Sign in to use this feature.

Years

Between: -

Subjects

remove_circle_outline
remove_circle_outline
remove_circle_outline
remove_circle_outline
remove_circle_outline
remove_circle_outline
remove_circle_outline

Journals

Article Types

Countries / Regions

Search Results (14)

Search Parameters:
Keywords = Cantril Ladder

Order results
Result details
Results per page
Select all
Export citation of selected articles as:
20 pages, 1491 KB  
Article
Vision 2030 and Subjective Well-Being in Saudi Arabia
by Martijn J. Burger and Efstratia Arampatzi
Sustainability 2025, 17(15), 6856; https://doi.org/10.3390/su17156856 - 28 Jul 2025
Cited by 3 | Viewed by 5620
Abstract
Saudi Vision 2030 seeks to improve social sustainability in the Kingdom through comprehensive economic and social reforms. This study investigates whether these reforms are associated with changes in subjective well-being (SWB), commonly understood as individuals’ experienced quality of life. Using Gallup World Poll [...] Read more.
Saudi Vision 2030 seeks to improve social sustainability in the Kingdom through comprehensive economic and social reforms. This study investigates whether these reforms are associated with changes in subjective well-being (SWB), commonly understood as individuals’ experienced quality of life. Using Gallup World Poll data from 2013 to 2023 on Cantril ladder scores and affect balance in Saudi Arabia, we find increases in SWB following the implementation of Vision 2030 reforms, particularly for the affective component of SWB. While positive changes in SWB are observed across the entire population, the gains in affective well-being are especially pronounced among women. Blinder–Oaxaca decompositions show that improvements are associated with enhanced community basics, followed by greater income sufficiency, improved perceptions of social life, and an increased sense of personal freedom. Full article
(This article belongs to the Section Health, Well-Being and Sustainability)
Show Figures

Figure 1

32 pages, 1220 KB  
Article
Income and Subjective Well-Being: The Importance of Index Choice for Sustainable Economic Development
by Tetsuya Tsurumi and Shunsuke Managi
Sustainability 2025, 17(12), 5266; https://doi.org/10.3390/su17125266 - 6 Jun 2025
Viewed by 3129
Abstract
The relationship between income and subjective well-being (SWB) has been widely studied. While previous research has shown that the correlation between income and SWB is not always strong, there is limited research examining how the choice of SWB index influences this relationship. Drawing [...] Read more.
The relationship between income and subjective well-being (SWB) has been widely studied. While previous research has shown that the correlation between income and SWB is not always strong, there is limited research examining how the choice of SWB index influences this relationship. Drawing on survey data collected from 32 countries between 2015 and 2017, this study explores how the income–SWB relationship varies across different SWB indices. The dataset encompasses both developed and developing nations. We analyzed six types of SWB indices documented in the literature—covering a broader range than is typically included—and conducted comparative analyses. To account for the possibility of a nonlinear relationship between income and these SWB measures, we used a semiparametric approach by applying generalized additive models. Our findings show that these six indices can be categorized into three groups: (1) mental health and affect balance, (2) subjective happiness and eudaimonia, and (3) life satisfaction and the Cantril Ladder. These results underscore the significant impact that the selected SWB index can have on the income–SWB relationship. While economic development is often assumed to enhance SWB, our analysis reveals that this relationship does not hold consistently across all SWB indicators. In particular, certain indicators show little or no improvement in well-being despite increasing income levels, suggesting the presence of excessive or inefficient consumption that fails to contribute to genuine human flourishing. These findings challenge the conventional growth-centric paradigm and call for a deeper societal and academic inquiry into what constitutes “true prosperity.” From a sustainability perspective, aligning economic progress with authentic improvements in well-being is essential. This requires not only more careful selection and interpretation of SWB metrics, but also a broader re-evaluation of consumption patterns and policy goals to ensure that future development contributes meaningfully to human and ecological well-being. Full article
(This article belongs to the Section Health, Well-Being and Sustainability)
Show Figures

