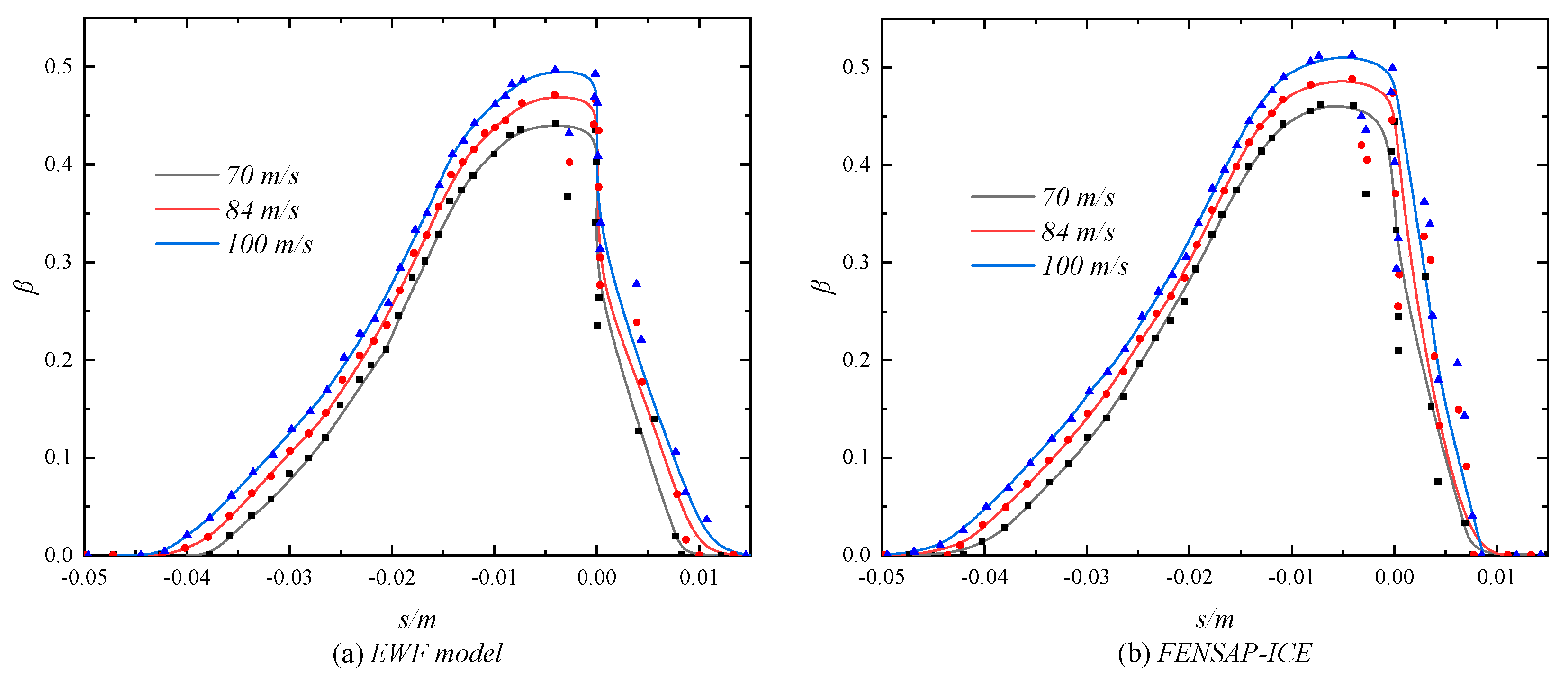
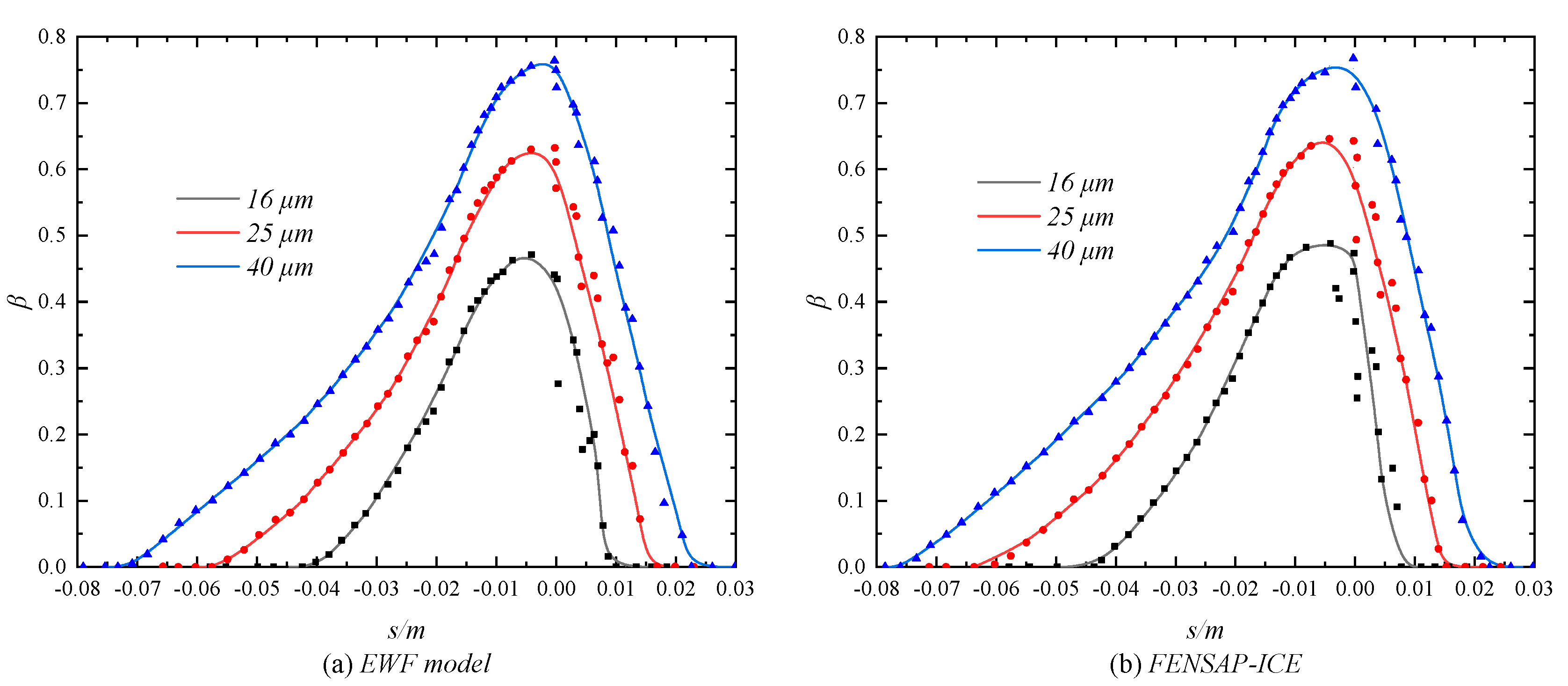
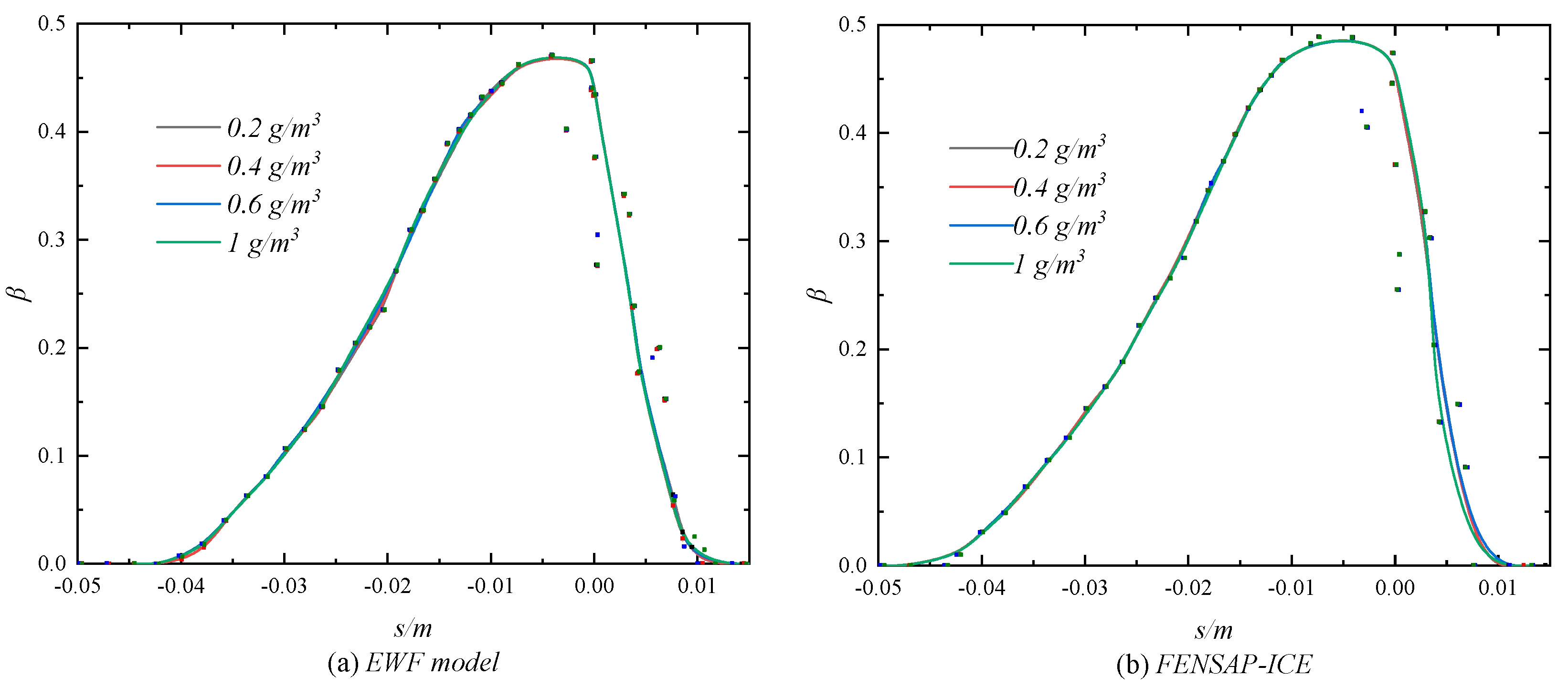
3.1. Effect of Different Inflow Conditions on Water-Drop Collection on Airfoil Wall
- (a)
- Effect of AOA on water-drop collection coefficient
- (b)
- Effect of incoming flow velocity on water-drop collection coefficient
- (c)
- Effect of water-drop diameter on water-drop collection coefficient
- (d)
- Effect of LWC on water-drop collection coefficient
3.2. Analysis of Flow Field Characteristics
3.3. Analysis of Fluid Film Flow Characteristics
4. Conclusions
- (1)
- As the AOA increases, the impact position of the water drop moves downward. The impact of the inflow velocity on drop impact is relatively small. The diameter of water drops significantly affects their impact. When the diameter of water drops increases from 16 microns to 40 microns, the impact range of water drops increases by 81.8%. The LWC does not affect the water-drop collection coefficient.
- (2)
- By comparing the flow fields at 0° and 9° AOAs, it was found that incoming air bypasses the airfoil surface, and only a small portion of water drops directly impacts the leading edge of the wing. The increase in AOA causes a deviation in particle trajectory, an increase in LWC near the wall and its extension to the trailing edge of the airfoil.