Figure 1

18 pages, 285 KB  
Article
The Impact of Dialysis Duration on Multidimensional Health Outcomes: A Cross-Sectional Study
by Leszek Sułkowski, Andrzej Matyja and Maciej Matyja
J. Clin. Med. 2025, 14(2), 376; https://doi.org/10.3390/jcm14020376 - 9 Jan 2025
Cited by 4 | Viewed by 3215
Abstract
Background: Dialysis patients face multidimensional challenges that affect their quality of life. This study aimed to evaluate the association between dialysis duration and various physical, cognitive, and psychosocial parameters, including fatigue, pain, sexual satisfaction, bowel control, vision, cognitive deficits, mental health, social support, [...] Read more.
Background: Dialysis patients face multidimensional challenges that affect their quality of life. This study aimed to evaluate the association between dialysis duration and various physical, cognitive, and psychosocial parameters, including fatigue, pain, sexual satisfaction, bowel control, vision, cognitive deficits, mental health, social support, quality of life, and life satisfaction, while incorporating sociodemographic data for greater context. Methods: A cross-sectional study was conducted using validated instruments such as the Modified Fatigue Impact Scale (MFIS), Pain Effect Scale (PES), Sexual Satisfaction Scale (SSS), Bowel Control Scale (BWCS), Impact of Visual Impairment Scale (IVIS), Perceived Deficits Questionnaire (PDQ), Mental Health Inventory (MHI), Modified Social Support Survey (MSSS), WHOQOL-BREF, and Cantril Ladder. Associations between dialysis duration and these parameters were analyzed. Correlations between current and future life satisfaction were also examined. Results: Dialysis duration significantly affected sexual satisfaction, with scores worsening over time (p = 0.029). Cognitive deficits in planning and organization exhibited a near-significant trend (p = 0.072). Patients with low current life satisfaction anticipated significant future declines (p = 0.001). However, no significant associations were observed between dialysis duration and fatigue, pain, bowel control, vision, mental health, social support, overall quality of life, or life satisfaction. Conclusions: Prolonged dialysis negatively influences sexual satisfaction and may impact specific cognitive domains. The relationship between current and expected life satisfaction highlights the importance of addressing psychological health in this population. While other parameters remained unaffected, individualized care strategies focusing on sexual, cognitive, and psychological support could improve outcomes. Future research should focus on exploring these relationships further and developing targeted interventions to address vulnerable areas, such as sexual, cognitive, and psychological health. Full article
(This article belongs to the Special Issue New Insights into Peritoneal Dialysis and Hemodialysis)
12 pages, 260 KB  
Article
The Relationship Between Happiness and Foreign Direct Investment in African Countries
by Caroline Wanjiru Kariuki and Jeniffer Wairimu Karanu
Economies 2024, 12(12), 343; https://doi.org/10.3390/economies12120343 - 15 Dec 2024
Cited by 1 | Viewed by 3142
Abstract
This research looks into the relationship between happiness and foreign direct investment (FDI) in African countries so as to shed light on whether or not the inward FDI stock in African countries has an influence on happiness in the region. The study utilises [...] Read more.
This research looks into the relationship between happiness and foreign direct investment (FDI) in African countries so as to shed light on whether or not the inward FDI stock in African countries has an influence on happiness in the region. The study utilises annual panel data from 2006 to 2022 for 46 African countries and uses the Cantril life ladder data as a measure of happiness. The findings from this research reveal that there is a positive but statistically insignificant relationship between inward FDI stock and happiness in Africa. The results suggest that FDI alone does not directly contribute to economic development in African countries, but rather the benefits of FDI may be contingent on other factors in the country. Nonetheless, the positive relationship observed provides a foundation for policymakers to encourage FDI, as it has the potential to improve happiness levels in African nations. Additionally, the results from this study show that the level of happiness in the previous year and social support have a positive and statistically significant effect on happiness in African countries. Full article
(This article belongs to the Special Issue Foreign Direct Investments and Economic Development)
22 pages, 5988 KB  
Article
Panel Data Analysis of Subjective Well-Being in European Countries in the Years 2013–2022
by Marta Dziechciarz
Sustainability 2024, 16(5), 2124; https://doi.org/10.3390/su16052124 - 4 Mar 2024
Cited by 4 | Viewed by 3660
Abstract
The background of the study is the analysis of social expenditure efficiency in European countries over time. Terminological considerations leading from hedonism and eudaimonism to the concept of subjectively perceived well-being and the Easterlin paradox are necessary to understand the differences in changes [...] Read more.
The background of the study is the analysis of social expenditure efficiency in European countries over time. Terminological considerations leading from hedonism and eudaimonism to the concept of subjectively perceived well-being and the Easterlin paradox are necessary to understand the differences in changes in the level of well-being among countries and over time. The purpose of the study is to analyse citizens’ declarations on subjective well-being as an indicator of the efficiency of social policy. The methods used for statistical analysis are conventional and dynamic data envelopment analysis (DEA) techniques. The EU-SILC and OurWorldInData.org data analysed with DEA provided the main results. The study identified significant fluctuations in subjective well-being, with a clear long-term upward trend. Among the surveyed countries, there are those where progress is due to internal factors, while in the Mediterranean countries, external factors predominate. The level of the estimated DEA efficiency indicators (TC and EC) indicate the improvement in input efficiency in a substantive number of countries, e.g., Estonia and Cyprus, along with persistently low indicator values in some member states, Italy and Luxemburg. In conclusion, the author indicated areas in individual countries where attempts to improve social policy are needed to raise and maintain desirable levels of subjective well-being. Full article
(This article belongs to the Section Health, Well-Being and Sustainability)
Show Figures

Graphical abstract

13 pages, 618 KB  
Article
Effects of COVID-19 Lockdown on Heart Failure Patients: A Quasi-Experimental Study
by Juan Luis Sánchez-González, Luis Almenar-Bonet, Noemí Moreno-Segura, Francisco Gurdiel-Álvarez, Hady Atef, Amalia Sillero-Sillero, Raquel López-Vilella, Iván Santolalla-Arnedo, Raúl Juárez-Vela, Clara Isabel Tejada-Garrido and Elena Marques-Sule
J. Clin. Med. 2023, 12(22), 7090; https://doi.org/10.3390/jcm12227090 - 14 Nov 2023
Cited by 1 | Viewed by 1615
Abstract
Introduction: The COVID-19 lockdown has been associated with reduced levels of physical activity, quality of life, and sleep quality, but limited evidence exists for its impact on heart failure patients. This study examined the influence of the COVID-19 lockdown on these aspects in [...] Read more.
Introduction: The COVID-19 lockdown has been associated with reduced levels of physical activity, quality of life, and sleep quality, but limited evidence exists for its impact on heart failure patients. This study examined the influence of the COVID-19 lockdown on these aspects in heart failure patients, with specific comparisons by age and sex. Methods: A quasi-experimental cross-sectional study of patients with heart failure was conducted. The assessment involved two time points: during the COVID-19 lockdown (March to June 2020) and post-lockdown (July to October 2020). A total of 107 HF patients participated, with assessments of overall PA (using the International Physical Activity Questionnaire), QoL (employing the Cantril Ladder of Life), and sleep quality (utilizing the Minimal Insomnia Symptom Scale) conducted during and after the COVID-19 lockdown. Results: HF patients reported lower levels of total PA (p = 0.001) and walking PA (p < 0.0001) during lockdown than after lockdown, whilst no differences were observed in QoL nor sleep quality. In addition, both younger and older patients reported lower walking PA and total PA during lockdown than after lockdown, while older patients reported lower QoL during lockdown than after lockdown. Moreover, both men and women reported lower walking PA and total PA during lockdown than after lockdown, whilst women reported lower QoL. Conclusions: HF patients need improved PA programs during lockdowns, as these programs can elevate PA levels and enhance QoL, especially when faced with the risk of decompensation during health crises. Full article
Show Figures

Figure 1

19 pages, 1272 KB  
Article
Understanding Key Predictors of Life Satisfaction in a Nationally Representative Sample of Koreans
by Yun-Kyeung Choi, Mohsen Joshanloo, Jae-Ho Lee, Hong-Seock Lee, Heung-Pyo Lee and Jonghwan Song
Int. J. Environ. Res. Public Health 2023, 20(18), 6745; https://doi.org/10.3390/ijerph20186745 - 12 Sep 2023
Cited by 6 | Viewed by 4788
Abstract
The purpose of this study was to examine the factors that predict life satisfaction in a large representative sample of Koreans by analyzing data from the Gallup World Poll. The primary objective was to identify important predictors and suggest strategies to improve quality [...] Read more.
The purpose of this study was to examine the factors that predict life satisfaction in a large representative sample of Koreans by analyzing data from the Gallup World Poll. The primary objective was to identify important predictors and suggest strategies to improve quality of life in Korea. The study used available Korean data from 2006 to 2017, which included 14,101 participants (mean age = 46.42). Predictors included demographic and psychological variables, with the Cantril Ladder of Life Scale serving as the outcome variable. The results show a decline in life satisfaction with advancing age, and that the relationship between life satisfaction and age varied by gender. Among the predictors examined, satisfaction with the standard of living and household income emerged as the most influential factors in determining life evaluation; other strong predictors included positive affect and negative affect, social support, gender, and education level. These results imply that, to increase life satisfaction, it is imperative to provide job opportunities and social services specifically targeted to individuals in low-income groups. In addition, it is crucial to implement tailored psychosocial interventions that address the unique developmental tasks and psychological challenges experienced by individuals according to their gender and life cycle stage. Full article
(This article belongs to the Section Mental Health)
Show Figures