- (3)
- When the LWC increases from 0.2 g/m3 to 1 g/m3, the film thickness increases from 0.1 μm to 0.5 μm. This phenomenon mainly occurs in the 38.9% area of the leading edge (along the airfoil height). At an AOA of 6°, the film velocity streamline flows 25% chord length on the lower surface and 10% chord length on the upper surface (horizontally).
Author Contributions
Funding
Institutional Review Board Statement
Informed Consent Statement
Data Availability Statement
Conflicts of Interest
References
- Zhang, X.; Liu, X.; Wu, X.; Min, J. Impacting-freezing dynamics of a supercooled water droplet on a cold surface: Rebound and adhesion. Int. J. Heat Mass Transf. 2020, 158, 119997. [Google Scholar] [CrossRef]
- Zhang, H.; Liu, T.; Lu, J.; Lin, R.; Chen, C.; He, Z.; Cui, S.; Liu, Z.; Wang, X.; Liu, B. Static and ultrasonic structural health monitoring of full-size aerospace multi-function capsule using FBG strain arrays and PSFBG acoustic emission sensors. Opt. Fiber Technol. 2023, 78, 103316. [Google Scholar] [CrossRef]
- Xue, D.; Liu, Z.; Wang, B.; Yang, J. Impacts of COVID-19 on aircraft usage and fuel consumption: A case study on four Chinese international airports. J. Air Transp. Manag. 2021, 95, 102106. [Google Scholar] [CrossRef]
- Raj, L.P.; Yee, K.; Myong, R. Sensitivity of ice accretion and aerodynamic performance degradation to critical physical and modeling parameters affecting airfoil icing. Aerosp. Sci. Technol. 2020, 98, 105659. [Google Scholar]
- Battisti, L. Wind Turbines in Cold Climates: Icing Impacts and Mitigation Systems; Springer: Berlin/Heidelberg, Germany, 2015. [Google Scholar]
- Bourgault, Y.; Boutanios, Z.; Habashi, W.G. Three-dimensional Eulerian approach to droplet impingement simulation using FENSAP-ICE, Part 1: Model, algorithm, and validation. J. Aircr. 2000, 37, 95–103. [Google Scholar] [CrossRef]
- Ghenai, C.; Lin, C. Verification and validation of NASA LEWICE 2.2 icing software code. J. Aircr. 2006, 43, 1253–1258. [Google Scholar] [CrossRef]
- Gent, R.W. TRAJICE2-A combined water droplet and ice accretion prediction code for airfoils. R. Aerosp. Establ. TR 1990, 60, 90054. [Google Scholar]
- Shen, X.; Zhao, W.; Qi, Z.; Lin, G.; Wang, L. Analysis of Numerical Methods for Droplet Impingement Characteristics under Aircraft Icing Conditions. Aerospace 2022, 9, 416. [Google Scholar] [CrossRef]
- Bellosta, T.; Baldan, G.; Sirianni, G.; Guardone, A. Lagrangian and Eulerian algorithms for water droplets in in-flight ice accretion. J. Comput. Appl. Math. 2023, 429, 115230. [Google Scholar] [CrossRef]
- Yang, S.; Hou, Y.; Shang, Y.; Zhong, X. BPNN and CNN-based AI modeling of spreading and icing pattern of a water droplet impact on a supercooled surface. AIP Adv. 2022, 12, 045209. [Google Scholar] [CrossRef]
- Chen, N.; Hu, Y.; Ji, H.; Cao, G.; Yuan, Y. A mathematical model based on unstructured mesh for ice accretion. AIP Adv. 2019, 9, 125149. [Google Scholar]
- Yin, Y.; Cheng, L.; Wang, W.; Zhang, Y.; Liang, Y. Rime ice growth characterized by surface acoustic wave. AIP Adv. 2021, 11, 115028. [Google Scholar] [CrossRef]
- Lingbo, G.; Guangzhou, C.; Honghu, J. Numerical Study on Ridge Ice Accretion and Its Effect under Thermal Ice Protection. Trans. Nanjing Univ. Aero. Astro. 2018, 35, 770–777. [Google Scholar]
- Ding, H.; Zhang, Y.; Sun, C.; Yang, Y.; Wen, C. Numerical simulation of supersonic condensation flows using Eulerian-Lagrangian and Eulerian wall film models. Energy 2022, 258, 124833. [Google Scholar] [CrossRef]
- Deng, Y.; Zhang, L.; Hou, H.; Yu, B.; Sun, D. Modeling and simulation of the gas-liquid separation process in an axial flow cyclone based on the Eulerian-Lagrangian approach and surface film model. Powder Technol. 2019, 353, 473–488. [Google Scholar] [CrossRef]
- Liu, Z.; Tao, C.; Yuan, S.; Wang, W.; Tamaddon, M.; Ng, L.; Huang, H.; Sun, X.; Liu, C. Eularian wall film model for predicting dynamic cell culture process to evaluate scaffold design in a perfusion bioreactor. Med. Nov. Technol. Devices 2022, 13, 100104. [Google Scholar] [CrossRef]
- Zhou, H.; Jin, Y.; Zhu, L.; Li, Z. Numerical simulation of droplets re-entrainment in baffle demister. Part. Sci. Technol. 2021, 40, 567–575. [Google Scholar] [CrossRef]
- Yue, T.; Chen, J.; Song, J.; Chen, X.; Wang, Y.; Jia, Z.; Xu, R. Experimental and numerical study of Upper Swirling Liquid Film (USLF) among Gas-Liquid Cylindrical Cyclones (GLCC). Chem. Eng. J. 2019, 358, 806–820. [Google Scholar] [CrossRef]
- Wang, X.; Chang, H.; Corradini, M.; Cong, T.; Wang, J. Prediction of falling film evaporation on the AP1000 passive containment cooling system using ANSYS FLUENT code. Ann. Nucl. Energy 2016, 95, 168–175. [Google Scholar] [CrossRef]
- Zhang, K.; Chi, X.; Nan, Z.; Li, Y.; Wang, N. Numerical simulation for condensation in the presence of noncondensable gas in the condenser with a multi-channel structure. Appl. Therm. Eng. 2022, 209, 118260. [Google Scholar] [CrossRef]
- Liu, X.; Yao, H.; Wang, C.; Jin, H.; Wang, C. Failure analysis and prediction based on corrosion thinning behaviour of atmospheric tower top and volatilization line connection area. Eng. Fail. Anal. 2022, 131, 105914. [Google Scholar] [CrossRef]
- Wang, S.; Wang, C.; Ding, H.; Zhang, Y.; Dong, Y.; Wen, C. Joule-Thomson effect and flow behavior for energy-efficient dehydration of high-pressure natural gas in supersonic separator. Energy 2023, 279, 128122. [Google Scholar] [CrossRef]
- Shi, L.; Tao, L.; Zhang, Y.; Li, Y.; Jiang, X.; Yang, Z.; Qi, X.; Qiu, J. CFD simulations of wind-driven rain on typical football stadium configurations in China’s hot-summer and cold-winter zone. Build. Environ. 2022, 225, 109598. [Google Scholar] [CrossRef]
- Zhou, L.; Wu, H. A pilot study on modification of containment dome surface to enhance condensation. Prog. Nucl. Energy 2023, 156, 104557. [Google Scholar] [CrossRef]