Figure 1

13 pages, 321 KB  
Article
Visual Impairment in Hemodialyzed Patients—An IVIS Study
by Leszek Sułkowski, Mateusz Rubinkiewicz, Andrzej Matyja and Maciej Matyja
Medicina 2023, 59(6), 1106; https://doi.org/10.3390/medicina59061106 - 7 Jun 2023
Cited by 5 | Viewed by 2339
Abstract
Background and Objectives: The growing and aging population of hemodialysis patients has become increasingly disabled, with more complex comorbidities, and are older upon initiating dialysis. Visual impairment can adversely affect their quality of life and life satisfaction. Treatment evaluation should not only [...] Read more.
Background and Objectives: The growing and aging population of hemodialysis patients has become increasingly disabled, with more complex comorbidities, and are older upon initiating dialysis. Visual impairment can adversely affect their quality of life and life satisfaction. Treatment evaluation should not only consider remission of the disease, but also the improvement of quality of life and life satisfaction. This is a single-center cross-sectional study. It was designed to evaluate visual impairment in hemodialyzed patients, its correlation with quality of life and life satisfaction, and its relationship to clinical outcomes in hemodialyzed patients. Materials and Methods: Seventy patients with chronic kidney disease undergoing hemodialysis and aged 18 years or older were recruited from a single Dialysis Unit. The Impact of Visual Impairment Scale (IVIS), WHOQOL-BREF, and Cantril Ladder questionnaires were utilized to assess both sociodemographic and clinical variables. Results: It was found that, among all assessed variables (i.e., sex, marital status, level of education, months on hemodialysis, history of kidney transplantation, Kt/V, URR, and UF), only age and central venous catheter placement were positively correlated with IVIS scores, while arteriovenous fistula and willingness to become a kidney transplant recipient were negatively correlated. Furthermore, a comparison between patients with moderate and severe visual impairment yielded supplemental data indicating that individuals whose dialysis access was through a dialysis catheter and those ineligible or unwilling to undergo transplantation suffered more often from severe visual impairment. This finding may be attributed to age. Conclusions: Older patients were predominantly observed to experience visual impairment. Patients intending to receive a kidney transplant and whose dialysis access was through an arteriovenous fistula were less prone to visual impairment, compared to those who may be ineligible or unwilling to receive transplantation and those with hemodialysis catheters. This phenomenon can be attributed to age-related distinctions in patients’ suitability for specific dialysis access and transplantation. Those reporting visual impairment gave lower ratings in all four domains of their quality of life (comprising physical health, psychological health, social relationships, and environment) and in both present and anticipated five-year life satisfaction. More severe visual impairment was related to an additional reduction in physical health, social relationship, and environment domains, and in life satisfaction. Full article
(This article belongs to the Section Urology & Nephrology)
14 pages, 1904 KB  
Article
Well-Being, Physical Activity, and Social Support in Octogenarians with Heart Failure during COVID-19 Confinement: A Mixed-Methods Study
by Elena Marques-Sule, Elena Muñoz-Gómez, Luis Almenar-Bonet, Noemi Moreno-Segura, María-Cruz Sánchez-Gómez, Pallav Deka, Raquel López-Vilella, Leonie Klompstra and Juan Luis Cabanillas-García
Int. J. Environ. Res. Public Health 2022, 19(22), 15316; https://doi.org/10.3390/ijerph192215316 - 19 Nov 2022
Cited by 5 | Viewed by 2543
Abstract
Background: This study aimed to compare well-being and physical activity (PA) before and during COVID-19 confinement in older adults with heart failure (HF), to compare well-being and PA during COVID-19 confinement in octogenarians and non-octogenarians, and to explore well-being, social support, attention to [...] Read more.
Background: This study aimed to compare well-being and physical activity (PA) before and during COVID-19 confinement in older adults with heart failure (HF), to compare well-being and PA during COVID-19 confinement in octogenarians and non-octogenarians, and to explore well-being, social support, attention to symptoms, and assistance needs during confinement in this population. Methods: A mixed-methods design was performed. Well-being (Cantril Ladder of Life) and PA (International Physical Activity Questionnaire) were assessed. Semi-structured interviews were performed to assess the rest of the variables. Results: 120 participants were evaluated (74.16 ± 12.90 years; octogenarians = 44.16%, non-octogenarians = 55.83%). Both groups showed lower well-being and performed less PA during confinement than before (p < 0.001). Octogenarians reported lower well-being (p = 0.02), higher sedentary time (p = 0.03), and lower levels of moderate PA (p = 0.04) during confinement. Most individuals in the sample considered their well-being to have decreased during confinement, 30% reported decreased social support, 50% increased their attention to symptoms, and 60% were not satisfied with the assistance received. Octogenarians were more severely impacted during confinement than non-octogenarians in terms of well-being, attention to symptoms, and assistance needs. Conclusions: Well-being and PA decreased during confinement, although octogenarians were more affected than non-octogenarians. Remote monitoring strategies are needed in elders with HF to control health outcomes in critical periods, especially in octogenarians. Full article
(This article belongs to the Special Issue Exercise, Healthcare and Physiotherapy for Older Adults)
Show Figures