- Liu, E.; Li, D.; Zhao, W.; Peng, S.; Chen, Q. Correlation analysis of pipeline corrosion and liquid accumulation in gas gathering station based on computational fluid dynamics. J. Nat. Gas Sci. Eng. 2022, 102, 104564. [Google Scholar] [CrossRef]
- Li, Y.; Li, J.-p.; Zeng, F.-z.; Sun, M.; Yan, C. Bayesian uncertainty quantification analysis of the SST model for transonic flow around airfoils simulation. Aerosp. Sci. Technol. 2023, 137, 108273. [Google Scholar] [CrossRef]
- Ansys, I. ANSYS Fluent-Theory Guide-Release 2020R1; ANSYS Inc.: Cannon Sburg, PL, USA, 2020. [Google Scholar]
- Yang, S.; Lin, G.; Shen, X. Water droplet impingement prediction for three-dimensional complex surfaces. J. Aerosp. Power 2010, 25, 284–290. [Google Scholar]
- Parekh, J.; Rzehak, R. Euler–Euler multiphase CFD-simulation with full Reynolds stress model and anisotropic bubble-induced turbulence. Int. J. Multiph. Flow 2018, 99, 231–245. [Google Scholar] [CrossRef]
- Varzaneh, A.A.; Toghraie, D.; Karimipour, A. Comprehensive simulation of nanofluid flow and heat transfer in straight ribbed microtube using single-phase and two-phase models for choosing the best conditions. J. Therm. Anal. Calorim. 2020, 139, 701–720. [Google Scholar] [CrossRef]
- Olejniczak, D.; Nowacki, M. Model identifying the conditions conducive wing airfoil icing process on the basis of aircraft flight parameters. Transp. Res. Procedia 2020, 51, 28–36. [Google Scholar] [CrossRef]
- Min, S.; Yee, K. Numerical investigation of the unsteady effect owing to oscillation on airfoil icing. Int. J. Heat Mass Transf. 2023, 203, 123791. [Google Scholar] [CrossRef]
- Tong, X.; Luke, E. Eulerian simulations of icing collection efficiency using a singularity diffusion model. In Proceedings of the 43rd AIAA Aerospace Sciences Meeting and Exhibit, Reno, NV, USA, 10–13 January 2005. [Google Scholar]
- Wirogo, S.; Srirambhatla, S. An Eulerian method to calculate the collection efficiency on two and three dimensional bodies. In Proceedings of the 41st Aerospace sciences meeting and exhibit, Reno, NV, USA, 6–9 January 2003. [Google Scholar]
- Yan, L.; Tao, G.; Hongliang, C. Numerical simulation of 3D hot-air anti-icing chamber based on Eulerian wall film model. BUAA 2018, 44, 959–966. [Google Scholar]
- Jie, C.; Peng, S.; Lei, W.; Song-tao, Y.; Zong-bao, C.; Ying, J. CFD prediction of phase change behavior and liquid film evolution on specimens based on the Eulerian wall film model of two-phase flow. Chin. J. Eng. 2015, 37, 721–730. [Google Scholar]
- Yue, W.; Xue, Y.; Liu, Y. High humidity aerodynamic effects study on offshore wind turbine airfoil/blade performance through CFD analysis. Int. J. Rotating Mach. 2017, 9, 1–15. [Google Scholar] [CrossRef]
- Ruff, G.A.; Berkowitz, B.M. Users Manual for the NASA Lewis Ice Accretion Prediction Code (LEWICE). Nasa Contractor Report, 1990. Available online: https://ntrs.nasa.gov/api/citations/19900011627/downloads/19900011627.pdf (accessed on 1 June 2023).