Figure 1

18 pages, 1368 KB  
Article
Evaluation of Existing Indexes of Sustainable Well-Being and Propositions for Improvement
by Gaël Brulé
Sustainability 2022, 14(2), 1027; https://doi.org/10.3390/su14021027 - 17 Jan 2022
Cited by 24 | Viewed by 4828
Abstract
The relationship between sustainability and well-being is inconclusive in the literature, with some studies showing consonance while others show dissonance. On top of differences of scale (micro or macro) and of methods, part of this conflict in narratives is due to differences in [...] Read more.
The relationship between sustainability and well-being is inconclusive in the literature, with some studies showing consonance while others show dissonance. On top of differences of scale (micro or macro) and of methods, part of this conflict in narratives is due to differences in measurement. In this paper I evaluate the quality of existing indexes linking both concepts at a macro level (Happy Planet Index (first generation and second generation), Sustainable Development Goals Index, Human Sustainable Development Index, Sustainable Development Index, Gaucher’s index). Recognizing the limits of all of them and acknowledging that the current landscape of measures is over-oriented towards cognitive measures on the well-being side and ecological footprint-oriented on the environmental side, I propose some alternatives to complete the current measures and I discuss possible implications. Full article
(This article belongs to the Special Issue Indicators of Social Sustainability and Wellbeing)
Show Figures