- Bidwell, C.; Stanley Mohler, Y.R., Jr. Collection efficiency and ice accretion calculations for a sphere, a swept MS (1)-317 wing, a swept NACA-0012 wing tip, an axisymmetric inlet, and a Boeing 737-300 inlet. In Proceedings of the 33rd Aerospace Sciences Meeting and Exhibit, Reno, NV, USA, 9–12 January 1995. [Google Scholar]
- Wang, C.; Chang, S.; Wu, M.; Jin, J. Numerical investigation of splashing characteristics in super-cooled large droplet regime. Aeronaut. Astronaut. Sin. 2014, 35, 1004–1011. [Google Scholar]
- Wang, Y.; Chen, J.; Yang, Y.; Han, M.; Zhou, Y.; Ye, S.; Yan, C.; Yue, T. Experimental and numerical performance study of a downward dual-inlet gas-liquid cylindrical cyclone (GLCC). Chem. Eng. Sci. 2021, 238, 116595. [Google Scholar] [CrossRef]













| Reference | Research Object | Research Approach |
|---|---|---|
| [17] | cell culture | EWF model |
| [19] | Gas-liquid Cylindrical Cyclones | |
| [20] | Containment cooling system | |
| [21] | Containment condenser | |
| [22] | Atmospheric pressure tower | |
| [15] | Supersonic Separator | Eulerian–Lagrangian and EWF model |
| [23] | Ultrasound separator | |
| [18] | Baffle mist eliminator | Discrete Phase model and EWF model |
| [24] | Football field wind-driven rain | |
| [25] | Surface of nuclear power plant containment vessel | Species Transport Model and EWF model |
| [26] | Natural gas station pipeline | Mixture model and EWF model |
| Ratio/% | Water-Drop Diameter/μm | |
|---|---|---|
| Dmv = 16 | Dmv = 18.6 | |
| 5 | 5 | 5.7 |
| 10 | 8.3 | 9.7 |
| 20 | 11.4 | 13.2 |
| 30 | 16 | 18.6 |
| 20 | 21.9 | 25.5 |
| 10 | 27.8 | 32.4 |
| 5 | 35.5 | 41.3 |
| Inflow Condition | Value Selection | Select by |
|---|---|---|
| AOA of the wing (°) | 0, 3, 6, 12 | the AOA is greater than 0° to generate lift |
| Incoming velocity (m/s) | 70, 84, 100 | Cruise speed of transport aircraft |
| Water-drop diameter (μm) | 16, 25, 40 | Large supercooled water-drops are not considered |
| LWC (g/m3) | 0.2, 0.4, 0.6, 1 | Iced climatic conditions |
Disclaimer/Publisher’s Note: The statements, opinions and data contained in all publications are solely those of the individual author(s) and contributor(s) and not of MDPI and/or the editor(s). MDPI and/or the editor(s) disclaim responsibility for any injury to people or property resulting from any ideas, methods, instructions or products referred to in the content. |
© 2023 by the authors. Licensee MDPI, Basel, Switzerland. This article is an open access article distributed under the terms and conditions of the Creative Commons Attribution (CC BY) license (https://creativecommons.org/licenses/by/4.0/).
Share and Cite
Long, L.; Liu, X.; Zhao, C.; Wang, Z.; Sun, H. Numerical Investigation of the Water-Drop Impact on Low-Drag Airfoil Using the Euler–Euler Approach and Eulerian Wall Film Model. Appl. Sci. 2023, 13, 7743. https://doi.org/10.3390/app13137743
Long L, Liu X, Zhao C, Wang Z, Sun H. Numerical Investigation of the Water-Drop Impact on Low-Drag Airfoil Using the Euler–Euler Approach and Eulerian Wall Film Model. Applied Sciences. 2023; 13(13):7743. https://doi.org/10.3390/app13137743
Chicago/Turabian StyleLong, Lingjie, Xiaogang Liu, Chenxi Zhao, Zhongyi Wang, and Haifeng Sun. 2023. "Numerical Investigation of the Water-Drop Impact on Low-Drag Airfoil Using the Euler–Euler Approach and Eulerian Wall Film Model" Applied Sciences 13, no. 13: 7743. https://doi.org/10.3390/app13137743
APA StyleLong, L., Liu, X., Zhao, C., Wang, Z., & Sun, H. (2023). Numerical Investigation of the Water-Drop Impact on Low-Drag Airfoil Using the Euler–Euler Approach and Eulerian Wall Film Model. Applied Sciences, 13(13), 7743. https://doi.org/10.3390/app13137743