Figure 1

12 pages, 311 KB  
Brief Report
Psychosocial Working Conditions in School and Life Satisfaction among Adolescents in Sweden: A Cross-Sectional Study
by Joakim Wahlström, Sara Brolin Låftman, Bitte Modin and Petra Löfstedt
Int. J. Environ. Res. Public Health 2021, 18(10), 5337; https://doi.org/10.3390/ijerph18105337 - 17 May 2021
Cited by 13 | Viewed by 3720
Abstract
Poor psychosocial working conditions in school have consistently been shown to be associated with adverse health among adolescents. However, the relationships between school demands, teacher support, and classmate support and positive aspects of health have not been explored to the same extent. The [...] Read more.
Poor psychosocial working conditions in school have consistently been shown to be associated with adverse health among adolescents. However, the relationships between school demands, teacher support, and classmate support and positive aspects of health have not been explored to the same extent. The aim of this study was to examine differences in psychosocial working conditions in school and in life satisfaction by gender and by grade, and to investigate the association between psychosocial working conditions in school and life satisfaction among boys and girls, and among students in different grades. Data from the Swedish Health Behavior in School-Aged Children (HBSC) study of 2017/18 were used, consisting of 3614 students in Grades 5, 7, and 9 (~11, 13, and 15 years). Psychosocial working conditions in school were captured by indices of perceived school demands, teacher support, and classmate support. Life satisfaction was measured by the 11-step Cantril’s ladder (using cutoffs at >5 and >8, respectively). Whereas girls reported higher school demands than boys, higher levels of teacher and classmate support were reported by boys. Students in lower grades reported lower school demands but higher levels of teacher and classmate support compared with students in higher grades. Boys and students in lower grades were more likely to report high life satisfaction compared with girls and students in higher grades. Results from binary logistic regression analyzes showed that school demands were inversely associated with life satisfaction, and that higher levels of teacher support and classmate support were associated with high life satisfaction. These results were found for both boys and girls, and for students in all grades. The findings indicate that schools have the potential to promote positive health among students. Full article
9 pages, 305 KB  
Brief Report
Inequality-Related Health and Social Factors and Their Impact on Well-Being during the COVID-19 Pandemic: Findings from a National Survey in the UK
by Daniel Tzu-Hsuan Chen and Yi-Jen Wang
Int. J. Environ. Res. Public Health 2021, 18(3), 1014; https://doi.org/10.3390/ijerph18031014 - 24 Jan 2021
Cited by 36 | Viewed by 6962
Abstract
Background: Lower socioeconomic groups and disadvantaged populations across the world suffer disproportionately from the coronavirus disease 2019 (COVID-19) pandemic. This study aimed to examine the impact of health- and social-inequality–related factors on well-being in order to further distinguish each of their effects during [...] Read more.
Background: Lower socioeconomic groups and disadvantaged populations across the world suffer disproportionately from the coronavirus disease 2019 (COVID-19) pandemic. This study aimed to examine the impact of health- and social-inequality–related factors on well-being in order to further distinguish each of their effects during the pandemic. Methods: A nationally-representative sample of 5077 UK respondents aged 18 years or older was recruited through an online survey panel during the COVID-19 pandemic. Their subjective well-being was measured using the 11-point Cantril Ladder of Life Scale. The impact of inequality-related health and social factors (pre-existing medical conditions, household size and occupation), as well as COVID-19–related risk factors (symptoms, confirmed infections, and social distancing behaviours) on well-being were analysed using multiple linear regression models. The associations between the COVID-19–related risk factors and well-being according to the respondents’ household size and occupation were modelled in order to test the differences by their socioeconomic profile. Results: We identified inverted V-shaped associations between household size and subjective well-being during the COVID-19 pandemic. Compared to single-person households, respondents from households of two to four persons showed better well-being (β = 0.57; CI (0.44, 0.72)), whereas living in crowded households of five persons or more was associated with decreased well-being (β = −0.48; CI (−0.71, −0.25)). Furthermore, lower-skilled occupations (elementary occupations: β = −0.31; CI (−0.58, −0.03); logistics and transport services: β = −0.37; CI (−0.74, −0.01)) and chronic medical conditions (cardiometabolic or respiratory diseases: β = −0.25; CI (−0.41, −0.1); and mental health conditions: β = −1.12; CI (−1.28, −0.96)) were factors associated with reduced well-being during the pandemic. Interactions between a positive COVID-19 diagnosis, symptoms, and crowded households were identified (β = −0.95; CI (−1.76, −0.14) and β = −4.74; CI (−9.87, −1.61), respectively). Conclusions: In a national sample, the levels of general subjective well-being during the COVID-19 pandemic and lockdowns were disproportionately distributed across different groups within society. Preventive policies should explicitly focus on reaching lower socioeconomic groups; more emphasis should be placed on the coordination of multisectoral support in order to tackle existing health and social inequalities. Full article
15 pages, 1768 KB  
Article
Work Engagement among Prison Officers. The Role of Individual and Organizational Factors in the Polish and Indonesian Penitentiary Systems
by Andrzej Piotrowski, Ewa Sygit-Kowalkowska and Imaduddin Hamzah
Int. J. Environ. Res. Public Health 2020, 17(21), 8206; https://doi.org/10.3390/ijerph17218206 - 6 Nov 2020
Cited by 10 | Viewed by 4642
Abstract
The literature on work engagement among prison officers (POs) remains rather scarce, and there are no analyses on the factors determining this phenomenon. The current study aimed to examine the relationships between work engagement, subjective well-being, coping strategies, and organizational factors utilizing the [...] Read more.
The literature on work engagement among prison officers (POs) remains rather scarce, and there are no analyses on the factors determining this phenomenon. The current study aimed to examine the relationships between work engagement, subjective well-being, coping strategies, and organizational factors utilizing the Utrecht Work Engagement Scale (UWES-9), the Coping Orientation to Problems Experienced (COPE), and Cantril’s Ladder of Health Scale (CLHS), and involving 312 POs from Poland and 467 POs from Indonesia. Results showed a statistically significant relationship between active coping and work engagement in both groups. Subjective well-being was moderately related to work engagement among Polish POs. Mean work engagement and subjective well-being scores were higher among Indonesian POs. The analyses showed a significant indirect effect of subjective well-being for the relationship between penitentiary unit type, active coping, as well as avoidant behaviors and work engagement in the Polish group. Closed prison officers more often declared higher subjective well-being. Work engagement is a complex psychological phenomenon. There exists a justified need for the analyses to consider personal determinants (e.g., coping strategies) as well as organizational factors related to the POs’ work environment. The literature presents a broad picture of the benefits of studying this phenomenon. Full article
(This article belongs to the Special Issue Psychological Wellbeing in Prisons and Corrections)
Show Figures

Figure 1

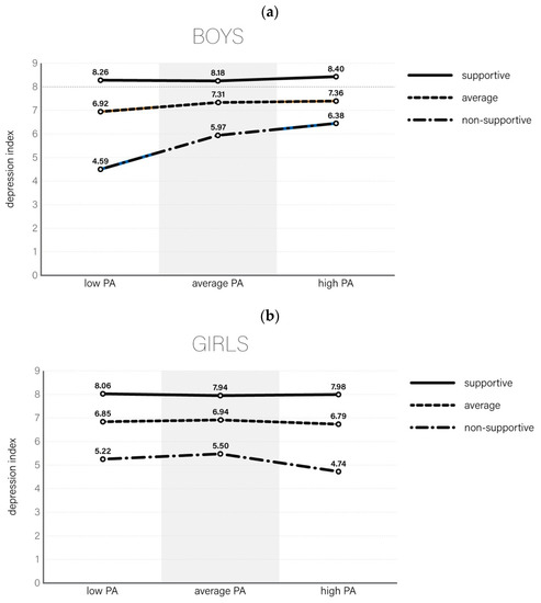
14 pages, 1125 KB  
Article
Physical Activity, Sedentary Behaviours and Duration of Sleep as Factors Affecting the Well-Being of Young People against the Background of Environmental Moderators
by Dorota Kleszczewska, Agnieszka Małkowska Szkutnik, Jadwiga Siedlecka and Joanna Mazur
Int. J. Environ. Res. Public Health 2019, 16(6), 915; https://doi.org/10.3390/ijerph16060915 - 14 Mar 2019
Cited by 33 | Viewed by 6737
Abstract
Mental health problems during adolescence are becoming increasingly frequent. The purpose of this study was to evaluate the total impact of selected behavioural and environmental factors on the variability of mental well-being indexes of young people aged 15 to 17 years. The survey, [...] Read more.
Mental health problems during adolescence are becoming increasingly frequent. The purpose of this study was to evaluate the total impact of selected behavioural and environmental factors on the variability of mental well-being indexes of young people aged 15 to 17 years. The survey, conducted as part of the last round of the Health Behaviour in School-Aged Children (HBSC) 2017/18 study, covered 3693 secondary school students in Poland at the average age of 16.53 years (SD = 1.09). Dependent variables: depression (CES-DC), stress (Cohen scale), satisfaction with life (Cantril’s Ladder), and self-efficacy in social relations (Smith and Betz scale). Independent variables included: physical activity; sedentary behaviours; length of sleep; and perception of the environment in which the respondent was raised. The analyses were adjusted by gender, age, and occurrence of chronic disease. It was demonstrated that gender, duration of sleep, and perception of the surrounding environment proved to be significant predictors of all four mental health indicators. The protective influence of physical activity appeared to be a particular advantage in a less-supportive environment. The intervention programmes aimed at improving the mental well-being of young people should include promoting physical activity and sufficient sleep; furthermore, environmental moderators should be taken into consideration. Full article
Show Figures

Figure 1

Back to TopTop